Last updated: 1/16/2024
Attorneys Settlement Statement (Judges Daly Beatty and Sison)
Start Your Free Trial $ 14.00What you get:
- Instant access to fillable Microsoft Word or PDF forms.
- Minimize the risk of using outdated forms and eliminate rejected fillings.
- Largest forms database in the USA with more than 80,000 federal, state and agency forms.
- Download, edit, auto-fill multiple forms at once in MS Word using our Forms Workflow Ribbon
- Trusted by 1,000s of Attorneys and Legal Professionals
Description
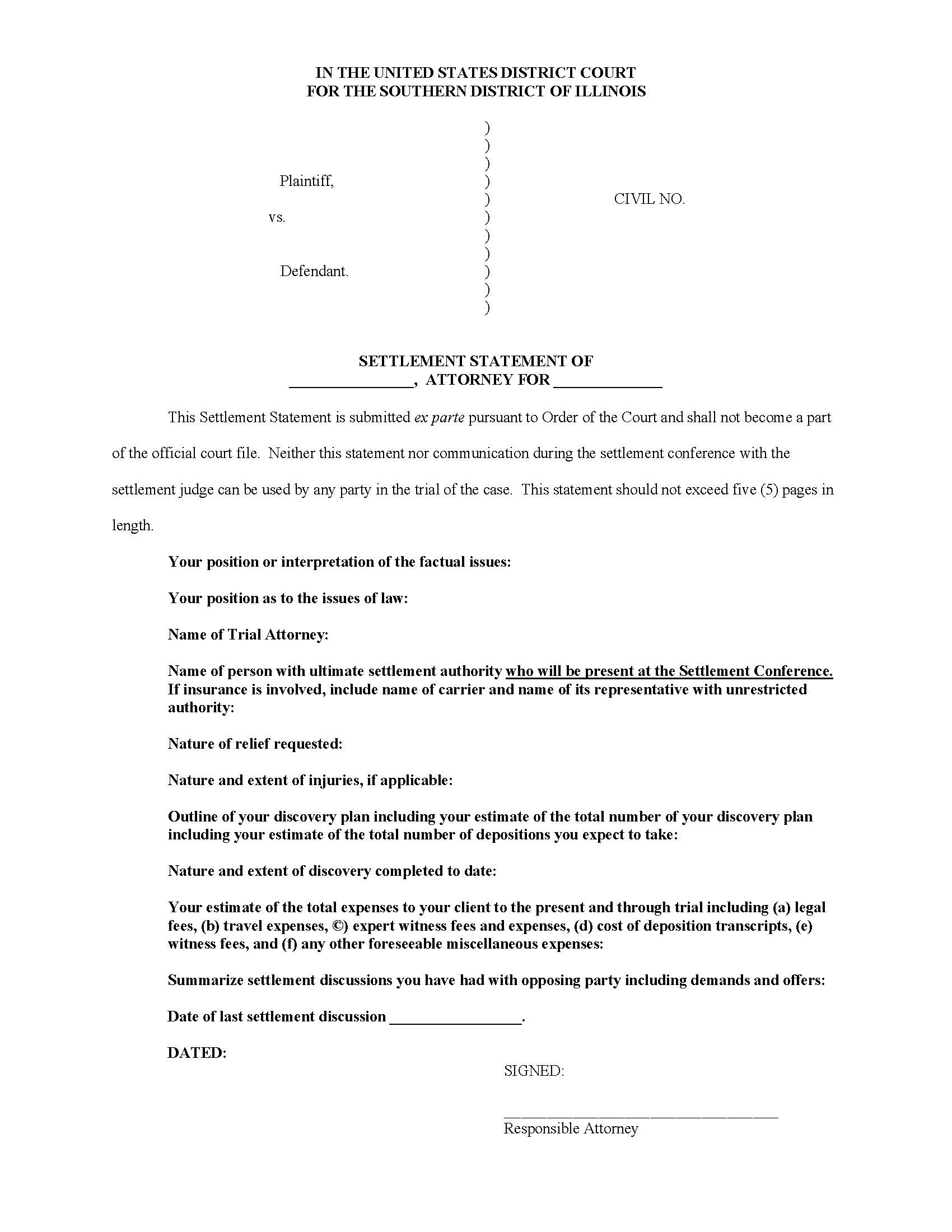
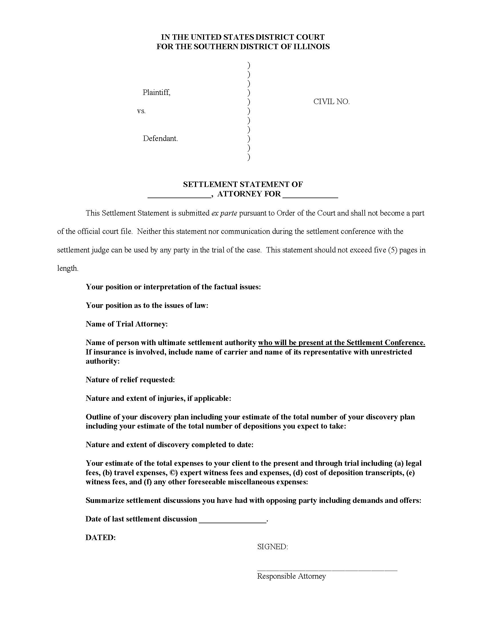
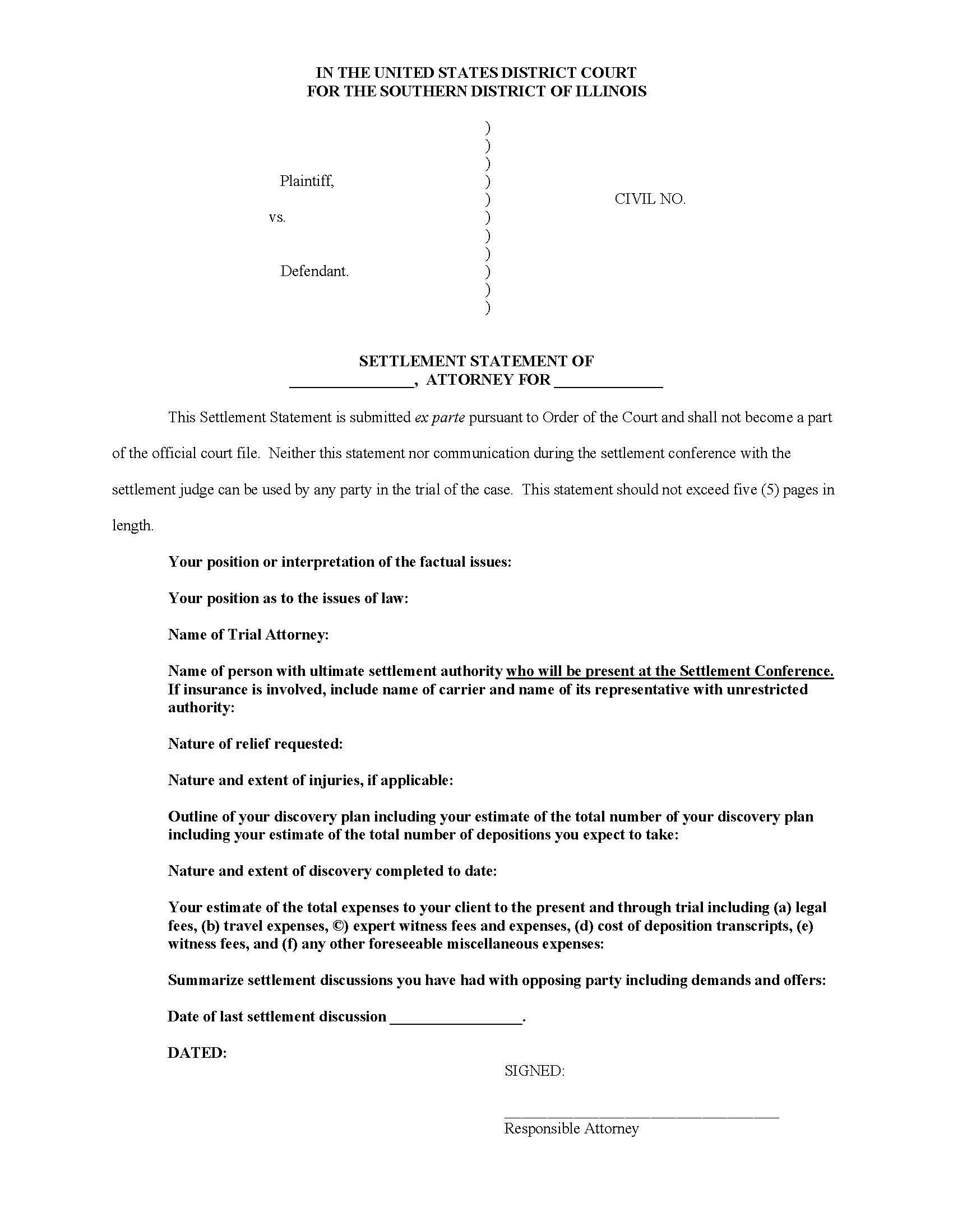
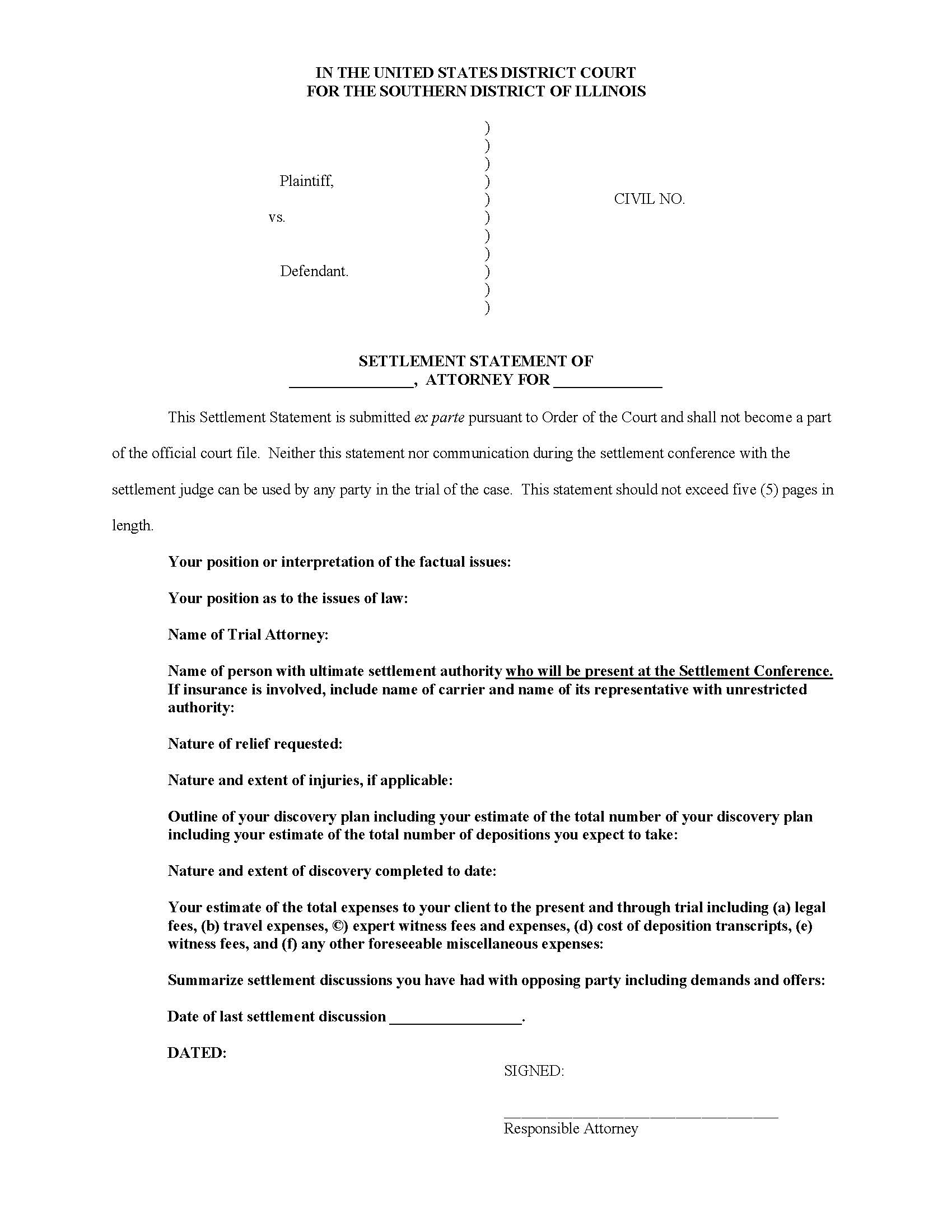
ATTORNEY SETTLEMENT STATEMENT (JUDGES DALY BEATTY AND SISON). This form is used in the United States District Court for the Southern District of Illinois. It is submitted by the attorney representing the plaintiff or defendant in a civil case. The Settlement Statement is presented ex parte, following the court's order, and is not intended to become part of the official court file. The document includes information such as the attorney's position on factual and legal issues, the name of the trial attorney, the person with ultimate settlement authority, the nature of relief requested, details about injuries (if applicable), an outline of the discovery plan, expenses incurred, and a summary of settlement discussions with the opposing party, including demands and offers. The document is signed by the responsible attorney. www.FormsWorkflow.com
Related forms
-
Entry Of Appearance
Illinois/Federal/USDC Southern/ -
Motion To Deposit Money With Court
Illinois/Federal/USDC Southern/ -
Notice Of Manual Filing
Illinois/Federal/USDC Southern/ -
Authorization-Certification For Reimbursement
Illinois/Federal/USDC Southern/ -
Final Pre-Trial Order (Sample And Form)
Illinois/Federal/USDC Southern/ -
Waiver Of Appearance At Arraignment And Plea Of Not Guilty
Illinois/Federal/USDC Southern/ -
Motion For Out-Of-Pocket Expenses
Illinois/Federal/USDC Southern/ -
Attorney General Admission To Practice (Packet)
Illinois/Federal/USDC Southern/ -
Motion For Pro Hac Vice Admission
Illinois/Federal/USDC Southern/ -
Attestation Regarding Private Mediator
Illinois/4 Federal/USDC Southern/ -
Joint Report Of Parties Proposed Scheduling And Discovery Order (Judge Gilbert)
Illinois/Federal/USDC Southern/ -
Abstract Of Judgment
Illinois/Federal/USDC Southern/ -
Joint Report Proposed Scheduling Discovery Order (Class Action - Judge Yandle)
Illinois/Federal/USDC Southern/ -
Placeholder For Highly Sensitive Document Filed Under Seal
Illinois/Federal/USDC Southern/ -
Joint Report Proposed Scheduling Discovery Order (Class Action - Judge Dugan)
Illinois/Federal/USDC Southern/ -
Attorneys Settlement Statement (Judges Daly Beatty and Sison)
Illinois/Federal/USDC Southern/ -
Joint Report Proposed Scheduling Discovery (Not Referred-Judge Yandle)
Illinois/Federal/USDC Southern/ -
Joint Report Proposed Scheduling Discovery (Not Referred-Judge Dugan)
Illinois/Federal/USDC Southern/ -
Joint Report Proposed Scheduling Discovery Order (Not Referred To Mediation)
Illinois/Federal/USDC Southern/ -
Report Of Mandatory Mediation
Illinois/Federal/USDC Southern/ -
Stipulation Selecting Mediator
Illinois/Federal/USDC Southern/ -
Joint Report Of Parties Proposed Scheduling And Discovery Order (Judge Yandle}
Illinois/Federal/USDC Southern/ -
Joint Report Of Parties Proposed Scheduling And Discovery Order
Illinois/Federal/USDC Southern/ -
Joint Report Of Parties Proposed Scheduling And Discovery Order (Judge Dugan)}
Illinois/Federal/USDC Southern/ -
Final Pretrial Order (Mag. Judge Sison)
Illinois/Federal/USDC Southern/ -
Exhibit List (Judge Dugan)
Illinois/Federal/USDC Southern/ -
Final Pretrial Order (Judge Rosenstengel)
Illinois/Federal/USDC Southern/ -
Exhibit List (Mag. Judge Beatty)
Illinois/Federal/USDC Southern/ -
Final Pretrial Order (Judge Gilbert)
Illinois/Federal/USDC Southern/ -
Final Pretrial Order (Judge Yandle)
Illinois/Federal/USDC Southern/ -
Exhibit List (Judge Rosenstengel)
Illinois/Federal/USDC Southern/ -
Joint Report Proposed Scheduling And Discovery Order (Class Action)
Illinois/Federal/USDC Southern/ -
Disclosure Statement Pursuant To Federal And SDIL Rule7.1
Illinois/Federal/USDC Southern/ -
Final Pretrial Order (Judge Dugan)
Illinois/Federal/USDC Southern/ -
Notice And Consent To Magistrate Judge Jurisdiction (Represented Parties)
Illinois/Federal/USDC Southern/
Form Preview
Contact Us
Success: Your message was sent.
Thank you!




