Last updated: 5/2/2025
Small Estate Affidavit {CCP 0608}
Start Your Free Trial $ 17.99What you get:
- Instant access to fillable Microsoft Word or PDF forms.
- Minimize the risk of using outdated forms and eliminate rejected fillings.
- Largest forms database in the USA with more than 80,000 federal, state and agency forms.
- Download, edit, auto-fill multiple forms at once in MS Word using our Forms Workflow Ribbon
- Trusted by 1,000s of Attorneys and Legal Professionals
Description
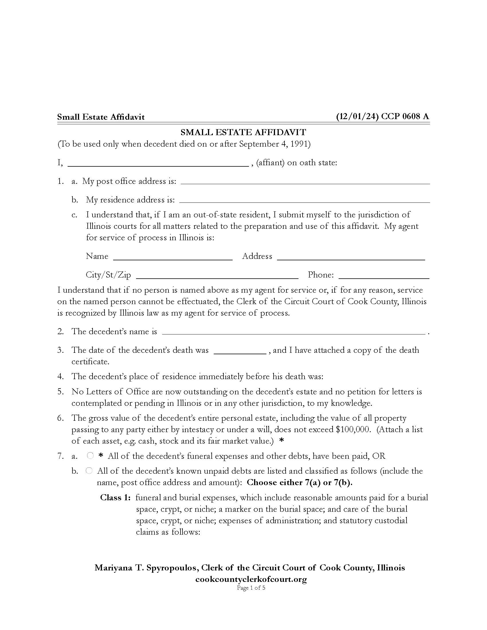
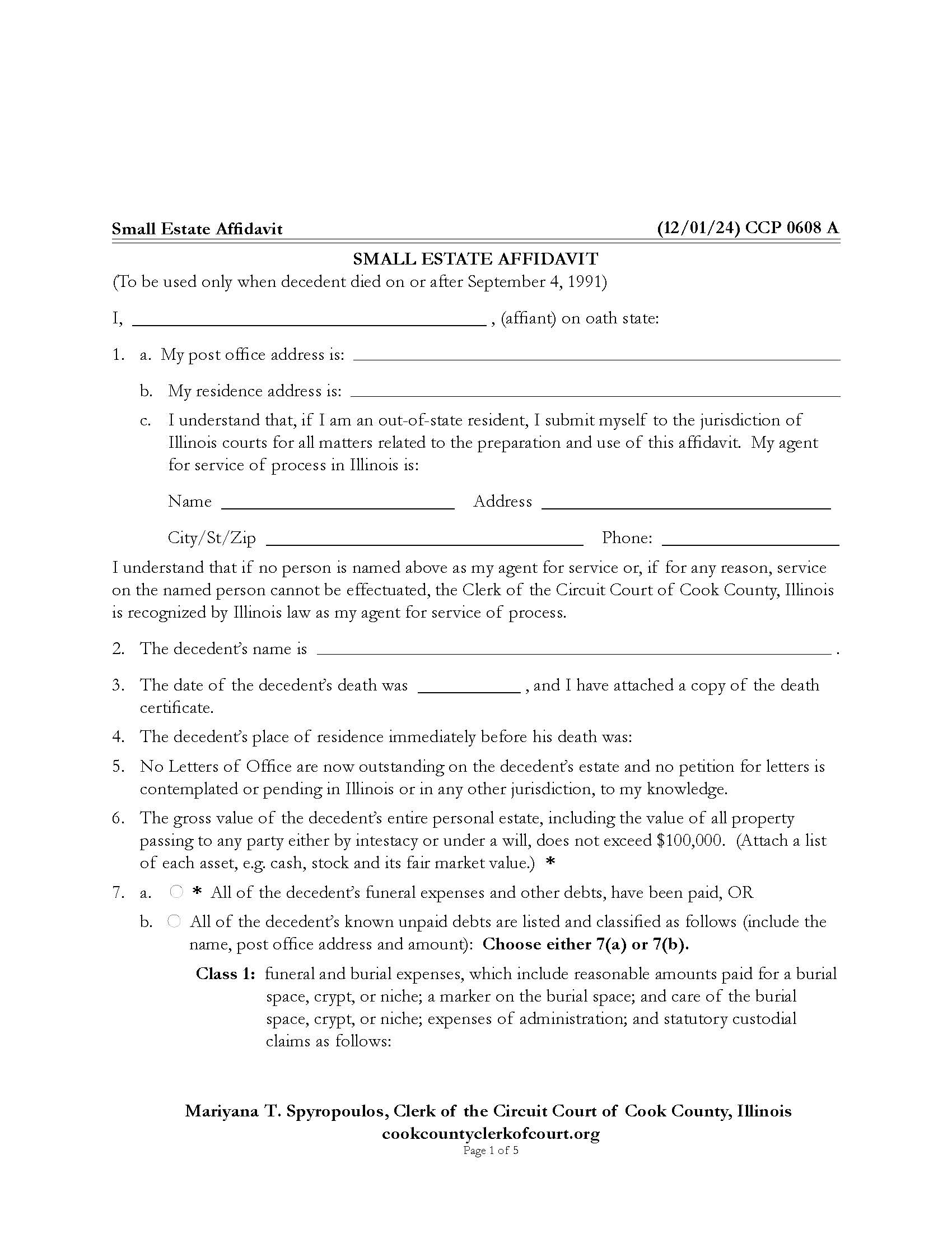
CCP 0608 - SMALL ESTATE AFFIDAVIT. This form is used in Illinois when a decedent's estate qualifies for simplified administration due to its relatively small value. This affidavit is applicable only if the decedent passed away on or after September 4, 1991, and if the total value of the decedent's personal estate does not exceed $100,000. The affiant, or the person filing the affidavit, provides detailed information about the decedent, such as their name, date of death, and the location of their last residence. The affiant also confirms that no letters of office (probate administration) are pending or necessary. The form outlines the debts and funeral expenses owed by the estate, including how they should be paid in order of priority. The affiant also lists any surviving family members, including a surviving spouse and children, and provides information about how the estate should be distributed among them. The affidavit may also include details about the decedent’s will, if one exists. The affiant acknowledges the responsibility to pay valid claims before distributing the estate and agrees to indemnify those relying on the affidavit if any loss occurs due to their actions. If necessary, the affiant may appoint an agent to handle specific aspects of estate administration, such as selling property or gaining access to a safe deposit box. www.FormsWorkflow.com
Related forms
-
Notice Of Rights Of Respondent
Illinois/Local County/Cook/Probate/ -
VECHS Waiver Agreement and Statement
Illinois/Local County/Cook/Probate/ -
Order Dismissing Petition For Guardianship
Illinois/2 Local County/Cook/Probate/ -
Order Appointing Standby Guardian As Guardian Of Minor
Illinois/Local County/Cook/Probate/ -
Petition To Appoint Standby Guardian As Guardian Of Minor
Illinois/Local County/Cook/Probate/ -
Petition For Appointment Of Standby Guardian Of Minor
Illinois/Local County/Cook/Probate/ -
Order Appointing Standby Guardian Of Minor
Illinois/Local County/Cook/Probate/ -
Petition To Discharge A Guardian - Minor Estate
Illinois/Local County/Cook/Probate/ -
Instructions For Guardians Of Minors - Annual Report
Illinois/2 Local County/Cook/Probate/ -
Appearance And Jury Demand
Illinois/Local County/Cook/Probate/ -
Motion Slip
Illinois/Local County/Cook/Probate/ -
Guardians Notice Of Change Of Address Within State Of Illinois
Illinois/2 Local County/Cook/Probate/ -
Guardians Petition To Move Outside The State Of Illinois
Illinois/2 Local County/Cook/Probate/ -
Guardians Notice Prior To Removing Minor From Illinois (2-29 Days)
Illinois/2 Local County/Cook/Probate/ -
Guardians Petition Removing Minor From Illinois More Than 30 Days
Illinois/2 Local County/Cook/Probate/ -
Petition By Nonresident To Lease Sell Or Mortgage Property
Illinois/Local County/Cook/Probate/ -
Order Directing Representative To Show Cause
Illinois/Local County/Cook/Probate/ -
Citation For Removal Of Representative
Illinois/Local County/Cook/Probate/ -
Order Appointing Limited Guardian For Alleged Person With A Disability
Illinois/Local County/Cook/Probate/ -
Summons For Appointment Of Guardian Of Person With Disability
Illinois/Local County/Cook/Probate/ -
Order Appointing Or Extending Guardian Ad Litem For Specific Purpose
Illinois/Local County/Cook/Probate/ -
Claim Order
Illinois/Local County/Cook/Probate/ -
Order Extending Temporary Guardianship Of Alleged Person With A Disability
Illinois/2 Local County/Cook/Probate/ -
Order Appointing Standby Guardian As Plenary Guardian Of Disabled Person
Illinois/Local County/Cook/Probate/ -
Order Appointing Standby Guardian As Limited Guardian Of Disabled Person
Illinois/Local County/Cook/Probate/ -
Order Appointing Plenary Co-Guardians Of A Person With A Disability
Illinois/Local County/Cook/Probate/ -
Order Continuing [Presentation Of Vouchers]
Illinois/2 Local County/Cook/Probate/ -
Order Closing Estate
Illinois/2 Local County/Cook/Probate/ -
Order Appointing Limited Co-Guardians Of A Person With A Disability
Illinois/Local County/Cook/Probate/ -
Order For Service By Publication
Illinois/Local County/Cook/Probate/ -
Order Allowing Petitioner To Obtain Death Certificate
Illinois/Local County/Cook/Probate/ -
Order Allowing Petitioner to Obtain Minors Birth Certificate
Illinois/Local County/Cook/Probate/ -
Order On Petition To Terminate Guardianship (Of Minor(s))
Illinois/Local County/Cook/Probate/ -
Order Appointing Guardian-Successor Guardian Of Person Of Minor
Illinois/Local County/Cook/Probate/ -
Order On Petition For Guardian Of Minor
Illinois/Local County/Cook/Probate/ -
Order Appointing Guardian Ad Litem
Illinois/Local County/Cook/Probate/ -
Appearance And Consent For Letters Appointing Guardian
Illinois/Local County/Cook/Probate/ -
Order Converting To Independent Administration
Illinois/Local County/Cook/Probate/ -
Petition For Letters Of Administration To Collect
Illinois/Local County/Cook/Probate/ -
Proposed Appointed Guardian Checklist
Illinois/2 Local County/Cook/Probate/ -
Acceptance Of Office (Corporation)
Illinois/Local County/Cook/Probate/ -
Order Declaring Heirship
Illinois/Local County/Cook/Probate/ -
Declination Of Office
Illinois/Local County/Cook/Probate/ -
Designation Of Resident Agent
Illinois/Local County/Cook/Probate/ -
Acceptance Of Office Of Personal Fiduciary
Illinois/Local County/Cook/Probate/ -
Notice To Heirs And Legatees - Foreign Will Admitted
Illinois/Local County/Cook/Probate/ -
Notice To Heirs And Legatees - Will Admitted
Illinois/Local County/Cook/Probate/ -
Notice To Heirs And Legatees - Will Denied
Illinois/Local County/Cook/Probate/ -
Notice To Heirs And Legatees - Foreign Will Denied
Illinois/Local County/Cook/Probate/ -
Notice Of Motion (Zoom Appearance)
Illinois/Local County/Cook/Probate/ -
Waiver Of Notice
Illinois/Local County/Cook/Probate/ -
Petition For Letters Of Administration
Illinois/Local County/Cook/Probate/ -
Oath And Bond Of Representative - No Surety
Illinois/Local County/Cook/Probate/ -
Oath And Bond Of Representative - Surety
Illinois/Local County/Cook/Probate/ -
Petition For Probate Of Will And For Letters Testamentary
Illinois/Local County/Cook/Probate/ -
Copy Of Will
Illinois/Local County/Cook/Probate/ -
Petition For Probate Of Will And For Letters Of Administration With Will Annexed
Illinois/Local County/Cook/Probate/ -
Calendar Order (Wrongful Death Action)
Illinois/Local County/Cook/Probate/ -
Petition For Deposition Of Witness To Will
Illinois/Local County/Cook/Probate/ -
Order Admitting Will As To Omitted Or Unnotified Person
Illinois/Local County/Cook/Probate/ -
Commission For Deposition Of Witness To Will
Illinois/2 Local County/Cook/Probate/ -
Order Denying Will To Probate
Illinois/Local County/Cook/Probate/ -
Deposition Of Witness To Will
Illinois/Local County/Cook/Probate/ -
Petition To Admit Will As To Omitted Or Unnotified Person
Illinois/Local County/Cook/Probate/ -
Inventory
Illinois/2 Local County/Cook/Probate/ -
Application For Award And Award To Surviving Spouse And Children
Illinois/Local County/Cook/Probate/ -
Application To Transfer Will And Order Transferring Will
Illinois/Local County/Cook/Probate/ -
Bond - Additional - Surety
Illinois/Local County/Cook/Probate/ -
Bond - Additional - No Surety
Illinois/Local County/Cook/Probate/ -
Order Setting Briefing Schedule On Contested Matter
Illinois/Local County/Cook/Probate/ -
Claim
Illinois/Local County/Cook/Probate/ -
Order Setting Pre-Trial Conference
Illinois/Local County/Cook/Probate/ -
Order Concerning Discovery Citation (CCP 0341}
Illinois/2 Local County/Cook/Probate/ -
Order For Leave To Settle Cause Of Action-Wrongful Death
Illinois/Local County/Cook/Probate/ -
Petition To Sell Personal Property
Illinois/Local County/Cook/Probate/ -
Petition To Settle Cause Of Action Wrongful Death
Illinois/Local County/Cook/Probate/ -
Order To Sell Personal Property
Illinois/Local County/Cook/Probate/ -
Order Granting Possession Of Real Estate
Illinois/Local County/Cook/Probate/ -
Bond For Sale Or Mortgage Of Real Estate - No Surety
Illinois/Local County/Cook/Probate/ -
Bond For Sale Or Mortgage Of Real Estate - Surety
Illinois/Local County/Cook/Probate/ -
Petition To Grant Possession Of Real Estate
Illinois/Local County/Cook/Probate/ -
Citation
Illinois/Local County/Cook/Probate/ -
Oath Of Real Estate Appraiser
Illinois/Local County/Cook/Probate/ -
Appearance On Account
Illinois/Local County/Cook/Probate/ -
Certification Of Vouchers
Illinois/Local County/Cook/Probate/ -
Notice Of Account Current Or Final
Illinois/Local County/Cook/Probate/ -
Receipt On Distribution
Illinois/Local County/Cook/Probate/ -
Order Of Distribution To Representative Of Foreign County
Illinois/Local County/Cook/Probate/ -
Status Report - Supervised Administration
Illinois/Local County/Cook/Probate/ -
Bond - Refunding
Illinois/Local County/Cook/Probate/ -
Report Of Attorney-In-Fact Or Consul
Illinois/Local County/Cook/Probate/ -
Receipt Of Distributee To Attorney-In-Fact Or Consul
Illinois/Local County/Cook/Probate/ -
Petition By Representative Of Foreign Country To Receive Distribution
Illinois/Local County/Cook/Probate/ -
Order To Settle Cause Of Action - Minors Estate
Illinois/2 Local County/Cook/Probate/ -
Petition To Settle Cause Of Action - Minors Estate
Illinois/Local County/Cook/Probate/ -
Order For Voucher Compliance
Illinois/2 Local County/Cook/Probate/ -
Order Appointing Guardian Of Minor
Illinois/Local County/Cook/Probate/ -
Petition For Guardian Of Minor
Illinois/2 Local County/Cook/Probate/ -
Order Placing Estate On Inactive Calendar
Illinois/2 Local County/Cook/Probate/ -
Petition For Withdrawal Of Wards Deposited Funds
Illinois/Local County/Cook/Probate/ -
Notice Of Probate Release Of Estates Interest In Real Estate
Illinois/Local County/Cook/Probate/ -
Statement Of Notice To Trust Beneficiaries
Illinois/Local County/Cook/Probate/ -
Order For Summary Administration Intestate
Illinois/Local County/Cook/Probate/ -
Petition For Summary Administration (Intestate)
Illinois/Local County/Cook/Probate/ -
Notice Of Disallowance Of Claim
Illinois/Local County/Cook/Probate/ -
Order For Admission Of Will And Summary Administration
Illinois/Local County/Cook/Probate/ -
Bond Of Distributee Summary Administration
Illinois/Local County/Cook/Probate/ -
Petition For Admission Of Will And Summary Administration
Illinois/Local County/Cook/Probate/ -
Order To Account Or Report
Illinois/Local County/Cook/Probate/ -
Probate Division Mediation Referral Order
Illinois/Local County/Cook/Probate/ -
Small Estate Affidavit
Illinois/Local County/Cook/Probate/ -
Approval By Beneficiary Of Trust On Closing Of Decedents Estate
Illinois/Local County/Cook/Probate/ -
Order For Appointment Of Mediator
Illinois/Local County/Cook/Probate/ -
Memorandum Of Agreement-No Agreement
Illinois/Local County/Cook/Probate/ -
Stipulation For Appointment Of Mediator
Illinois/Local County/Cook/Probate/ -
Mediator Report
Illinois/Local County/Cook/Probate/ -
Notice To Heirs Legatees Re Rights Independent Administration Petition To Terminate
Illinois/Local County/Cook/Probate/ -
Proof Of Mailing And Publication
Illinois/Local County/Cook/Probate/ -
Notice To Interested Parties Re Petition For Letters Of Administration
Illinois/Local County/Cook/Probate/ -
Order Terminating Independent Administration
Illinois/Local County/Cook/Probate/ -
Notice Of Termination Of Independent Administration
Illinois/Local County/Cook/Probate/ -
Notice To Decedents Surviving Family Members Potential Rights To Awards
Illinois/Local County/Cook/Probate/ -
Notice Regarding Final Report In Independent Administration
Illinois/Local County/Cook/Probate/ -
Written Notice To Representative Electing-Requesting Surviving Spouses-Childs Award
Illinois/Local County/Cook/Probate/ -
Final Report Of Independent Representative
Illinois/Local County/Cook/Probate/ -
Receipt And Approval Closing Of Decedents Estate In Independent Administration
Illinois/Local County/Cook/Probate/ -
Order Converting To Independent Administration For Purpose Of Closing Estate
Illinois/Local County/Cook/Probate/ -
Petition To Convert To Independent Administration
Illinois/Local County/Cook/Probate/ -
Election To Take Goods And Chattels For Award
Illinois/Local County/Cook/Probate/ -
Instructions To Guardian Of Estate Of Person With Disability
Illinois/2 Local County/Cook/Probate/ -
Guardians Annual Report Regarding Ward
Illinois/2 Local County/Cook/Probate/ -
Letters Of Office Temporary Guardian Of Alleged Person With Disability
Illinois/Local County/Cook/Probate/ -
Order Admitting Will To Probate And Appointing Representative
Illinois/Local County/Cook/Probate/ -
Nomination Of Minor
Illinois/Local County/Cook/Probate/ -
Statement Of Right To Petition Termination Guardianship Or Modify Duties
Illinois/Local County/Cook/Probate/ -
Report Of Licensed Clinical Psychologist
Illinois/Local County/Cook/Probate/ -
Petition To Settle Cause of Action Survival
Illinois/Local County/Cook/Probate/ -
Petition To Settle Cause of Action Wrongful Death And Survival Action
Illinois/Local County/Cook/Probate/ -
Petition To Extend Temporary Guardianship Of Alleged Person With A Disability
Illinois/Local County/Cook/Probate/ -
Petition To Appoint Standby Guardian Of Person With A Disability
Illinois/2 Local County/Cook/Probate/ -
Petition For Appointment Of Standby Guardian Of Person With Disability
Illinois/Local County/Cook/Probate/ -
Petition For Temporary Guardian Of Alleged Person With A Disability
Illinois/Local County/Cook/Probate/ -
Order To Settle Cause Of Action Wrongful Death And Survival Action
Illinois/Local County/Cook/Probate/ -
Order Of Discharge - Independent Administration
Illinois/Local County/Cook/Probate/ -
Order Of Discharge
Illinois/Local County/Cook/Probate/ -
Order For Leave To Settle Cause Of Action Survival
Illinois/Local County/Cook/Probate/ -
Order Appointing Temporary Guardian Of Alleged Person With A Disability
Illinois/Local County/Cook/Probate/ -
Order Appointing Standby Guardian Of A Person With A Disability
Illinois/2 Local County/Cook/Probate/ -
Order Appointing Representative Of Decedents Estate - Intestate
Illinois/Local County/Cook/Probate/ -
Statement Relating To Trust Beneficiaries
Illinois/2 Local County/Cook/Probate/ -
Report Of Physician
Illinois/Local County/Cook/Probate/ -
Order Appointing Guardian Ad Litem For Alleged Person With A Disability
Illinois/Local County/Cook/Probate/ -
Petition For Appointment Of Guardian Of A Person With A Disability
Illinois/Local County/Cook/Probate/ -
Order Appointing Plenary Guardian Of A Person With A Disability
Illinois/Local County/Cook/Probate/ -
Order Fingerprint Background Check-Minor Guardianship
Illinois/Local County/Cook/Probate/ -
Jury Duty Order
Illinois/Local County/Cook/Probate/ -
Probate Division Cover Sheet
Illinois/Local County/Cook/Probate/
Form Preview
Contact Us
Success: Your message was sent.
Thank you!




