Last updated: 2/9/2024
Sworn Affirmation Of Plaintiff {UD-6}
Start Your Free Trial $ 23.00What you get:
- Instant access to fillable Microsoft Word or PDF forms.
- Minimize the risk of using outdated forms and eliminate rejected fillings.
- Largest forms database in the USA with more than 80,000 federal, state and agency forms.
- Download, edit, auto-fill multiple forms at once in MS Word using our Forms Workflow Ribbon
- Trusted by 1,000s of Attorneys and Legal Professionals
Description
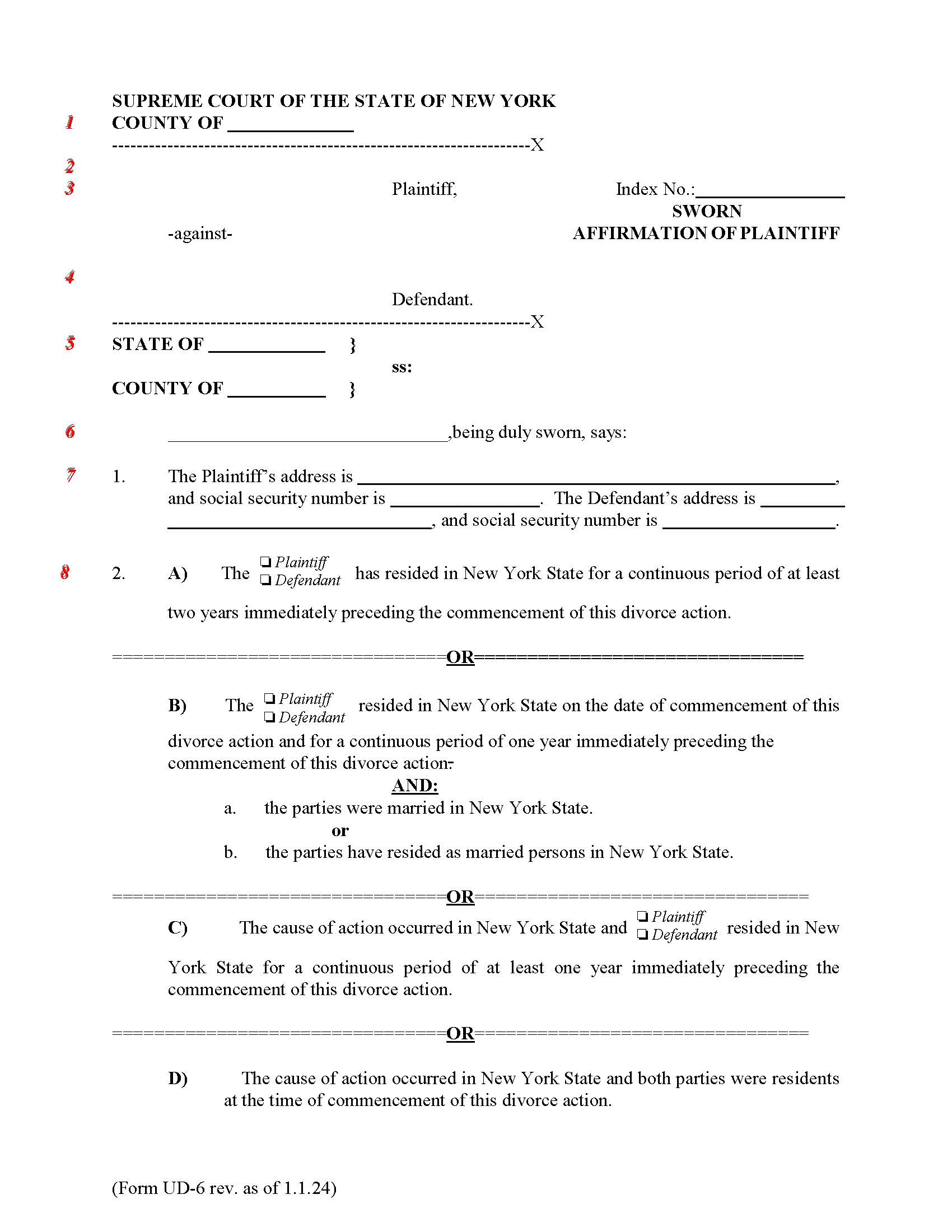
UD-6 - SWORN AFFIRMATION OF PLAINTIFF. This form is used in divorce proceedings in the Supreme Court of the State of New York. It is completed by the plaintiff (the individual initiating the divorce) and contains various statements and information required by the court. The form includes details such as the parties' addresses, marital history, grounds for divorce, information about children, requests for ancillary relief (such as distribution of marital property and child support), and other pertinent information related to the divorce case. www.FormsWorkflow.com





