Last updated: 6/4/2025
Petition For Dissolution Of Marriage Or RDP Without Children
Start Your Free Trial $ 19.99What you get:
- Instant access to fillable Microsoft Word or PDF forms.
- Minimize the risk of using outdated forms and eliminate rejected fillings.
- Largest forms database in the USA with more than 80,000 federal, state and agency forms.
- Download, edit, auto-fill multiple forms at once in MS Word using our Forms Workflow Ribbon
- Trusted by 1,000s of Attorneys and Legal Professionals
Description
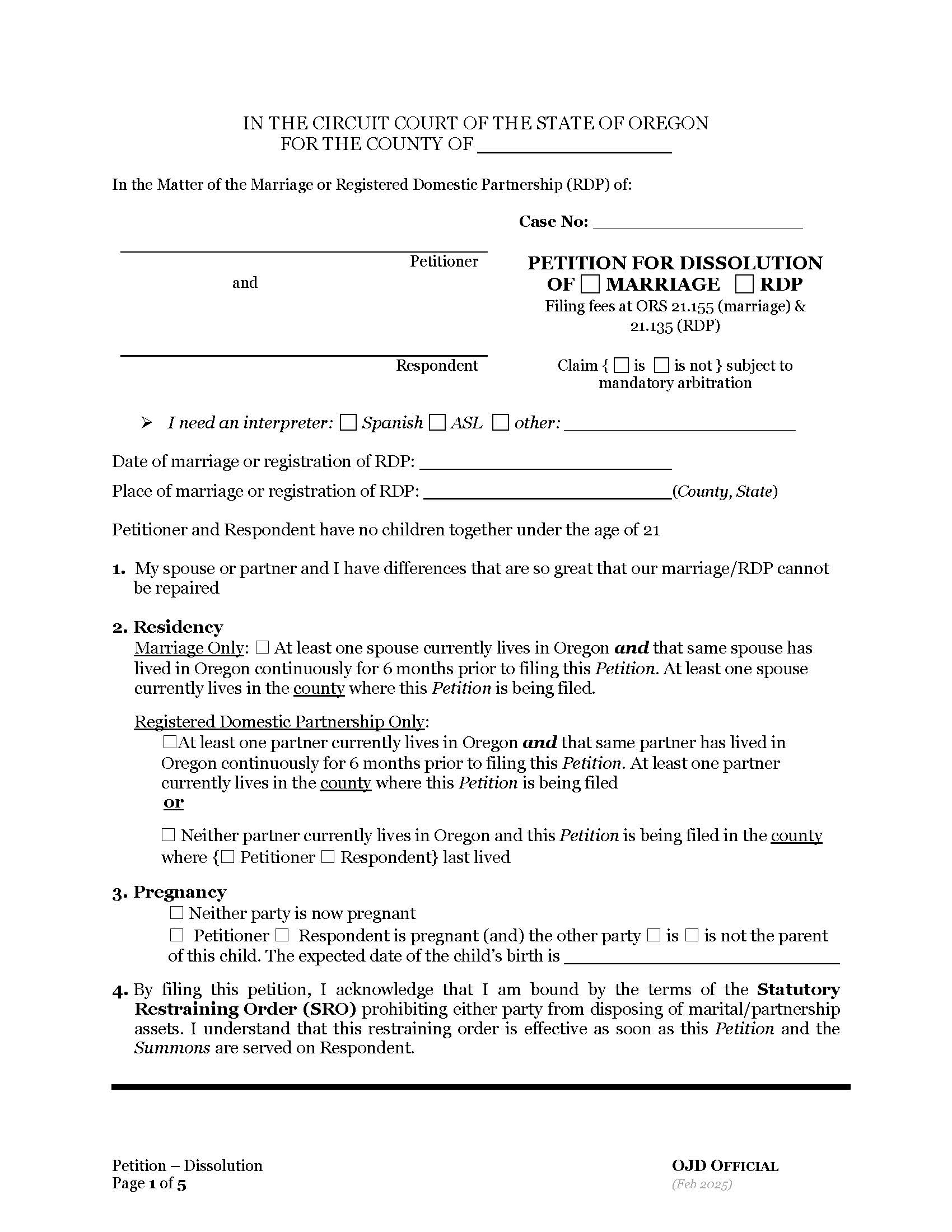
PETITION FOR DISSOLUTION OF MARRIAGE OR RDP. This form is used in the Circuit Court of the State of Oregon to begin the legal process of ending a marriage or a registered domestic partnership. It allows the petitioner (the person initiating the case) to formally request a court order to dissolve the legal relationship due to irreconcilable differences. The form collects essential information about the relationship, including the date and place of marriage or registration, the absence or presence of children under 21, and residency details required for jurisdiction. It also includes declarations about pregnancy status, acknowledges the application of a statutory restraining order on assets, and allows the petitioner to request spousal or partner support (transitional, compensatory, or maintenance), including payment terms and methods. In addition, the form outlines how real and personal property, debts, and retirement accounts should be divided. It includes options for restoring a former name, lists pending or past domestic relations cases or protective orders involving the parties, and specifies who should be responsible for court costs and fees. www.FormsWorkflow.com





