Last updated: 8/16/2024
Attachment To Judgment-Child Support {FAM-006}
Start Your Free Trial $ 14.00What you get:
- Instant access to fillable Microsoft Word or PDF forms.
- Minimize the risk of using outdated forms and eliminate rejected fillings.
- Largest forms database in the USA with more than 80,000 federal, state and agency forms.
- Download, edit, auto-fill multiple forms at once in MS Word using our Forms Workflow Ribbon
- Trusted by 1,000s of Attorneys and Legal Professionals
Description
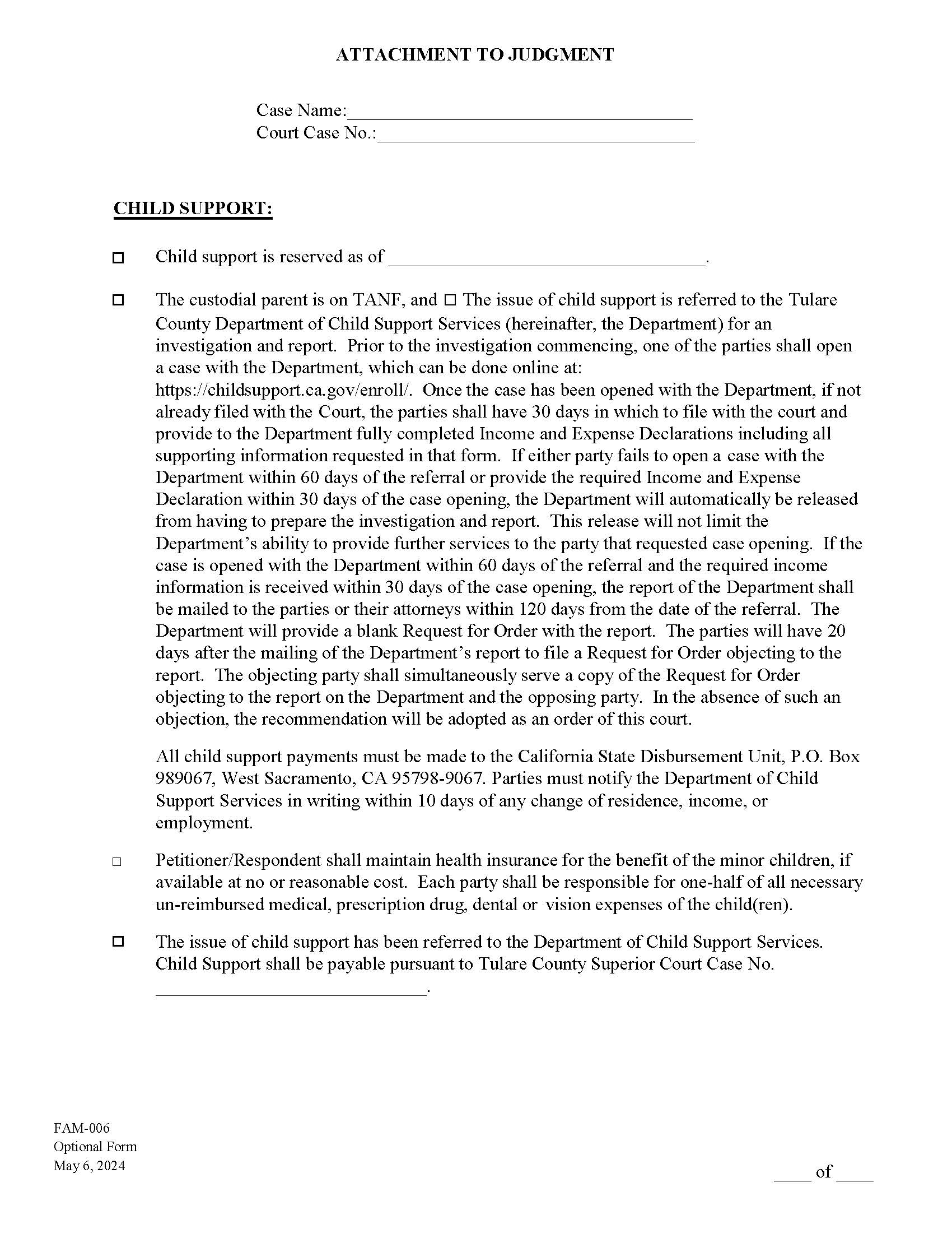
FAM-006 - ATTACHMENT TO JUDGMENT CHILD SUPPORT. This form is used in family law cases to outline child support arrangements as part of a court's final judgment. It details whether child support is reserved or referred to the Tulare County Department of Child Support Services for investigation. It specifies procedures for opening a case with the department, submitting income information, and handling objections to the department's report. The form also includes directives on making child support payments, maintaining health insurance for the children, sharing unreimbursed medical expenses, and the conditions under which child support payments will continue or terminate. It confirms that the parties are informed of their rights, that the agreement is voluntary, and that the children's needs will be adequately met. www.FormsWorkflow.com





