Last updated: 9/11/2023
Waiver Of Accounting {SJPR-207}
Start Your Free Trial $ 14.00What you get:
- Instant access to fillable Microsoft Word or PDF forms.
- Minimize the risk of using outdated forms and eliminate rejected fillings.
- Largest forms database in the USA with more than 80,000 federal, state and agency forms.
- Download, edit, auto-fill multiple forms at once in MS Word using our Forms Workflow Ribbon
- Trusted by 1,000s of Attorneys and Legal Professionals
Description
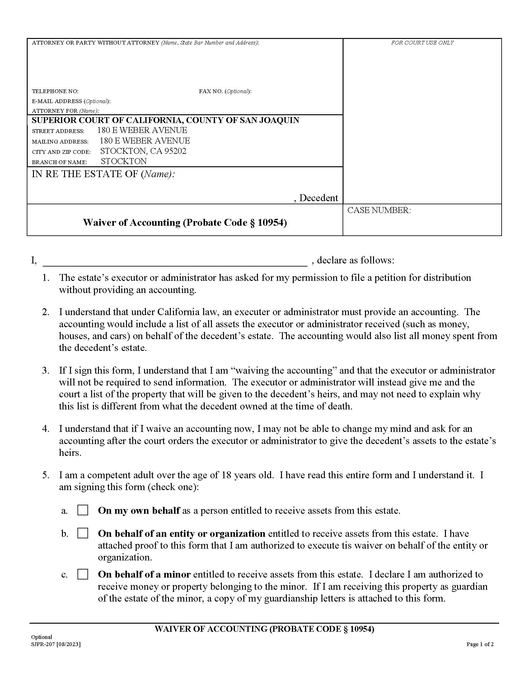
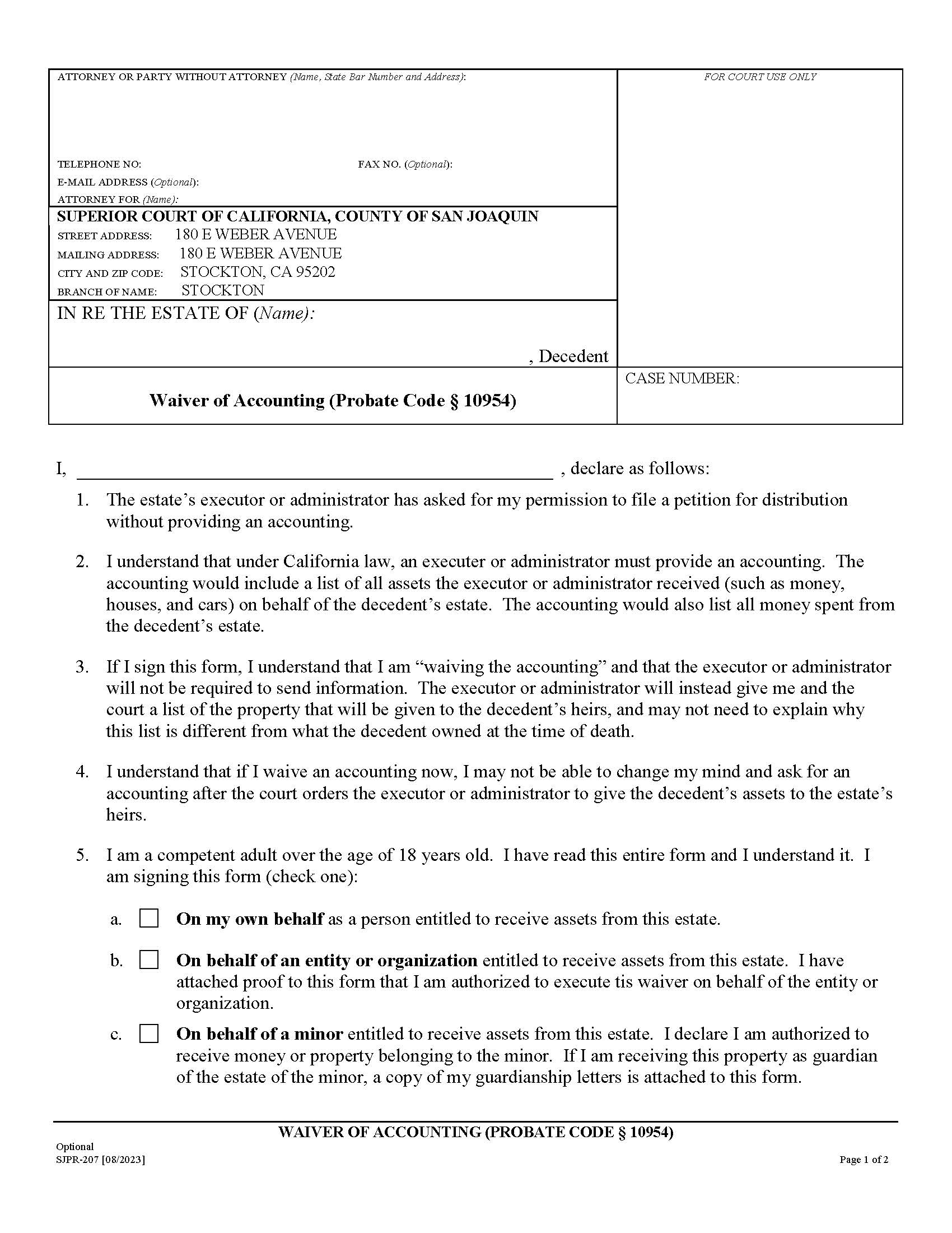
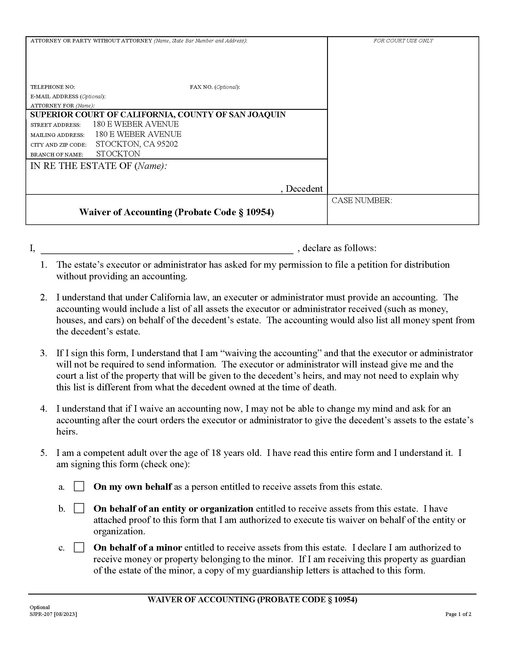
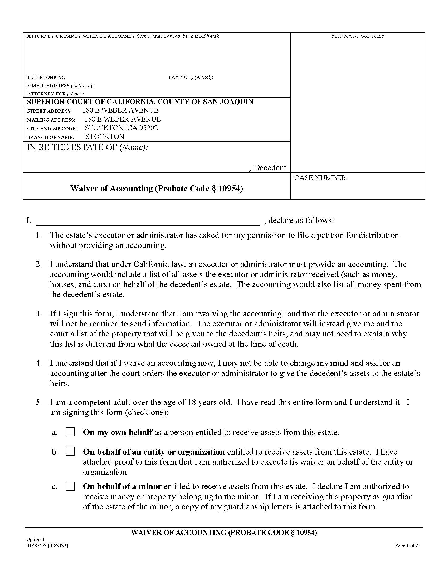
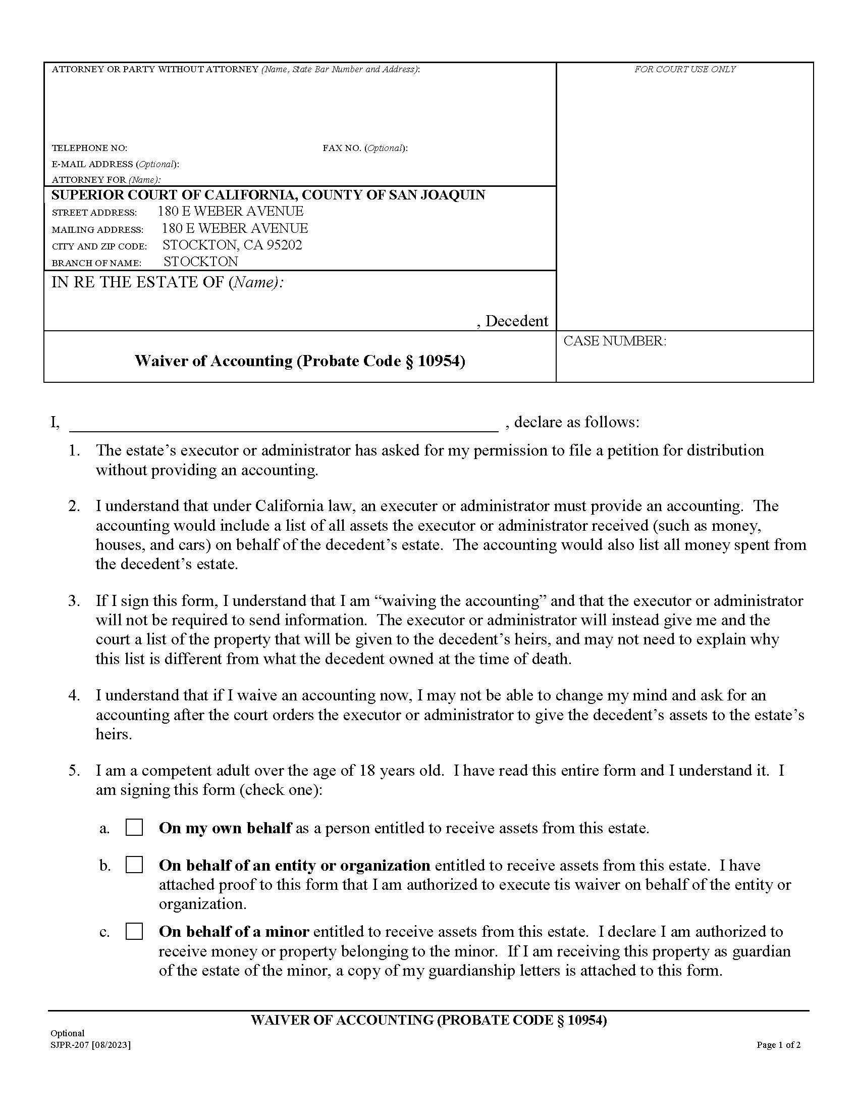
SJPR-207 - WAIVER OF ACCOUNTING (PROBATE CODE § 10954). This form is used in the Superior Court of California, County of San Joaquin, in matters related to the estate of a deceased individual (decedent). It is used when a person, entity, organization, or representative entitled to receive assets from the decedent's estate agrees to waive the requirement for the executor or administrator of the estate to file an accounting with the court. The form includes a declaration where the individual or representative acknowledges that they understand the implications of waiving the accounting and confirms their waiver under penalty of perjury. It also provides options for different types of individuals or entities waiving the accounting, such as heirs, guardians, trustees, and more. www.FormsWorkflow.com
Related forms
-
Declaration In Support Of Affidavit Re Real Property Of Small Value
California/Local County/San Joaquin/Probate/ -
Order To Increase Bond Decrease Bond
California/2 Local County/San Joaquin/Probate/ -
Petition To Increase Or Decrease Bond
California/2 Local County/San Joaquin/Probate/ -
Meet And Confer Statement
California/Local County/San Joaquin/Probate/ -
Request To Continue Or Request For Hearing
California/Local County/San Joaquin/Probate/ -
Order Regarding Request To Continue Due Date Or Request To Set Hearing Date
California/Local County/San Joaquin/Probate/ -
Declaration Of Due Diligence
California/2 Local County/San Joaquin/Probate/ -
Proof Of Service Attachment To Notice Of Remote Appearance (Effective 2-3-25)
California/Local County/San Joaquin/Probate/ -
Trust Documents Cover Sheet Confidential
California/Local County/San Joaquin/Probate/ -
Status Report Of Administration
California/2 Local County/San Joaquin/Probate/ -
Notice Of Refusal To Petition For Probate Of Will Or Codicil
California/2 Local County/San Joaquin/Probate/ -
Lineal Chart A-Decedent Has Issue
California/2 Local County/San Joaquin/Probate/ -
Lineal Chart B-Decedent Has No Issue
California/2 Local County/San Joaquin/Probate/ -
Lineal Chart C-Decedent Had A Predeceased Spouse And No Issue
California/2 Local County/San Joaquin/Probate/ -
Declaration In Support Of Affidavit
California/Local County/San Joaquin/Probate/ -
Confidential Conservatorship Questionnaire
California/Local County/San Joaquin/Probate/ -
Petition To Terminate Conservatorship
California/2 Local County/San Joaquin/Probate/ -
Order Terminating Conservatorship
California/Local County/San Joaquin/Probate/ -
Confidential Guardianship Questionnaire
California/2 Local County/San Joaquin/Probate/ -
Objection To Petition For Appointment Of Guardian
California/2 Local County/San Joaquin/Probate/ -
Petition For Visitation
California/2 Local County/San Joaquin/Probate/ -
Objection To Petition For Visitation
California/Local County/San Joaquin/Probate/ -
Petition Tendering Resignation Of Guardian
California/Local County/San Joaquin/Probate/ -
Objection To Petition To Terminate Guardianship Or Conservatorship
California/Local County/San Joaquin/Probate/ -
Petition To Remove Guardian Or Conservator
California/Local County/San Joaquin/Probate/ -
Order To Increase Or Decrease Bond
California/Local County/San Joaquin/Probate/ -
Petition To Increase Or Decrease Bond
California/Local County/San Joaquin/Probate/ -
Waiver Of Accounting
California/Local County/San Joaquin/Probate/ -
Notice Of Telephone Appearance And Requirements
California/2 Local County/San Joaquin/Probate/ -
Financial Documents Cover Sheet (Confidential)
California/Local County/San Joaquin/Probate/ -
Notice Of Ex Parte Request
California/Local County/San Joaquin/Probate/ -
Declaration Re Notice Of Ext Parte Application
California/Local County/San Joaquin/Probate/ -
Nunc Pro Tunc Order Correcting Order
California/Local County/San Joaquin/Probate/ -
Opposition To Ex Parte Application
California/Local County/San Joaquin/Probate/ -
Notice Of Remote Appearance
California/Local County/San Joaquin/Probate/ -
Attachment To Declaration Re Notice Of Ex Parte Application
California/Local County/San Joaquin/Probate/
Form Preview
Contact Us
Success: Your message was sent.
Thank you!




