Last updated: 11/12/2025
Order Awarding Compensation {LF2016D}
Start Your Free Trial $ 5.99What you get:
- Instant access to fillable Microsoft Word or PDF forms.
- Minimize the risk of using outdated forms and eliminate rejected fillings.
- Largest forms database in the USA with more than 80,000 federal, state and agency forms.
- Download, edit, auto-fill multiple forms at once in MS Word using our Forms Workflow Ribbon
- Trusted by 1,000s of Attorneys and Legal Professionals
Description
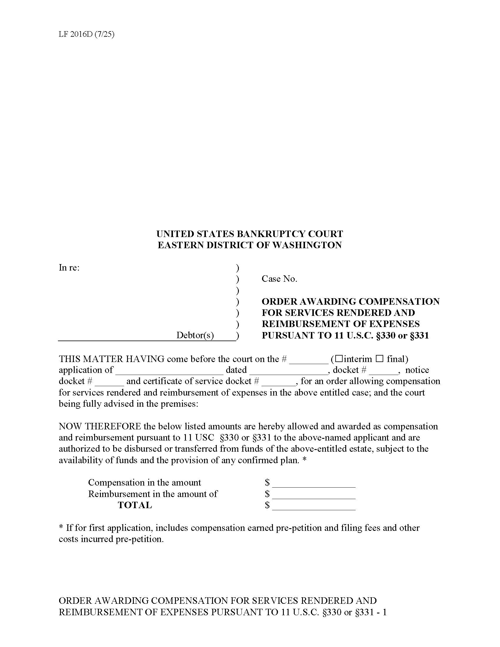
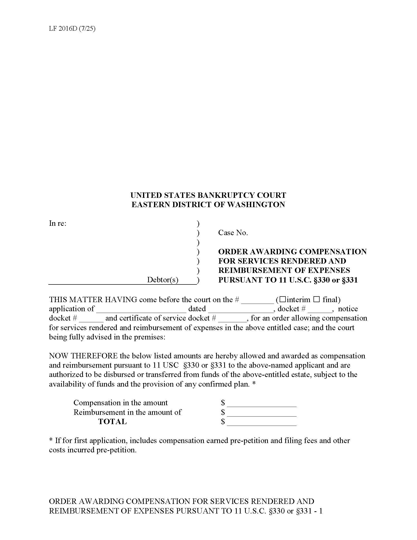
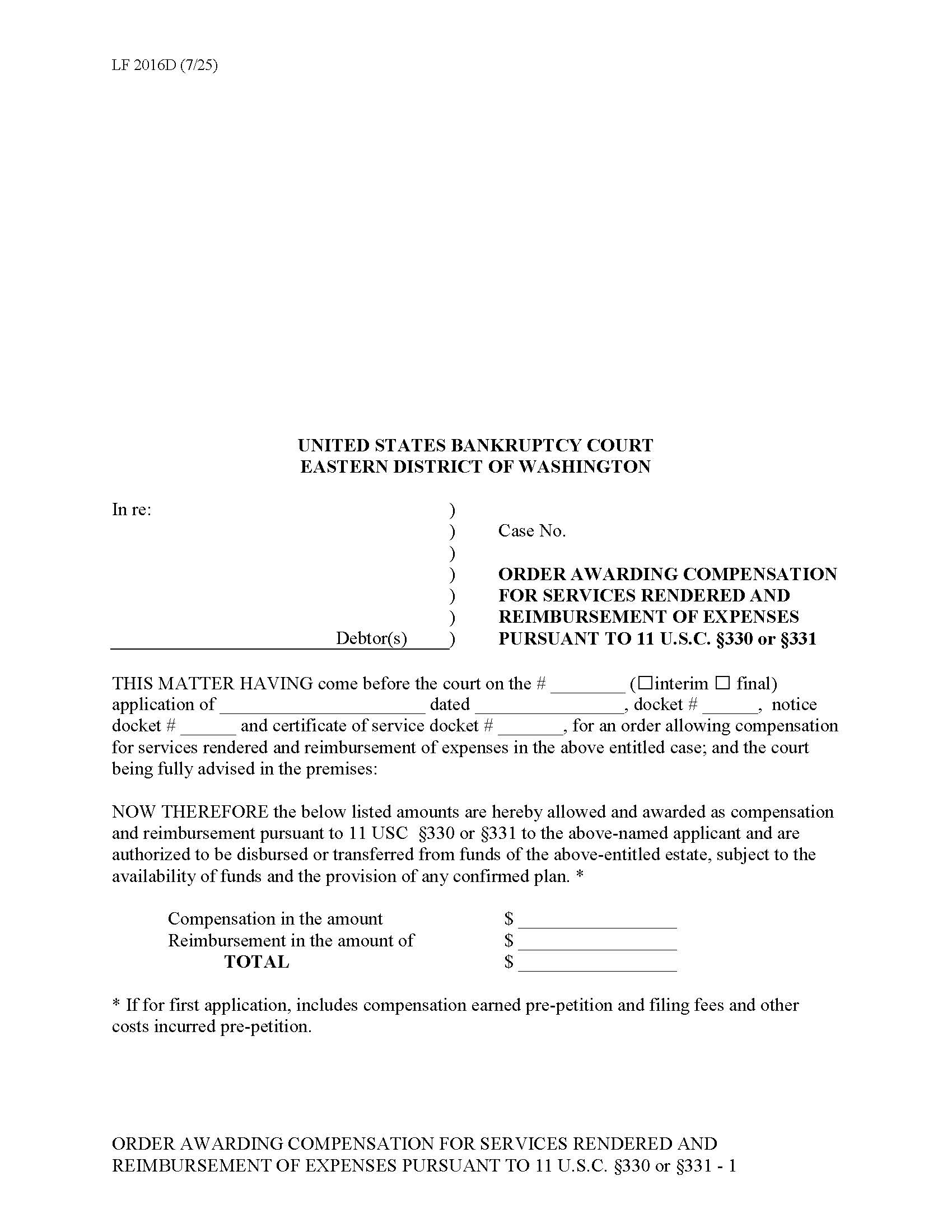
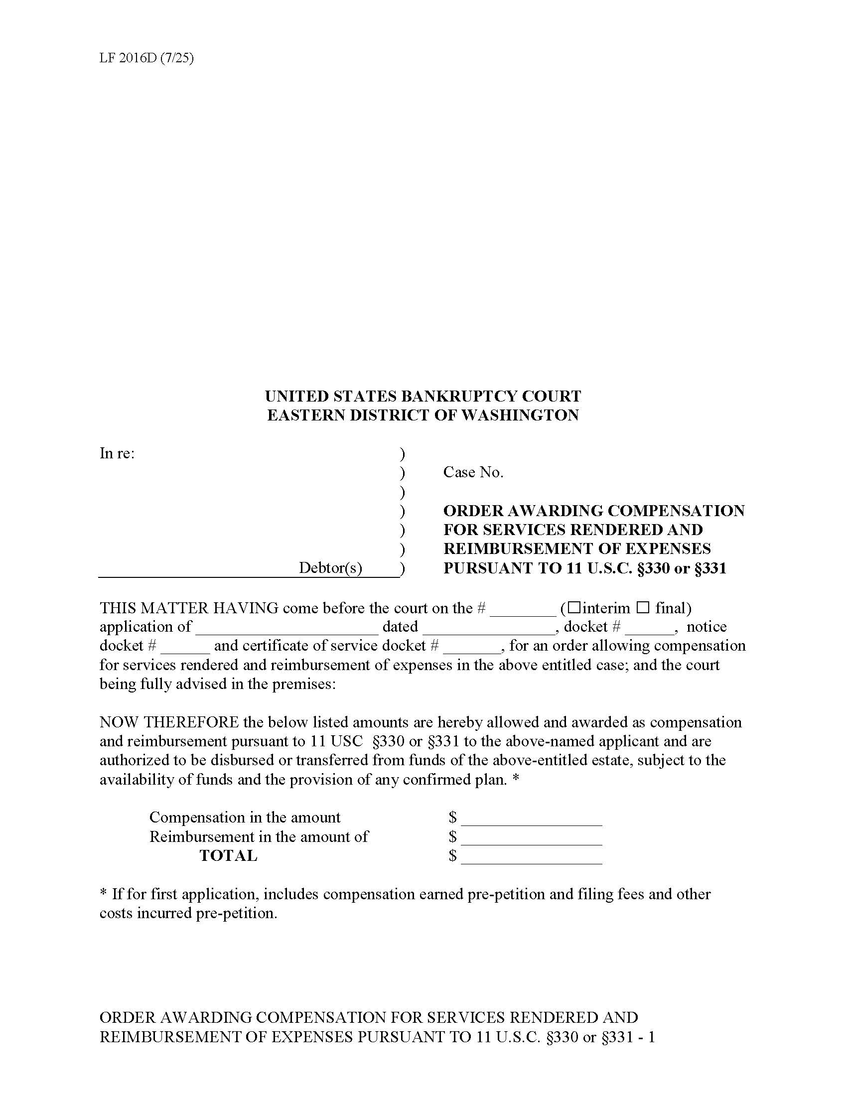
LF 2016D - ORDER AWARDING COMPENSATION FOR SERVICES RENDERED AND REIMBURSEMENT OF EXPENSES PURSUANT TO 11 U.S.C. §330 or §331, AND APPROVING THE PAYMENT OF BANK FEES. This form is used by the United States Bankruptcy Court to approve and authorize payments for legal fees, expense reimbursements, and bank fees related to a bankruptcy case. It specifies the amounts awarded for services, costs incurred, and banking transactions. It also provides details on how these payments are to be made, whether directly from the debtor, from an attorney trust account, or by the trustee, and includes a summary of any prior awards. www.FormsWorkflow.com
Related forms
-
List Classifying Claims And Interests
Washington/Federal/USBC Eastern/ -
Notice Of Filing Of Written Disclosure Statement And Proposed Plan Of Reorganization
Washington/Federal/USBC Eastern/ -
Notice Of Hearing On Disclosure Statement And Confirmation Of Plan
Washington/Federal/USBC Eastern/ -
Plan Funding Analysis
Washington/Federal/USBC Eastern/ -
Pretrial Order
Washington/Federal/USBC Eastern/ -
Application For Order Approving Employment
Washington/Federal/USBC Eastern/ -
Chapter 13 Flat Fee Agreement
Washington/Federal/USBC Eastern/ -
Chapter 13 Plan
Washington/Federal/USBC Eastern/ -
Exhibit Index
Washington/Federal/USBC Eastern/ -
Notice Of Stay
Washington/Federal/USBC Eastern/ -
Motion For Order Confirming Chapter 13 Plan
Washington/Federal/USBC Eastern/ -
Request That Trustee Make Adequate Protection Payments
Washington/Federal/USBC Eastern/ -
Ballot For Accepting Or Rejecting Plan Of Reorganization
Washington/Federal/USBC Eastern/ -
Ballot Summary
Washington/Federal/USBC Eastern/ -
Report Of Balloting (Chapter 11)
Washington/Federal/USBC Eastern/ -
Application For Award Of Compensation And Reimbursement
Washington/Federal/USBC Eastern/ -
Order Confirming Chapter 13 Plan
Washington/Federal/USBC Eastern/ -
Ballot Summary - Continuation Page
Washington/Federal/USBC Eastern/ -
Address Change Form
Washington/Federal/USBC Eastern/ -
Report Of Balloting - Continuation Page
Washington/Federal/USBC Eastern/ -
Case Management Electronic Case Files System (CM ECF)
Washington/Federal/USBC Eastern/ -
Certificate Of Service Of Summons
Washington/Federal/USBC Eastern/ -
Statement In Support Of Confirmation Of Chapter 13 Plan
Washington/Federal/USBC Eastern/ -
Notice Of Scheduling Conference
Washington/Federal/USBC Eastern/ -
Request For Waiver From Electronic Filing
Washington/Federal/USBC Eastern/ -
Request For Waiver From Electronic Filing
Washington/Federal/USBC Eastern/ -
Declaration Of No Objections And Request For Entry Of Order
Washington/Federal/USBC Eastern/ -
Order Approving Employment By Trustee-Debtor In Possession
Washington/Federal/USBC Eastern/ -
Scheduling Order
Washington/Federal/USBC Eastern/ -
Plan Payment Declaration
Washington/Federal/USBC Eastern/ -
Order Granting Relief From Stay
Washington/Federal/USBC Eastern/ -
Notice of Approval of Disclosure Statement
Washington/Federal/USBC Eastern/ -
Chapter 12 Discharge And Notice
Washington/Federal/USBC Eastern/ -
Chapter 11 Post Confirmation Disbursement Report
Washington/Federal/USBC Eastern/ -
Chapter 11 Final Account
Washington/Federal/USBC Eastern/ -
Certificate Of Debtor(s)
Washington/Federal/USBC Eastern/ -
Declaration Regarding Payments
Washington/Federal/USBC Eastern/ -
Statement Of Witness To Signing Of Document
-
Narrative Summary
Washington/Federal/USBC Eastern/ -
Bill Of Costs
Washington/Federal/USBC Eastern/ -
Motion for Ch 11 Discharge
Washington/Federal/USBC Eastern/ -
Certification Supplemental Application Award Of Compensation Ch 13 Case
Washington/Federal/USBC Eastern/ -
Debtors Plan Payment Declaration (Ch 13 Cases)
Washington/Federal/USBC Eastern/ -
Statement Of Money Or Property Received Or Promised
Washington/Federal/USBC Eastern/ -
Summary Supporting Application For Compensation For Services Or Reimbursement Of Expenses
Washington/Federal/USBC Eastern/ -
Order Awarding Compensation
Washington/Federal/USBC Eastern/ -
DeBN Request Form
Washington/Federal/USBC Eastern/
Form Preview
Contact Us
Success: Your message was sent.
Thank you!




