Last updated: 5/30/2015
Declaration Of Abandonment Of Homestead By Owner Of Home
Start Your Free Trial $ 12.99What you get:
- Instant access to fillable Microsoft Word or PDF forms.
- Minimize the risk of using outdated forms and eliminate rejected fillings.
- Largest forms database in the USA with more than 80,000 federal, state and agency forms.
- Download, edit, auto-fill multiple forms at once in MS Word using our Forms Workflow Ribbon
- Trusted by 1,000s of Attorneys and Legal Professionals
Description
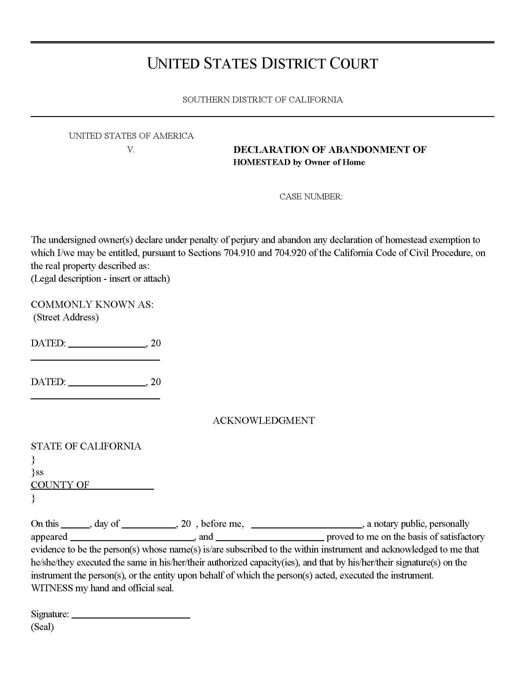
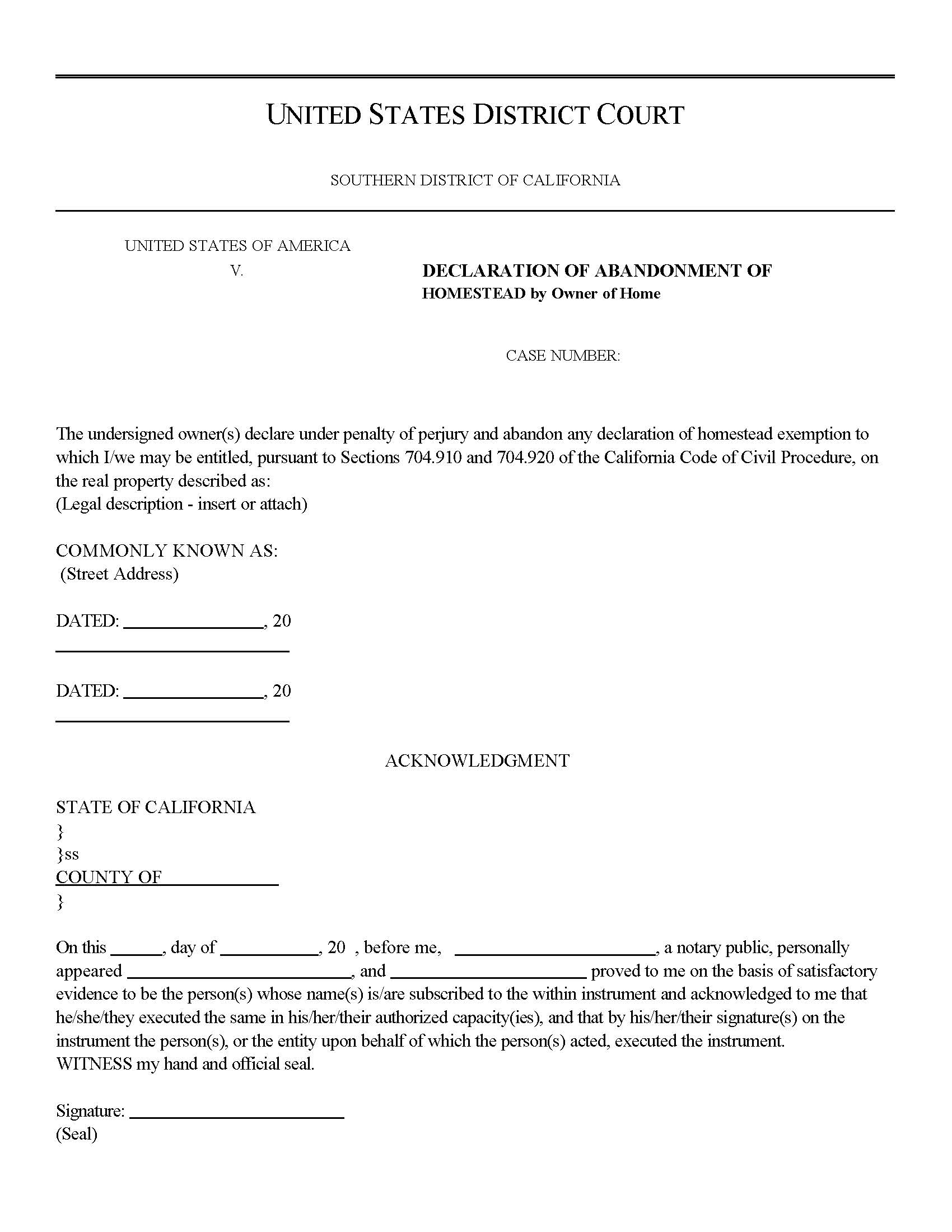
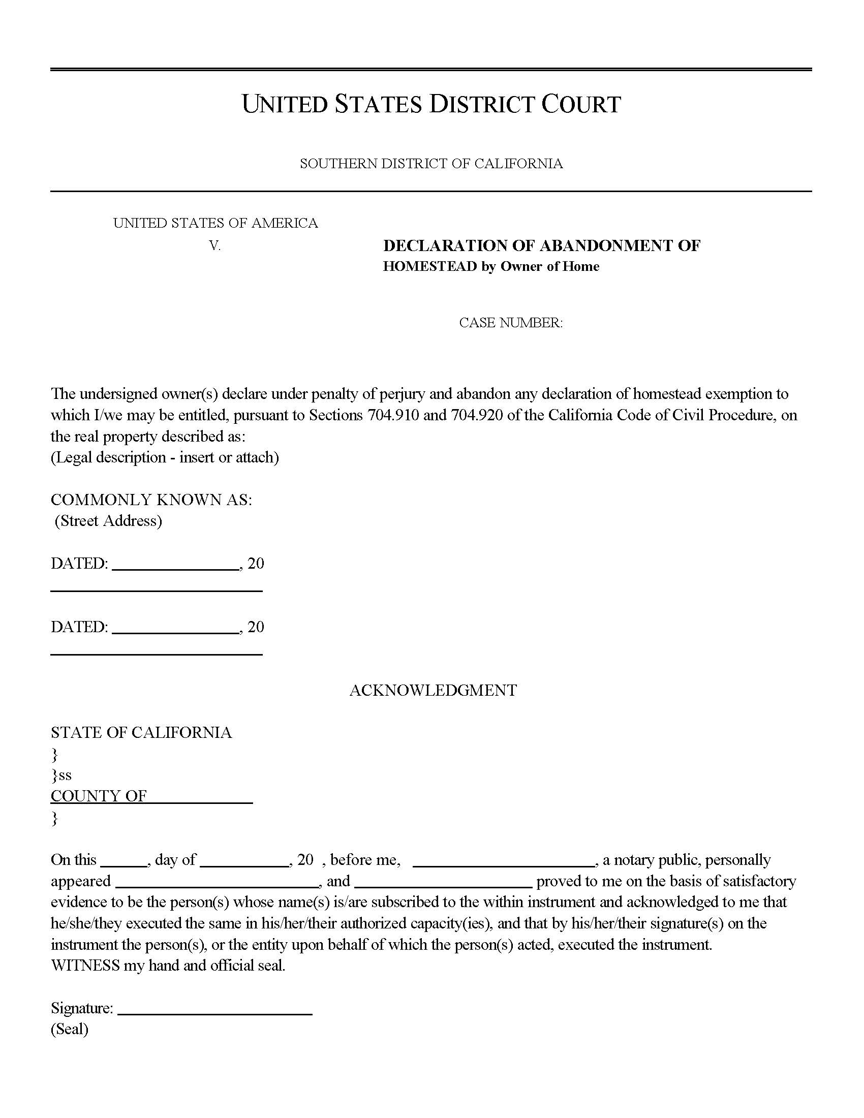
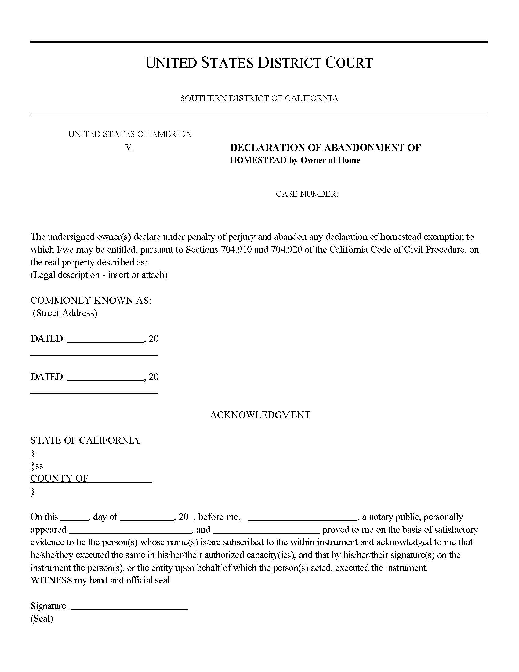
DECLARATION OF ABANDONMENT OF HOMESTEAD by Owner of Home. This form is used in the United States District Court for the Southern District of California. It allows the owner(s) of a home to formally abandon any homestead exemption they may be entitled to pursuant to Sections 704.910 and 704.920 of the California Code of Civil Procedure, on the real property described. This form requires the owner(s) to provide a legal description of the property, the common street address, and to declare under penalty of perjury that they are abandoning the homestead exemption. The declaration must be signed, dated, and notarized, with a notary public verifying the identity of the signatories and acknowledging the execution of the document. www.FormsWorkflow.com
Related forms
-
Abstract Of Judgment
California/Federal/USDC Southern/Civil/ -
Affidavit And Request For Issuance Of Writ Of Execution
California/Federal/USDC Southern/Civil/ -
Complaint Form
California/Federal/USDC Southern/Civil/ -
Complaint Under The Civil Rights Act
California/Federal/USDC Southern/Civil/ -
Declaration Of Service
California/Federal/USDC Southern/Civil/ -
Motion Declaration Under Penalty Perjury In Support Motion Proceed In Forma Pauperis
California/Federal/USDC Southern/Civil/ -
Notice Of Appeal-Civil
California/Federal/USDC Southern/Civil/ -
Notice To Attorneys Amendment To Rule 4 Summons
California/Federal/USDC Southern/Civil/ -
Petition For Writ Of Habeas Corpus Under 28 USC 2254 By A Person In State Custody
California/Federal/USDC Southern/Civil/ -
Return Of Service
California/Federal/USDC Southern/Civil/ -
Rico Case Statement
California/Federal/USDC Southern/Civil/ -
Waiver Of Service Of Summons
California/Federal/USDC Southern/Civil/ -
Declaration Of Abandonment Of Homestead By Owner Of Home
California/Federal/USDC Southern/Civil/ -
Praecipe
California/Federal/USDC Southern/Civil/ -
Notice Of Change Of Address
California/Federal/USDC Southern/Civil/ -
Subpoena To Appear And Testify At A Hearing Or Trial In A Civil Action (Southern District)
California/Federal/USDC Southern/Civil/ -
Notice Of Intent To Proceed Before United States District Judge
California/Federal/USDC Southern/Civil/ -
Notice Consent And Reference Of A Civil Action To A Magistrate Judge
California/Federal/USDC Southern/Civil/ -
Summons In A Civil Action (Southern District)
California/Federal/USDC Southern/Civil/ -
Complaint Under The Civil Rights Act Bivens
California/Federal/USDC Southern/Civil/ -
Request For Appointment Of Counsel (Pro Se Complaint)
California/Federal/USDC Southern/Civil/ -
Petition For Writ Of Habeas Corpus
California/Federal/USDC Southern/Civil/ -
Model Order Governing ESI
California/Federal/USDC Southern/Civil/ -
Model (Protective Order)
California/Federal/USDC Southern/Civil/ -
(Student) Application To Participate In The Student Practice Pilot Program-General Order 644
California/Federal/USDC Southern/Civil/ -
(Proposed) Order On Request To Undertake Supervision Of Eligible Law Student-General Order 644
California/Federal/USDC Southern/Civil/ -
Notice Of Lawsuit And Request For Waiver Of Service Of Summons
California/Federal/USDC Southern/Civil/ -
Motion To Appear Telephonically Or By Videoconference During The COVID-19 (Civil)
California/4 Federal/USDC Southern/Civil/ -
Pro Bono Fund Form For Cost Reimbursement (Application For Reimbursement Of Out-Of-Pocket)
California/Federal/USDC Southern/Civil/ -
Request For Services Or Equipment-For Participants With Communication Disabilities
California/Federal/USDC Southern/Civil/ -
Transcript Order Form
California/Federal/USDC Southern/Civil/
Form Preview
Contact Us
Success: Your message was sent.
Thank you!




