Last updated: 11/8/2010
Affidavit Of Provider Of Supportive Counseling Extra Judicial Surrender Of Child In Foster Care {SURR-5-a}
Start Your Free Trial $ 13.99What you get:
- Instant access to fillable Microsoft Word or PDF forms.
- Minimize the risk of using outdated forms and eliminate rejected fillings.
- Largest forms database in the USA with more than 80,000 federal, state and agency forms.
- Download, edit, auto-fill multiple forms at once in MS Word using our Forms Workflow Ribbon
- Trusted by 1,000s of Attorneys and Legal Professionals
Description
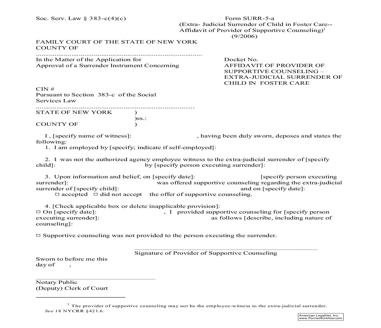
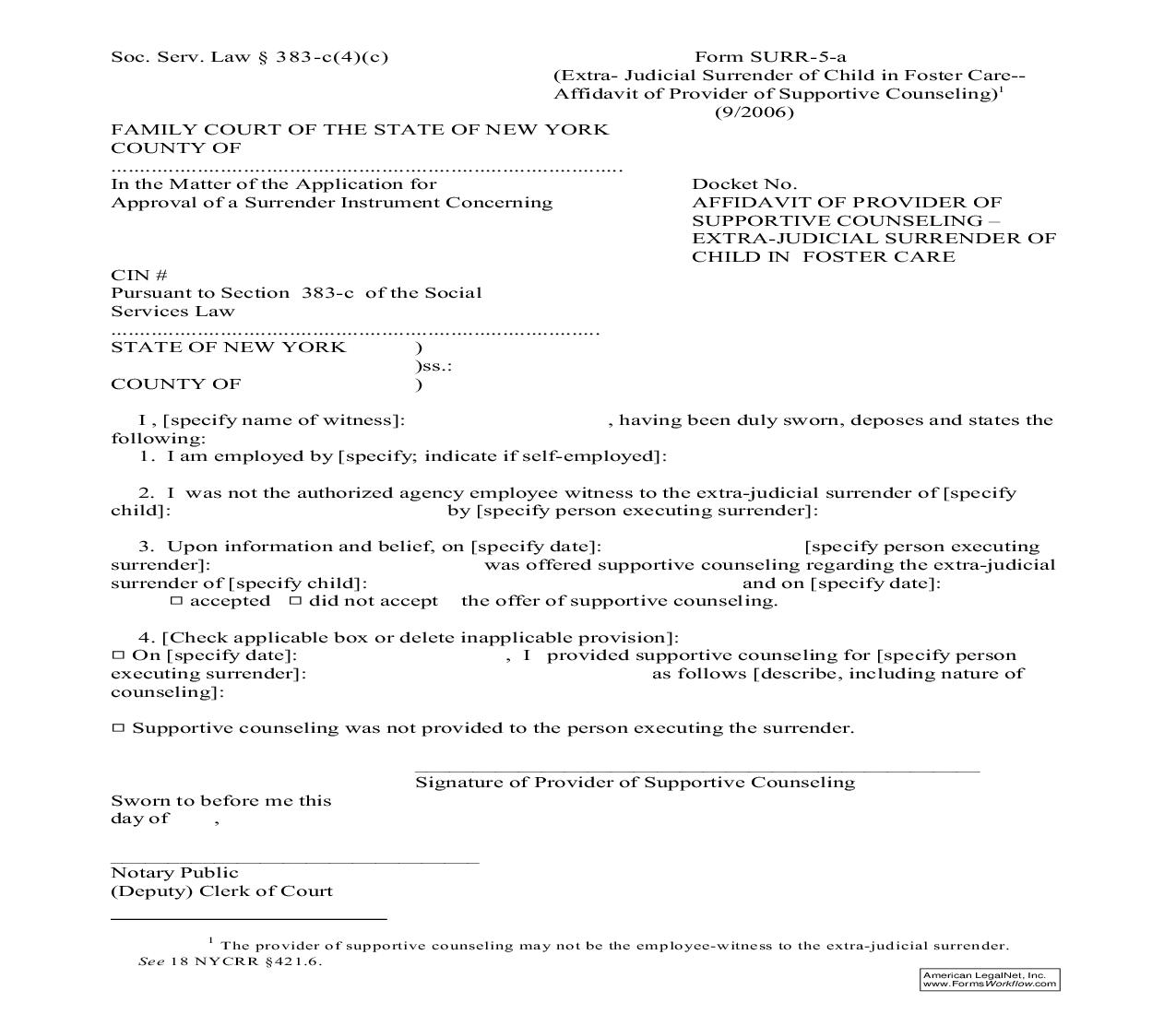
Form SURR-5-a (Extra- Judicial Surrender of Child in Foster Care-Affidavit of Provider of Supportive Counseling)1 (9/2006) FAMILY COURT OF THE STATE OF NEW YORK COUNTY OF ......................................................................................... In the Matter of the Application for Docket No. Approval of a Surrender Instrument Concerning AFFIDAVIT OF PROVIDER OF SUPPORTIVE COUNSELING EXTRA-JUDICIAL SURRENDER OF CHILD IN FOSTER CARE CIN # Pursuant to Section 383-c of the Social Services Law ..................................................................................... STATE OF NEW YORK ) )ss.: COUNTY OF ) I , [specify name of witness]: , having been duly sworn, deposes and states the following: 1. I am employed by [specify; indicate if self-employed]: 2. I was not the authorized agency employee witness to the extra-judicial surrender of [specify child]: by [specify person executing surrender]: 3. Upon information and belief, on [specify date]: [specify person executing surrender]: was offered supportive counseling regarding the extra-judicial surrender of [specify child]: and on [specify date]: 9 accepted 9 did not accept the offer of supportive counseling. 4. [Check applicable box or delete inapplicable provision]: 9 On [specify date]: , I provided supportive counseling for [specify person executing surrender]: as follows [describe, including nature of counseling]: 9 Supportive counseling was not provided to the person executing the surrender. _________________________________________________ Signature of Provider of Supportive Counseling Sworn to before me this day of , ________________________________ Notary Public (Deputy) Clerk of Court 1 Soc. Serv. Law § 383-c(4)(c) The provider of supportive counseling may not be the employee-witness to the extra-judicial surrender. See 18 NYCRR §421.6. American LegalNet, Inc. www.FormsWorkflow.com





