Last updated: 4/9/2025
Apprenticeship Elective Coverage Contract {BWC-7584}
Start Your Free Trial $ 17.99What you get:
- Instant access to fillable Microsoft Word or PDF forms.
- Minimize the risk of using outdated forms and eliminate rejected fillings.
- Largest forms database in the USA with more than 80,000 federal, state and agency forms.
- Download, edit, auto-fill multiple forms at once in MS Word using our Forms Workflow Ribbon
- Trusted by 1,000s of Attorneys and Legal Professionals
Description
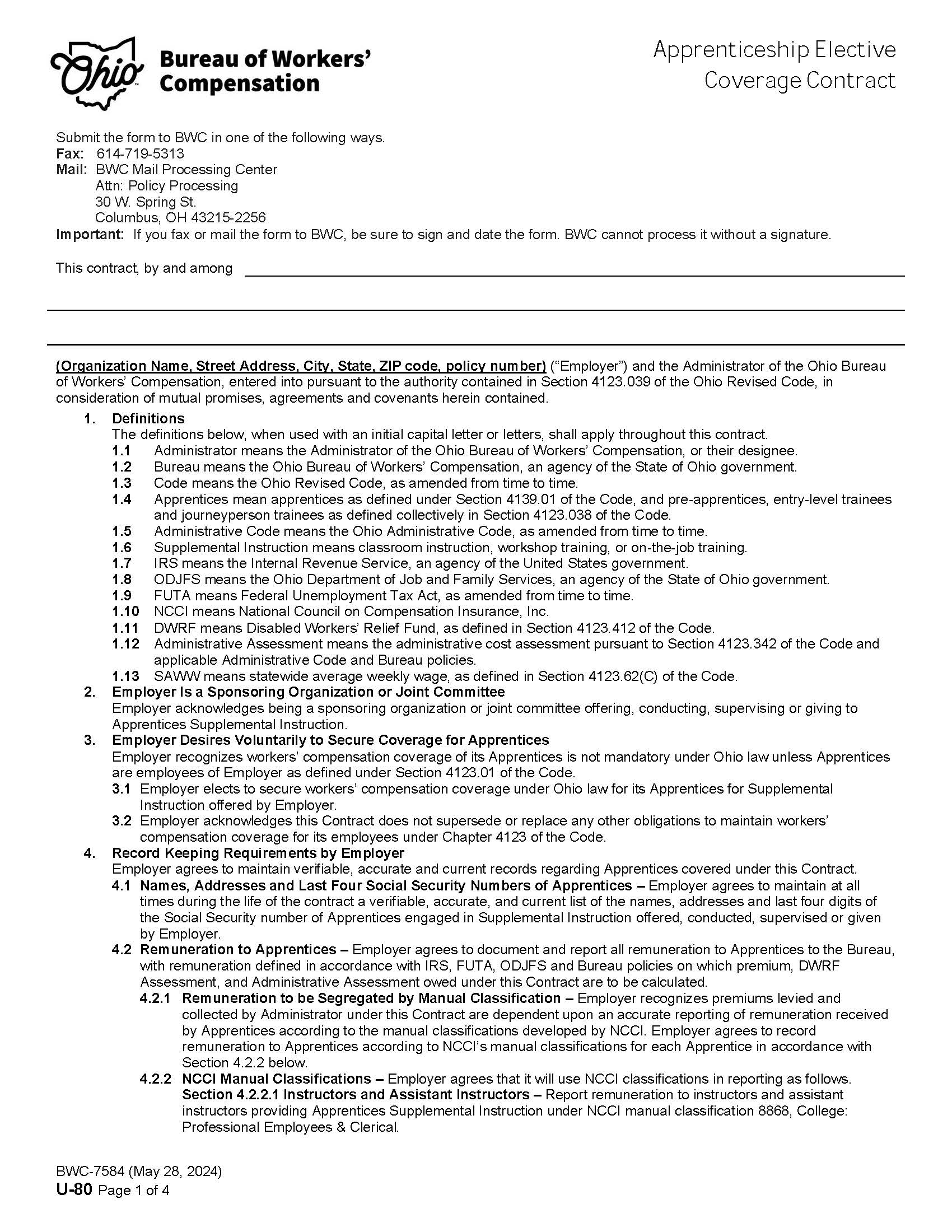
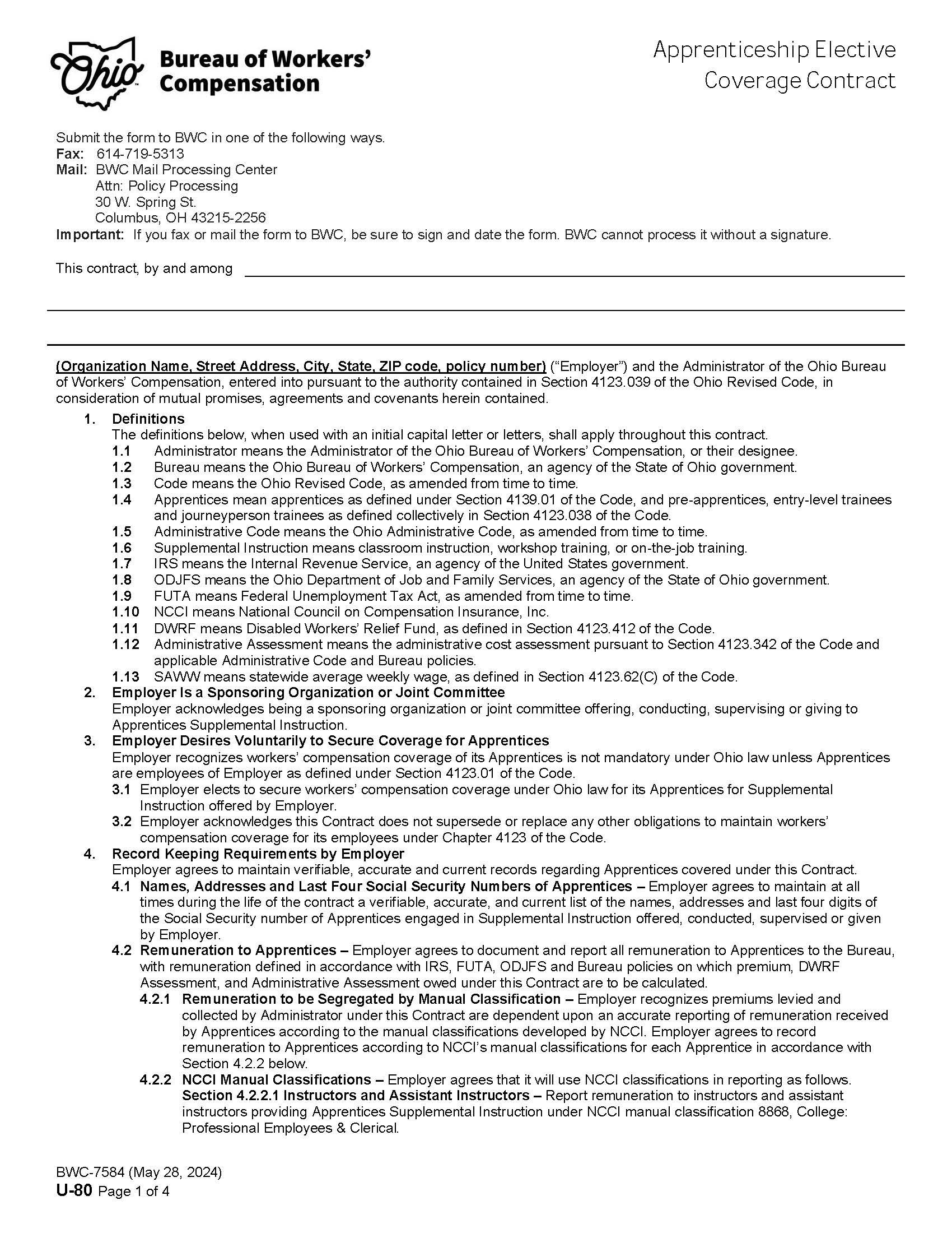
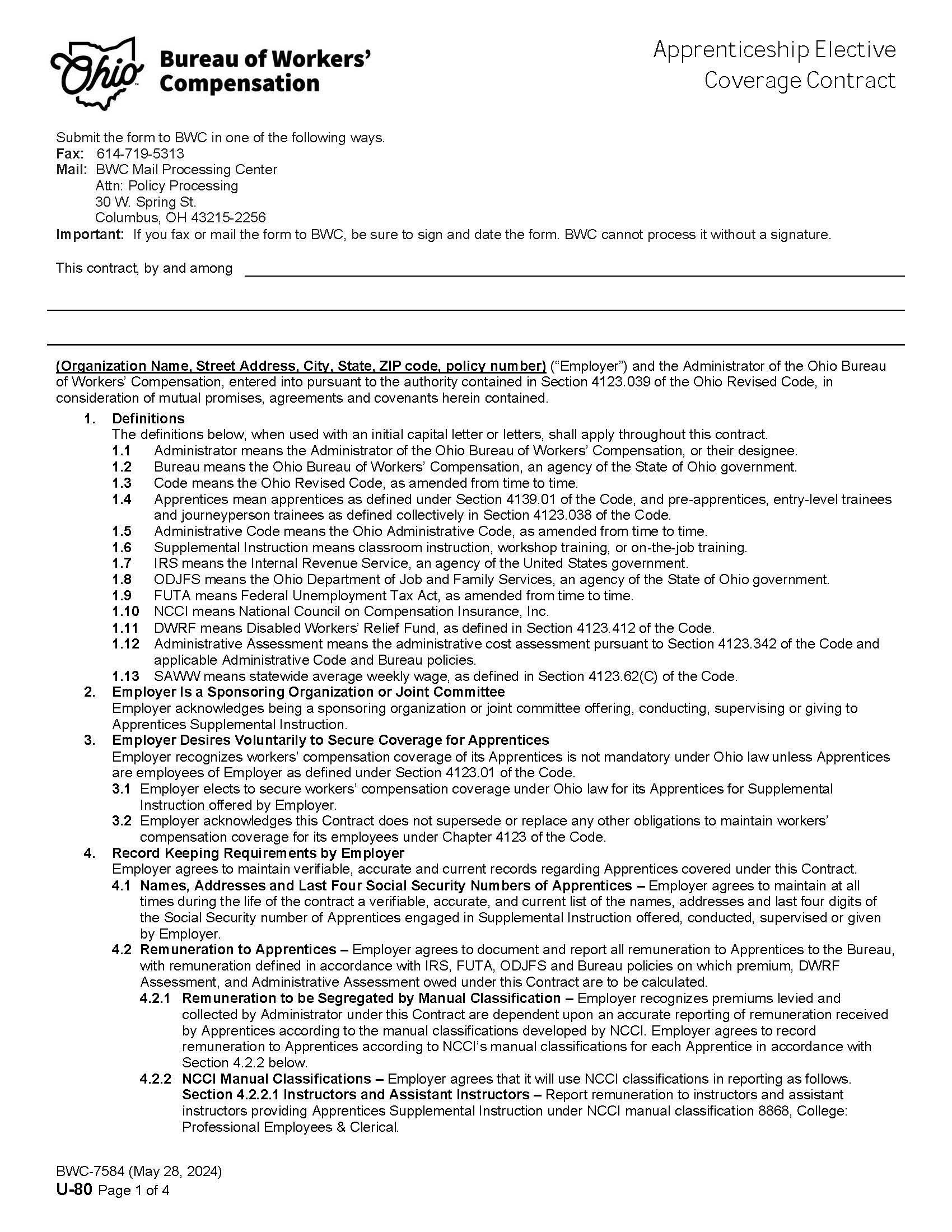
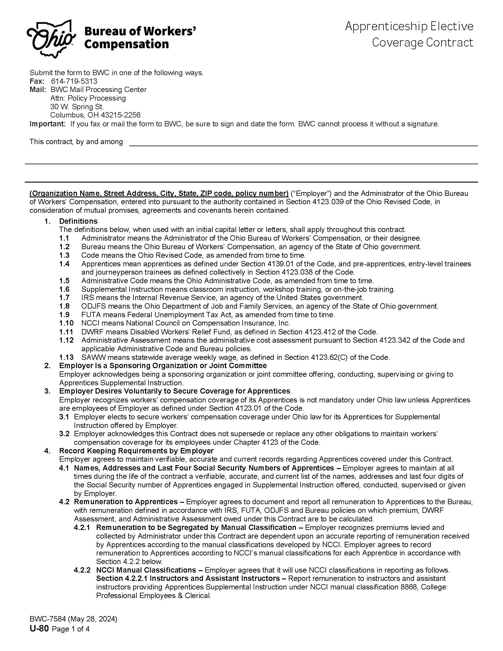
BWC-7584/U-80 - APPRENTICESHIP ELECTIVE COVERAGE CONTRACT. This form is used by employers to voluntarily secure workers' compensation coverage for their apprentices engaged in supplemental instruction. In Ohio, workers' compensation coverage is not mandatory for apprentices unless they are considered employees. This contract allows employers to extend such coverage to apprentices involved in classroom instruction, on-the-job training, or workshop training, and outlines the responsibilities for record keeping, premium payments, and compliance with Ohio's workers' compensation laws. Employers must maintain records of apprentices, report remuneration, and ensure that the proper premiums and assessments are paid for the coverage. www.FormsWorkflow.com
Related forms
-
Objection To Tentative Order
Ohio/Workers Comp/Employers/ -
Application To Add A Subsidiary To An Existing Self Insured Policy
Ohio/7 Workers Comp/Employers/ -
Employer Report Of Employee Earnings
Ohio/Workers Comp/Employers/ -
Filing Of An Allegation Against A Self Insured Employer
Ohio/7 Workers Comp/Employers/ -
Self Insured Joint Settlement Agreement And Release
Ohio/Workers Comp/Employers/ -
Notification Of Policy Update
Ohio/Workers Comp/Employers/ -
Pre-audit Questionnaire
Ohio/Workers Comp/Employers/ -
Election To Withdraw From Claims Reimbursement Fund
Ohio/Workers Comp/Employers/ -
Notice To BWC Of Agreement To Send Check To Employer
Ohio/Workers Comp/Employers/ -
Application For Transitional Work Grant Program
Ohio/7 Workers Comp/Employers/ -
Transitional Work Grant Reimbursement Request Form
Ohio/7 Workers Comp/Employers/ -
Application For Disability Relief
Ohio/Workers Comp/Employers/ -
Waiver Of Appeal Period
Ohio/Workers Comp/Employers/ -
Initial Application By Employer For Authority To Pay Compensation Directly
Ohio/Workers Comp/Employers/ -
Request To Add Change Or Terminate Permanent Authorization
Ohio/Workers Comp/Employers/ -
Transitional Work Offer And Acceptance Form
Ohio/Workers Comp/Employers/ -
Claims Liability Agreement
Ohio/Workers Comp/Employers/ -
Temporary Authorization To Review Information
Ohio/Workers Comp/Employers/ -
Self Insured Semiannual report Of Claim Payments
Ohio/Workers Comp/Employers/ -
Salary Continuation Agreement
Ohio/Workers Comp/Employers/ -
Sharps Injury Form Needlestick Report
Ohio/Workers Comp/Employers/ -
Safety Management Self Assessment
Ohio/Workers Comp/Employers/ -
Application For Retrospective Rating Plan For Public Employers
Ohio/Workers Comp/Employers/ -
Application For Retrospective Rating Plan For Private Employers
Ohio/Workers Comp/Employers/ -
Notice Of Intent To Settle
Ohio/7 Workers Comp/Employers/ -
Employer Trainers Report
Ohio/Workers Comp/Employers/ -
Employer Report Of Employee Earnings For Wage Loss Compensation
Ohio/Workers Comp/Employers/ -
Application For Deductible Program
Ohio/Workers Comp/Employers/ -
Acknowledgment Of The Self Insured Joint Settlement
Ohio/Workers Comp/Employers/ -
Drug Free Safety Program Safety Action Plan
Ohio/Workers Comp/Employers/ -
Accident Report
Ohio/Workers Comp/Employers/ -
Transitional Work Grant Program Corporate Analysis Questionnaire Work Sheet
Ohio/Workers Comp/Employers/ -
Waiver Of Examination Statewide Disability Evaluation System
Ohio/Workers Comp/Employers/ -
Lump Sum Settlement (LSS)
Ohio/Workers Comp/Employers/ -
Complaint (Risk Reduction Program)
Ohio/7 Workers Comp/Employers/ -
Application For Certification Of Qualified Health Plan (QHP)
Ohio/Workers Comp/Employers/ -
Request To Correct Employer And Or Policy Number Assignment
Ohio/Workers Comp/Employers/ -
Self-Insurers Agreement As To Compensation On Account Of Death
Ohio/Workers Comp/Employers/ -
Opt Out Of .99 EM Construction Cap Program
Ohio/Workers Comp/Employers/ -
Unconditional And Continuing Guarantee
Ohio/Workers Comp/Employers/ -
Self-Insured Employer Injured Worker Screening
Ohio/Workers Comp/Employers/ -
Division Of Safety And Hygiene Annual Report
Ohio/7 Workers Comp/Employers/ -
Sponsor Certification Application
Ohio/Workers Comp/Employers/ -
Application For Adjudication Hearing
Ohio/Workers Comp/Employers/ -
Settlement Application For Non-complying Employer Claims
Ohio/Workers Comp/Employers/ -
Waiver Of Workers Compensation Benefits For Recreational Or Fitness Activities
Ohio/Workers Comp/Employers/ -
Contract For Coverage Of State Agency Of Political Subdivision
Ohio/Workers Comp/Employers/ -
Professional Employer Organization Client Relationship Notification
Ohio/Workers Comp/Employers/ -
Self-Insured Construction Project Application
Ohio/Workers Comp/Employers/ -
Application For Transitional Work Bonus Program
Ohio/Workers Comp/Employers/ -
Request For Business Transfer Information
Ohio/Workers Comp/Employers/ -
Self-Insured Employers Certification Of Assignment After Initial Allowance
Ohio/Workers Comp/Employers/ -
Amended True-Up Payroll Report
Ohio/Workers Comp/Employers/ -
Fall Protection In Construction Supplemental Questions
Ohio/7 Workers Comp/Employers/ -
Labor Lease Transaction Claims
Ohio/Workers Comp/Employers/ -
Labor Lease Transaction Payroll
Ohio/Workers Comp/Employers/ -
Request To Charge Surplus Fund For Vehicle Accident
Ohio/Workers Comp/Employers/ -
Non Ohio Amended Payroll Report
Ohio/Workers Comp/Employers/ -
Other States Coverage Trucking Supplemental Application
Ohio/Workers Comp/Employers/ -
BWC Subrogation Referral Form
Ohio/Workers Comp/Employers/ -
Application For Representative Identification Number (RIN)
Ohio/Workers Comp/Employers/ -
Agreement To Select A State Other Then Ohio As The State Of Exclusive Remedy
Ohio/Workers Comp/Employers/ -
Agreement To Select The State Of Ohio As The State Of Exclusive Remedy
Ohio/Workers Comp/Employers/ -
Application For Or Request To Cancel Elective Coverage
Ohio/Workers Comp/Employers/ -
Application For Workers Compensation Coverage
Ohio/Workers Comp/Employers/ -
Apprenticeship Elective Coverage Contract
Ohio/Workers Comp/Employers/ -
Certification Safety Agreement For Sponsors And Affiliate Sponsors
Ohio/7 Workers Comp/Employers/ -
Notice Of Election To Obtain Coverage From Other States
Ohio/Workers Comp/Employers/ -
Lapse And Penalty Forgiveness
Ohio/Workers Comp/Employers/ -
True Up Forgiveness
Ohio/Workers Comp/Employers/ -
Application For Claim Impact Reduction Program
Ohio/Workers Comp/Employers/ -
Application For Exemption From Ohio Workers Coverage And Waiver Of Benefits
Ohio/Workers Comp/Employers/ -
Notification Of Business Aquisition Or Merger Or Purchase Or Sale
Ohio/Workers Comp/Employers/ -
State Fund Employers Agreement To Accept Claim Assignment
Ohio/Workers Comp/Employers/ -
Transitional Work Grant Agreement
Ohio/Workers Comp/Employers/ -
Self-Insured Claims Reimbursement (Sysco) Application
Ohio/Workers Comp/Employers/ -
Application For Substance Use Prevention And Recovery Program
Ohio/Workers Comp/Employers/ -
Employer Authorized Representative
Ohio/Workers Comp/Employers/ -
Settlement Agreement And Application For Approval Of Settlement Agreement
Ohio/Workers Comp/Employers/ -
MCO Selection Form
Ohio/Workers Comp/Employers/
Form Preview
Contact Us
Success: Your message was sent.
Thank you!




