Last updated: 4/25/2025
Protective Order Regarding Recorded Interview Of Minor Child Acknowledgment Of Receipt {CCJP 0004}
Start Your Free Trial $ 13.99What you get:
- Instant access to fillable Microsoft Word or PDF forms.
- Minimize the risk of using outdated forms and eliminate rejected fillings.
- Largest forms database in the USA with more than 80,000 federal, state and agency forms.
- Download, edit, auto-fill multiple forms at once in MS Word using our Forms Workflow Ribbon
- Trusted by 1,000s of Attorneys and Legal Professionals
Description
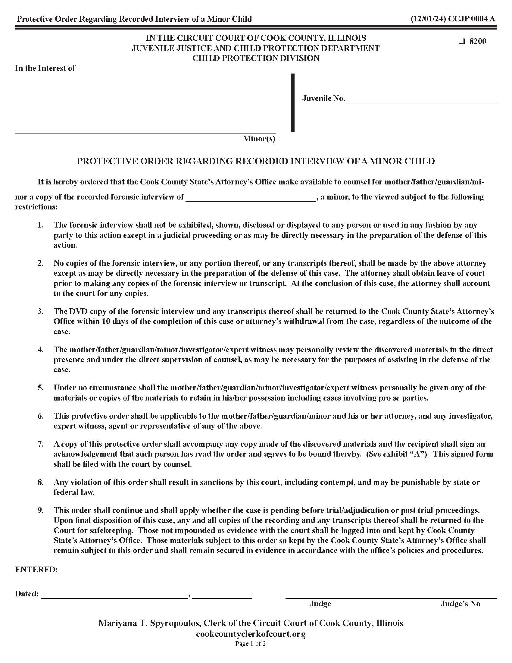
CCJP 0004 - PROTECTIVE ORDER REGARDING RECORDED INTERVIEW OF A MINOR CHILD. This form is used in the Circuit Court of Cook County, Illinois, Juvenile Justice and Child Protection Department, to regulate and safeguard the handling of sensitive forensic interview recordings of minor children involved in child protection proceedings. This form authorizes the Cook County State’s Attorney’s Office to provide a copy of the recorded interview to legal counsel for a parent, guardian, or minor involved in the case—but only under strict conditions to protect the privacy of the child and the integrity of the investigation. The order prohibits unauthorized disclosure, reproduction, or distribution of the video or transcript and limits its use strictly to case preparation and judicial proceedings. It requires that any review of the material by parties such as parents, guardians, or expert witnesses must occur in the direct presence of the attorney, and under no circumstances may these individuals retain a copy. At the conclusion of the case, all materials must be returned to the State’s Attorney’s Office or the court, ensuring they remain secure and subject to the protective order. Violations of this order may result in sanctions, including contempt of court, and could be subject to legal penalties. The accompanying Acknowledgment of Receipt form is signed by recipients to confirm they have received, read, and agree to abide by the protective order, and submit to the court’s jurisdiction for enforcement purposes. www.FormsWorkflow.com
Related forms
-
Order Request For Clinical Information
Illinois/2 Local County/Cook/Juvenile Protection/ -
Protective Order Regarding Recorded Interview Of Minor Child Acknowledgment Of Receipt
Illinois/Local County/Cook/Juvenile Protection/ -
Mediation-Facilitation Report
Illinois/2 Local County/Cook/Juvenile Protection/ -
Notice Of Appeal Transmittal
Illinois/Local County/Cook/Juvenile Protection/ -
Court Family Conference Order
Illinois/2 Local County/Cook/Juvenile Protection/ -
Appeal To Appellate Court (Certificate Record To Reviewing Court)
Illinois/2 Local County/Cook/Juvenile Protection/ -
Order To Impound Exhibits
Illinois/Local County/Cook/Juvenile Protection/ -
Continuance Order-Determination - Application Of 25 USC1901 Et Seq (ICWA)
Illinois/Local County/Cook/Juvenile Protection/ -
Order On Visiting
Illinois/2 Local County/Cook/Juvenile Protection/ -
Temporary Custody Hearing Order
Illinois/Local County/Cook/Juvenile Protection/ -
Supplemental Stipulation Of Facts
Illinois/2 Local County/Cook/Juvenile Protection/ -
Disposition Order (Placement)
Illinois/2 Local County/Cook/Juvenile Protection/ -
Stipulation Of Facts
Illinois/2 Local County/Cook/Juvenile Protection/ -
Supplemental Protective Order Conditions
Illinois/2 Local County/Cook/Juvenile Protection/ -
Adjudication Order
Illinois/2 Local County/Cook/Juvenile Protection/ -
Order For Physical And-Or Mental Examination Of Parent Guardian Custodian
Illinois/Local County/Cook/Juvenile Protection/ -
Termination Hearing Order
Illinois/2 Local County/Cook/Juvenile Protection/ -
Order On Motion
Illinois/Local County/Cook/Juvenile Protection/ -
Order Appointing Attorney Or Guardian Ad Litem
Illinois/2 Local County/Cook/Juvenile Protection/ -
Order For Substitution Of Judge Change Of Venue Or Recusal
Illinois/2 Local County/Cook/Juvenile Protection/ -
Order To Amend Identifying Information Petition For Adjudication Of Wardship
Illinois/2 Local County/Cook/Juvenile Protection/ -
Order Granting Probation Officer Leave To Withdraw
Illinois/Local County/Cook/Juvenile Protection/ -
Order Compelling Appearance
Illinois/2 Local County/Cook/Juvenile Protection/ -
Order Granting Leave To Withdraw
Illinois/2 Local County/Cook/Juvenile Protection/ -
Continuance Order
Illinois/Local County/Cook/Juvenile Protection/ -
Order Appointing Or Discharging CASA Volunteer
Illinois/2 Local County/Cook/Juvenile Protection/ -
Motion For Temporary Custody
Illinois/Local County/Cook/Juvenile Protection/ -
Petition For Adjudication Of Wardship
Illinois/2 Local County/Cook/Juvenile Protection/ -
Order (HIPAA Records Release)
Illinois/2 Local County/Cook/Juvenile Protection/ -
Notice Of Motion
Illinois/Local County/Cook/Juvenile Protection/ -
Case Management Conference Order (Adjudicatory Or Dispositional Hearing)
Illinois/2 Local County/Cook/Juvenile Protection/ -
Case Management Conference Order (Termination Of Parental Rights Trial)
Illinois/2 Local County/Cook/Juvenile Protection/ -
Request For File Instanter
Illinois/2 Local County/Cook/Juvenile Protection/ -
Order Appointing Private Attorney
Illinois/2 Local County/Cook/Juvenile Protection/ -
Child Protection Warrant Minor Under Legal Custody Of Parent-Private Guardian
Illinois/Local County/Cook/Juvenile Protection/ -
Order For Parentage Testing
Illinois/2 Local County/Cook/Juvenile Protection/ -
Order Of Protection
Illinois/2 Local County/Cook/Juvenile Protection/ -
Notice To Foster Parents Of Court Hearing
Illinois/2 Local County/Cook/Juvenile Protection/ -
Finding Regarding Paternity
Illinois/2 Local County/Cook/Juvenile Protection/ -
Order Regarding Service On Parents-Guardian-Custodian
Illinois/2 Local County/Cook/Juvenile Protection/ -
Permanency Order
Illinois/Local County/Cook/Juvenile Protection/ -
Order Approving Attorney Fees
Illinois/2 Local County/Cook/Juvenile Protection/ -
Order On Motion To Close Proceedings
Illinois/2 Local County/Cook/Juvenile Protection/ -
Motion For Leave To Amend Petition For Adjudication Of Wardship
Illinois/2 Local County/Cook/Juvenile Protection/ -
Private Guardianship Order
Illinois/2 Local County/Cook/Juvenile Protection/ -
Order
Illinois/2 Local County/Cook/Juvenile Protection/ -
Order For Release Of Mental Health Records
Illinois/2 Local County/Cook/Juvenile Protection/ -
Order For Release Of Educational Records
Illinois/2 Local County/Cook/Juvenile Protection/ -
Elastic Order For Unsupervised Visits
Illinois/2 Local County/Cook/Juvenile Protection/ -
Waiver Of Adjudicatory Hearing Time LImit
Illinois/2 Local County/Cook/Juvenile Protection/ -
Request For Child Protection Warrant
Illinois/2 Local County/Cook/Juvenile Protection/ -
Order On Drug Test
Illinois/Local County/Cook/Juvenile Protection/ -
Memorandum Of Agreement
Illinois/2 Local County/Cook/Juvenile Protection/ -
Notice Of Publication
Illinois/2 Local County/Cook/Juvenile Protection/ -
Notice Of Venue File Transfer
Illinois/2 Local County/Cook/Juvenile Protection/ -
Summons
Illinois/2 Local County/Cook/Juvenile Protection/ -
Order Regarding Extension Of Wardship Beyond Age 19
Illinois/2 Local County/Cook/Juvenile Protection/ -
Order For Release Of Medical Records
Illinois/2 Local County/Cook/Juvenile Protection/ -
Motion To Appoint Appellate Attorney Order Transcript Release Impounded Materials
Illinois/Local County/Cook/Juvenile Protection/ -
Order On Motion To Appoint An Appellate Bar Attorney
Illinois/2 Local County/Cook/Juvenile Protection/ -
Order To Prepare Transcripts
Illinois/2 Local County/Cook/Juvenile Protection/ -
Notice Of Appeal
Illinois/Local County/Cook/Juvenile Protection/ -
Order To Include Impounded Materials In The Record On Appeal
Illinois/2 Local County/Cook/Juvenile Protection/ -
Affidavit Of Assets And Liabilities
Illinois/2 Local County/Cook/Juvenile Protection/ -
Private Guardians Supplemental Petition To Reinstate Wardship Packet
Illinois/2 Local County/Cook/Juvenile Protection/ -
Supplemental Petition To Reinstate Wardship Packet
Illinois/2 Local County/Cook/Juvenile Protection/ -
Child Protection Warrant Minor Under Temporary Guardianship Of DCFS GA
Illinois/2 Local County/Cook/Juvenile Protection/
Form Preview
Contact Us
Success: Your message was sent.
Thank you!




