Last updated: 4/11/2025
Proof Of Service (Petition For Rehabilitation And Pardon) {L-0801}
Start Your Free Trial $ 13.99What you get:
- Instant access to fillable Microsoft Word or PDF forms.
- Minimize the risk of using outdated forms and eliminate rejected fillings.
- Largest forms database in the USA with more than 80,000 federal, state and agency forms.
- Download, edit, auto-fill multiple forms at once in MS Word using our Forms Workflow Ribbon
- Trusted by 1,000s of Attorneys and Legal Professionals
Description
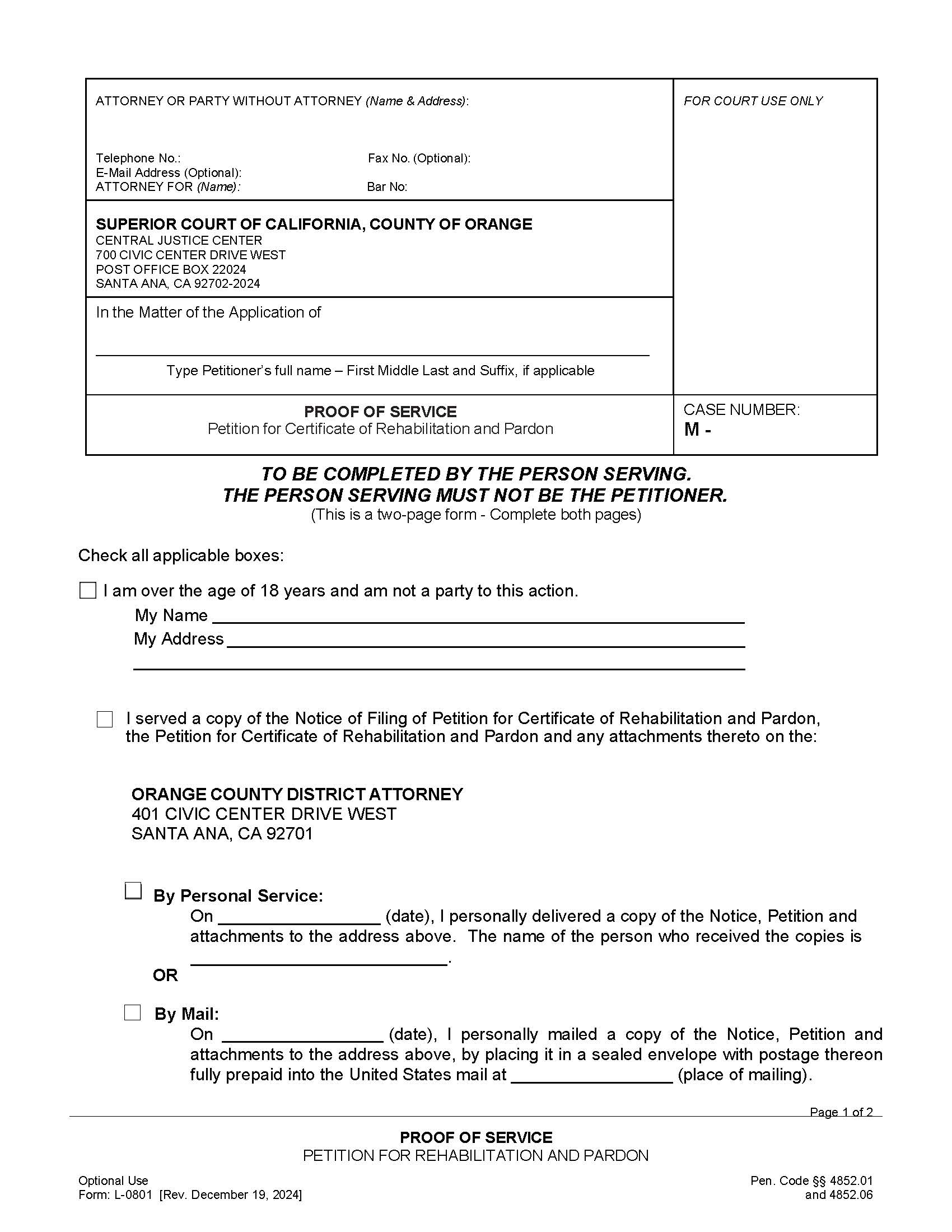
L-0801 - PROOF OF SERVICE Petition for Certificate of Rehabilitation and Pardon. This form is used to document that the required parties were formally notified of an individual's petition for a Certificate of Rehabilitation and Pardon. It is completed by the person who serves the petition and related documents, either in person or by mail, to the district attorney(s) in the relevant county or counties associated with the petitioner's past convictions. The form verifies that service was completed correctly and is signed under penalty of perjury to confirm that the documents were delivered according to California legal requirements. This proof of service is a required part of the petition process to ensure that the parties involved in the case have an opportunity to respond. Optional Use. Pen. Code §§ 4852.01 and 4852.06. www.FormsWorkflow.com
Related forms
-
Order Withdrawing Lien On Real Property Posted As Bail
California/Local County/Orange/Criminal/ -
Deed Of Full Reconveyance
California/Local County/Orange/Criminal/ -
Affidavit For Subpoena Duces Tecum (Criminal Or Juvenile)
California/Local County/Orange/Criminal/ -
Petition For Dismissal Under Penal Code 1210.1(d) And Notice Of Hearing
California/Local County/Orange/Criminal/ -
Proof Of Service (Petition For Dismissal Under Penal Code 1210.1(d) And Notice Of Hearing)
California/Local County/Orange/Criminal/ -
Petition For Modification Of Protective Order In Criminal Proceeding Domestic Violence Case And Request For Hearing
California/Local County/Orange/Criminal/ -
Petition Declaration And Order For Return Of Property
California/Local County/Orange/Criminal/ -
Petition For Modification Of Sentence
California/Local County/Orange/Criminal/ -
Petition For Modification-Termination Of Probation Notice Of Hearing And Court Order
California/Local County/Orange/Criminal/ -
Authorization To Apply Third Party Bail
California/Local County/Orange/Criminal/ -
Instructions For Undertaking (Deposit Of Real Property As Bail)
California/Local County/Orange/Criminal/ -
Petition And Order To Seal And Destroy Arrest Records
California/Local County/Orange/Criminal/ -
Sentence Recommendation For Terminal Disposition
California/Local County/Orange/Criminal/ -
Undertaking And Affidavit For Undertaking (Deposit Of Real Property As Bail)
California/Local County/Orange/Criminal/ -
Petition To Modify Or Order Victim Restitution And Notice Of Hearing
California/Local County/Orange/Criminal/ -
Motion For Continuance (Penal Code Section 1050)
California/Local County/Orange/Criminal/ -
Informal Arraignment By Attorney
California/Local County/Orange/Criminal/ -
Request For Continuance-Misdemeanor
California/Local County/Orange/Criminal/ -
Certificate Of Rehabilitation
California/Local County/Orange/Criminal/ -
Order Under Penal Code 1210.1(e)(1)
California/Local County/Orange/Criminal/ -
Consent For Disclosure Of Confidential Information For Substance Abuse Treatment
California/Local County/Orange/Criminal/ -
Order For Civilian Clothing Exchange
California/Local County/Orange/Criminal/ -
Petition For Resentence Or Reclassification
California/Local County/Orange/Criminal/ -
Petition For Writ Of Habeas Corpus (Prop 47 Revision)
California/Local County/Orange/Criminal/ -
Petition For Certificate Of Rehabilitation And Pardon
California/Local County/Orange/Criminal/ -
Order Granting Removal Of Defendent-Youth To Juvenile Court
California/Local County/Orange/Criminal/ -
Order For Dismissal Pursuant To Penal Code 1203.43
California/Local County/Orange/Criminal/ -
Order To Seal Court-Arrest Records
California/Local County/Orange/Criminal/ -
Stipulation And Order For Exhibits (Criminal)
California/Local County/Orange/Criminal/ -
Order After Petition For Resentence Or Reclassification
California/Local County/Orange/Criminal/ -
Request For Return Of Criminal Exhibits
California/2 Local County/Orange/Criminal/ -
Order For Transfer Pursuant To Penal Code 1203.9
California/2 Local County/Orange/Criminal/ -
Waiver Of Defendents Physical Or Remote Presence
California/Local County/Orange/Criminal/ -
Petition For Recall And Resentencing Notice Of Hearing And Court Order
California/Local County/Orange/Criminal/ -
Sentence Recommendation Misdemeanor (Terminal)
California/Local County/Orange/Criminal/ -
Petition For Relief (Inmates Trained As Fire Fighters)
California/2 Local County/Orange/Criminal/ -
Certification Of Participation In The California Conservation Camp Or Institutional Firehouse Program
California/Local County/Orange/Criminal/ -
Petition For Dismissal Pursuant To Penal Code 1203.43
California/Local County/Orange/Criminal/ -
Motion For Relief Due To Discrimination
California/2 Local County/Orange/Criminal/ -
Petition For Recall And Resentencing-Dismissal And Sealing Notice Of Hearing
California/Local County/Orange/Criminal/ -
Order For Relief Under Penal Code 1203.4 1203.4a
California/Local County/Orange/Criminal/ -
Petition For Relief Under Penal Code 1203.4-1203.4a
California/Local County/Orange/Criminal/ -
Petition To Seal Court-Arrest Records
California/Local County/Orange/Criminal/ -
Petition Or Application Under HS 11361.8 (Proposition 64)
California/Local County/Orange/Criminal/ -
TAHL-Felony Prior Page
California/Local County/Orange/Criminal/ -
Notice Of Filing Of Petition For Certificate Of Rehabilitation And Pardon
California/Local County/Orange/Criminal/ -
Proof Of Service (Petition For Rehabilitation And Pardon)
California/Local County/Orange/Criminal/ -
TAHL-Vehicle Misdemeanor Plea Form
California/Local County/Orange/Criminal/ -
TAHL-Domestic Violence Misdemeanor Plea Form
California/Local County/Orange/Criminal/ -
TAHL-General Misdemeanor Plea Form
California/Local County/Orange/Criminal/ -
Sentence Recommendation Misdemeanor (Probation)
California/Local County/Orange/Criminal/ -
TAHL-Felony Pages 1 Thru 6
California/Local County/Orange/Criminal/ -
TAHL-Felony Terms And Conditions
California/Local County/Orange/Criminal/
Form Preview
Contact Us
Success: Your message was sent.
Thank you!




