California Jury Instructions
33 Unfair Practices Act
200 Ratings
Last updated: 6/13/2024
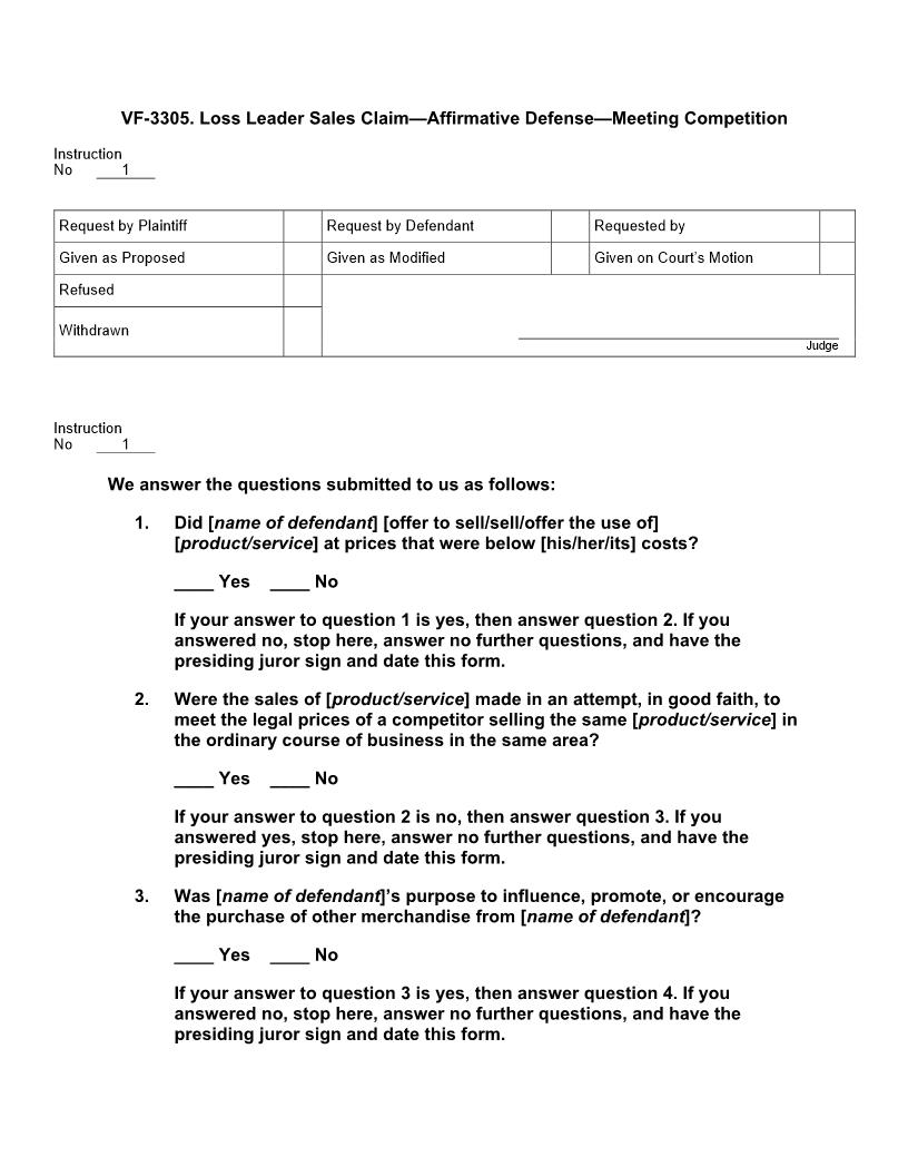
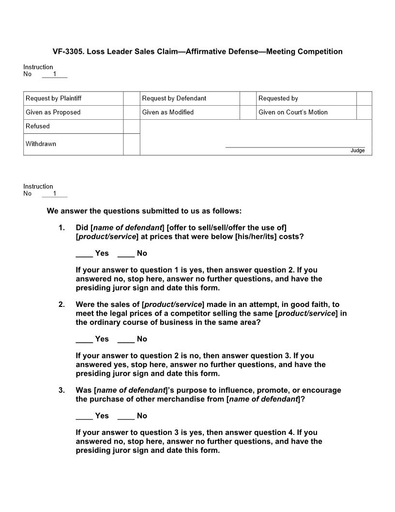
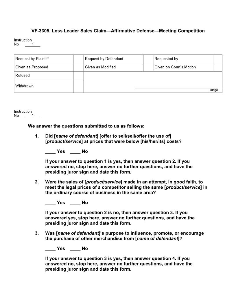
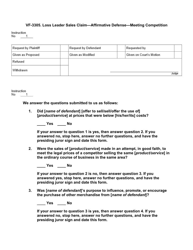
VF 3305. Loss Leader Sales Claim Affirmative Defense of Meeting Competition
Start Your Free Trial $ 14.00What you get:
- Instant access to fillable Microsoft Word or PDF forms.
- Minimize the risk of using outdated forms and eliminate rejected fillings.
- Largest forms database in the USA with more than 80,000 federal, state and agency forms.
- Download, edit, auto-fill multiple forms at once in MS Word using our Forms Workflow Ribbon
- Trusted by 1,000s of Attorneys and Legal Professionals
Description
Related forms
-
3300. Locality Discrimination-Essential Factual Elements
California Jury Instructions/Unfair Practices Act/ -
3304. Presumptions Concerning Costs-Manufacturer
California Jury Instructions/Unfair Practices Act/ -
3320. Secret Rebates-Essential Factual Elements
California Jury Instructions/Unfair Practices Act/ -
3303. Definition of Cost
California Jury Instructions/Unfair Practices Act/ -
3321. Secret Rebates Definition of Secret
California Jury Instructions/Unfair Practices Act/ -
3335. Affirmative Defense Good Faith Explained
California Jury Instructions/Unfair Practices Act/ -
3333. Aff. Defense to Locality Discrimination Below Cost Sales Loss Leader Sales Claims Meeting Competition
California Jury Instructions/Unfair Practices Act/ -
3301. Below Cost Sales-Essential Factual Elements
California Jury Instructions/Unfair Practices Act/ -
3302. Loss Leader Sales-Essential Factual Elements
California Jury Instructions/Unfair Practices Act/ -
3305. Presumptions Concerning Costs-Distributor
California Jury Instructions/Unfair Practices Act/ -
3330. Affirmative Defense to Locality Discrimination Claim-Cost Justification
California Jury Instructions/Unfair Practices Act/ -
3331. Affirmative Defense To Locality Discrimination Below Cost Loss Leader Discontinued Damaged
California Jury Instructions/Unfair Practices Act/ -
3332. Aff Def to Locality Discrim Below Cost Sales Loss Leader Secret Rebates Functional Classifications
California Jury Instructions/Unfair Practices Act/ -
3334. Affirmative Defense to Locality Discrimination Claim-Manufacturer Meeting Downstream Competition
California Jury Instructions/Unfair Practices Act/ -
3306. Methods of Allocating Costs to an Individual Product
California Jury Instructions/Unfair Practices Act/ -
VF 3300. Locality Discrimination
California Jury Instructions/Unfair Practices Act/ -
VF 3301. Locality Discrimination Claim Affirmative Defense of Cost Justification
California Jury Instructions/Unfair Practices Act/ -
VF 3302. Below Cost Sales
California Jury Instructions/Unfair Practices Act/ -
VF 3303. Below Cost Sales Claim Affirmative Defense Discontinued Damaged Perishable
California Jury Instructions/Unfair Practices Act/ -
VF 3304. Loss Leader Sales
California Jury Instructions/Unfair Practices Act/ -
VF 3305. Loss Leader Sales Claim Affirmative Defense of Meeting Competition
California Jury Instructions/Unfair Practices Act/ -
VF 3306. Secret Rebates
California Jury Instructions/Unfair Practices Act/ -
VF 3307. Secret Rebates Claim Affirmative Defense of Functional Classifications
California Jury Instructions/Unfair Practices Act/
Form Preview
Sorry, we couldn't download the pdf file.
Our Products
Contact Us
Success: Your message was sent.
Thank you!




