Last updated: 5/12/2023
Motion For Relief Due To Discrimination {L-2248}
Start Your Free Trial $ 14.00What you get:
- Instant access to fillable Microsoft Word or PDF forms.
- Minimize the risk of using outdated forms and eliminate rejected fillings.
- Largest forms database in the USA with more than 80,000 federal, state and agency forms.
- Download, edit, auto-fill multiple forms at once in MS Word using our Forms Workflow Ribbon
- Trusted by 1,000s of Attorneys and Legal Professionals
Description
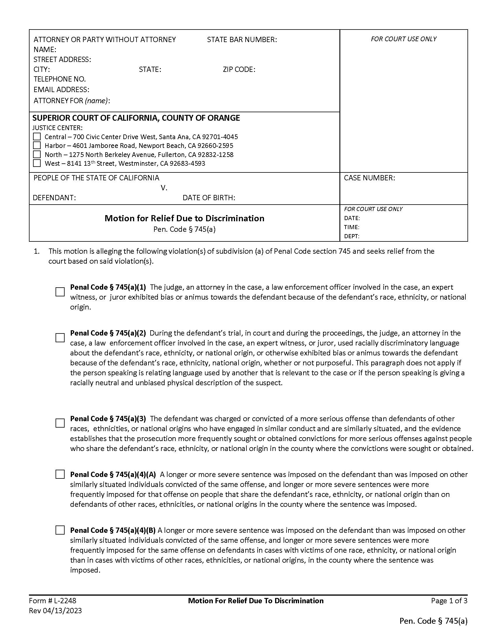
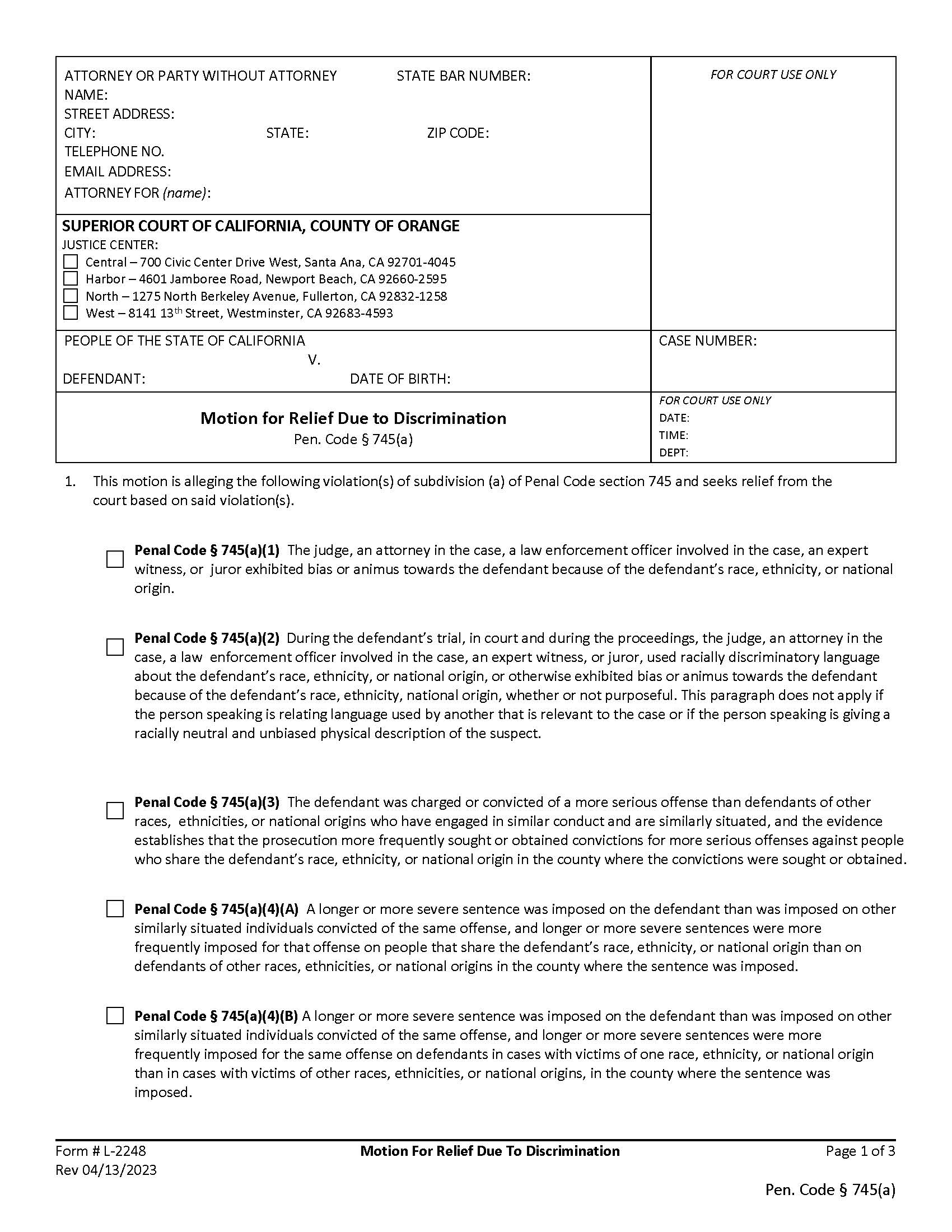
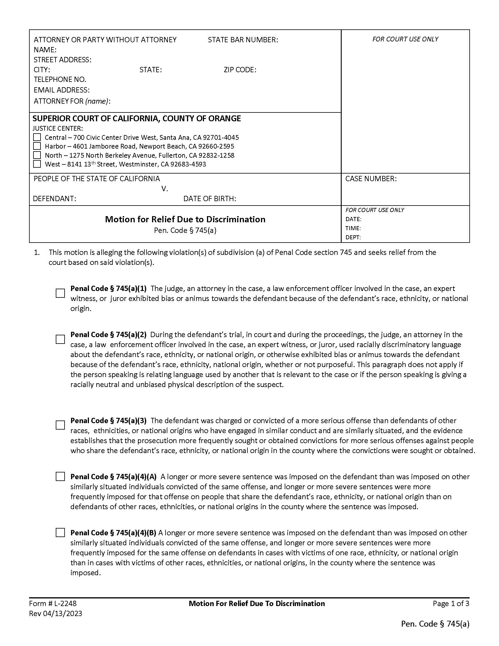
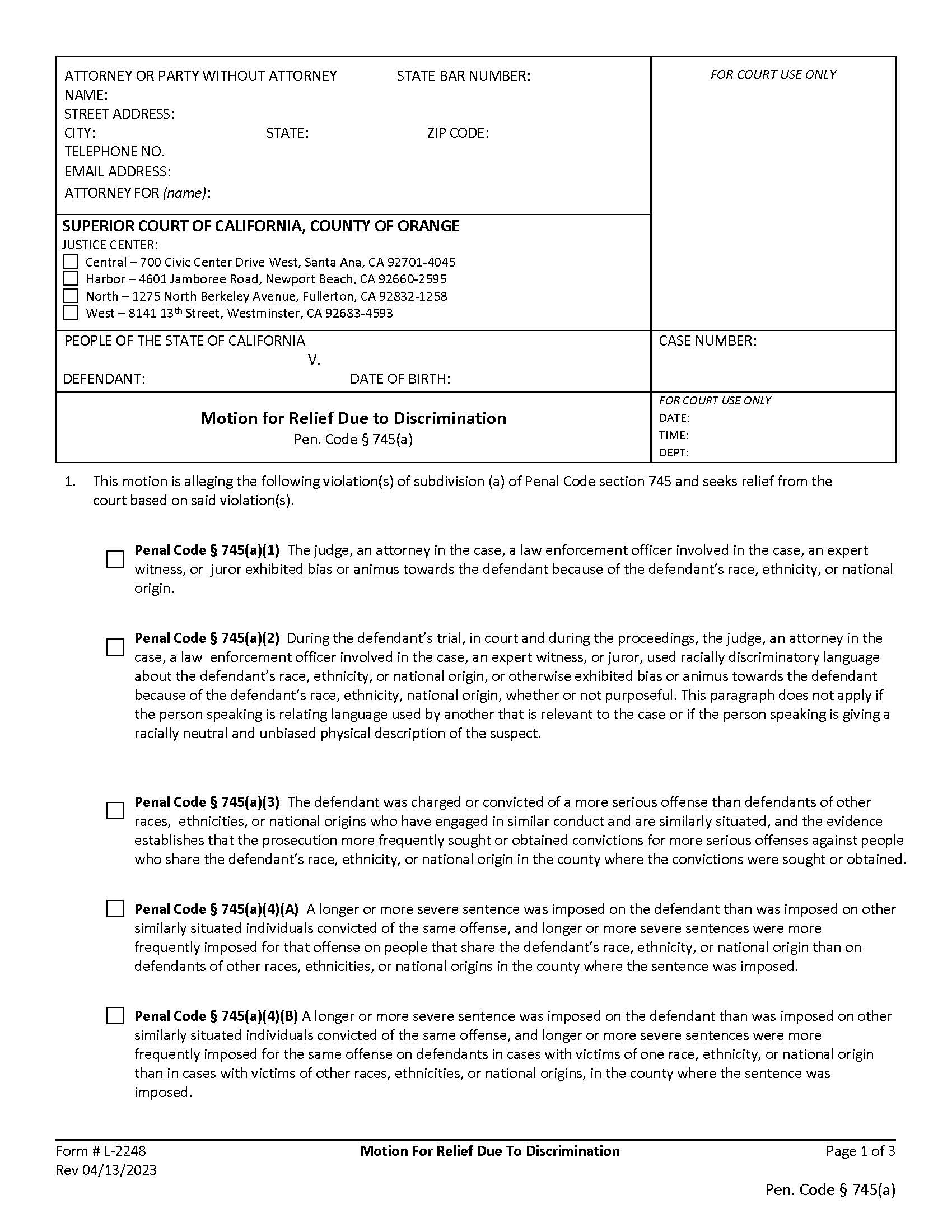
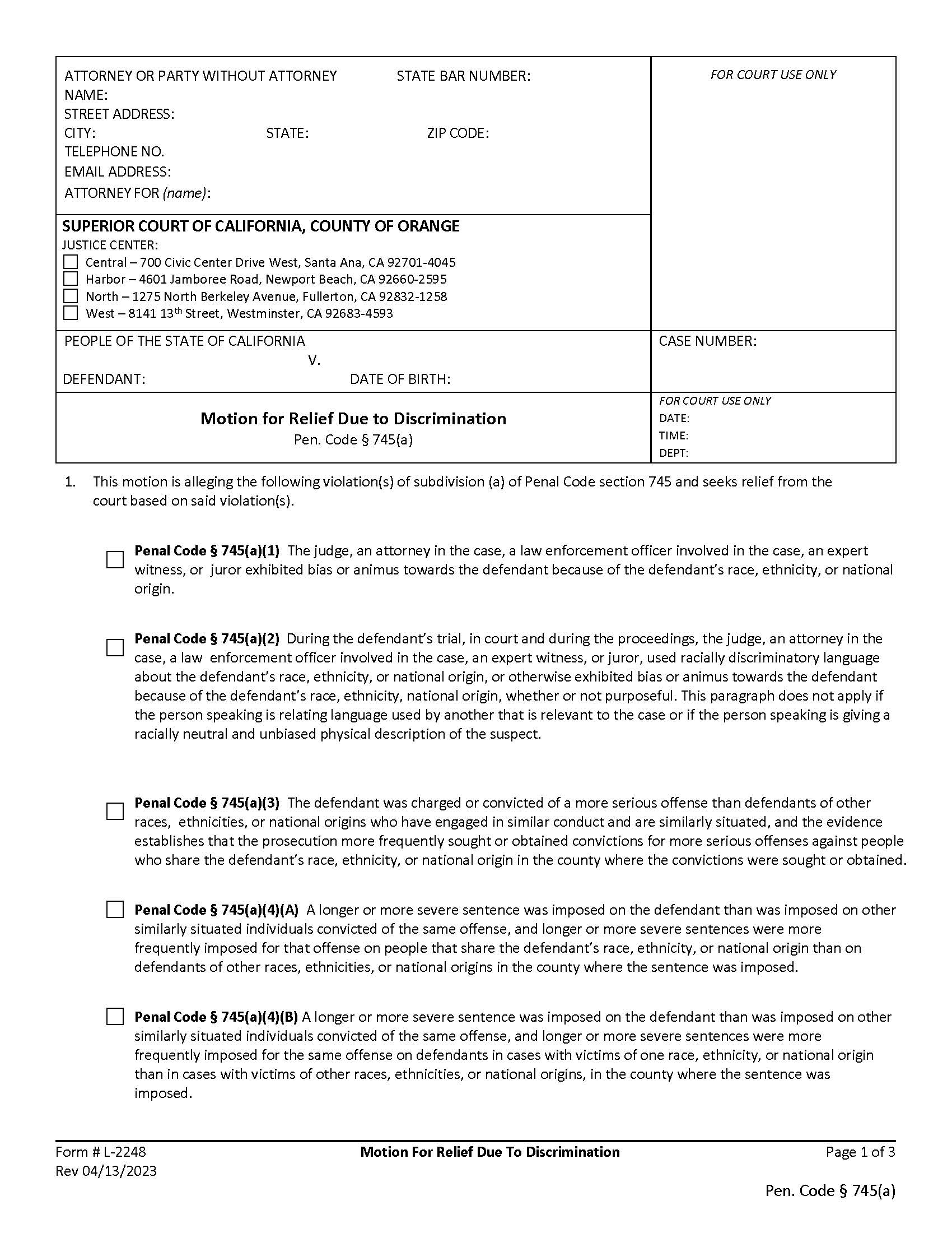
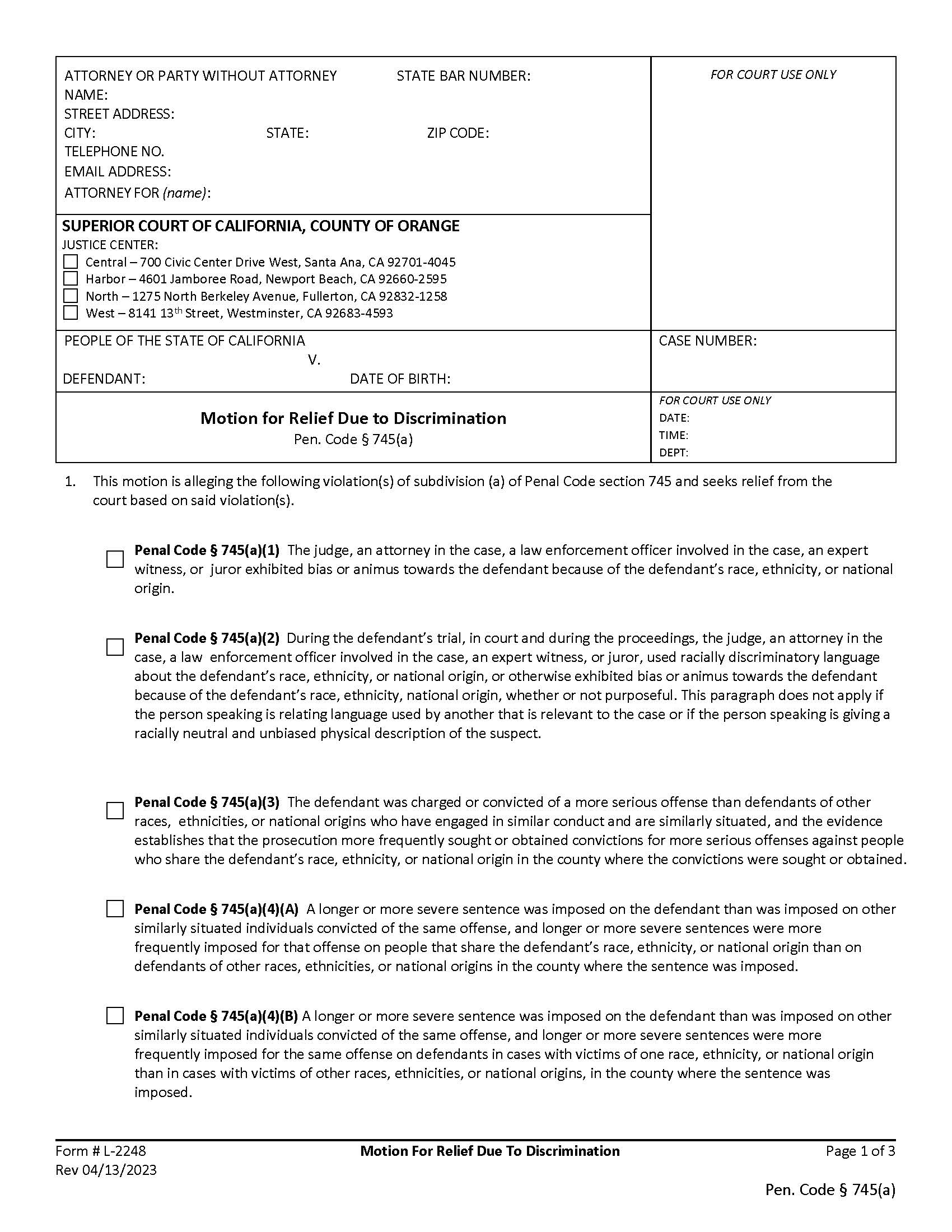
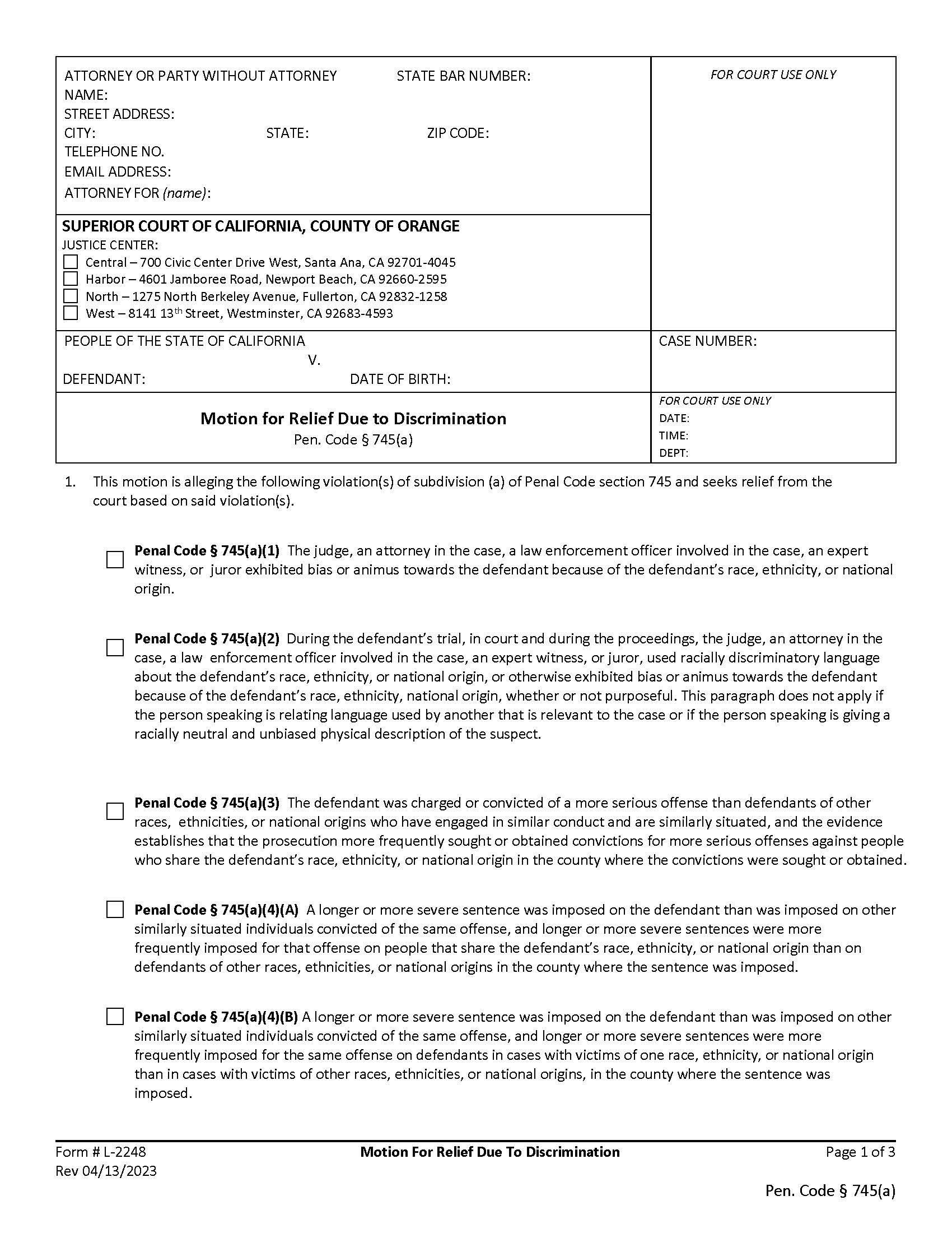
L-2248 - MOTION FOR RELIEF DUE TO DISCRIMINATION. This form is used in the Superior Court of California, County of Orange. It is filed by the defendant in a criminal case and alleges violations of Penal Code section 745. The form allows the defendant to request relief from the court based on the alleged violations. The motion can be made under different subsections of Penal Code section 745, depending on the specific violation being claimed. The form includes sections where the defendant or their attorney can provide supporting facts for the motion and describe the alleged violations. They can also request specific types of records or information that are relevant to the potential violation and are in the possession or control of the state or the court. Additionally, the form allows the moving party to request that the hearing on the motion be held without their personal presence, providing reasons for this request. The form concludes with a space for the date, the printed name, and the signature of the moving party or their attorney. Pen. Code § 745(a). www.FormsWorkflow.com
Related forms
-
Order Withdrawing Lien On Real Property Posted As Bail
California/Local County/Orange/Criminal/ -
Deed Of Full Reconveyance
California/Local County/Orange/Criminal/ -
Affidavit For Subpoena Duces Tecum (Criminal Or Juvenile)
California/Local County/Orange/Criminal/ -
Petition For Dismissal Under Penal Code 1210.1(d) And Notice Of Hearing
California/Local County/Orange/Criminal/ -
Proof Of Service (Petition For Dismissal Under Penal Code 1210.1(d) And Notice Of Hearing)
California/Local County/Orange/Criminal/ -
Petition For Modification Of Protective Order In Criminal Proceeding Domestic Violence Case And Request For Hearing
California/Local County/Orange/Criminal/ -
Petition Declaration And Order For Return Of Property
California/Local County/Orange/Criminal/ -
Petition For Modification Of Sentence
California/Local County/Orange/Criminal/ -
Petition For Modification-Termination Of Probation Notice Of Hearing And Court Order
California/Local County/Orange/Criminal/ -
Authorization To Apply Third Party Bail
California/Local County/Orange/Criminal/ -
Instructions For Undertaking (Deposit Of Real Property As Bail)
California/Local County/Orange/Criminal/ -
Petition And Order To Seal And Destroy Arrest Records
California/Local County/Orange/Criminal/ -
Sentence Recommendation For Terminal Disposition
California/Local County/Orange/Criminal/ -
Undertaking And Affidavit For Undertaking (Deposit Of Real Property As Bail)
California/Local County/Orange/Criminal/ -
Petition To Modify Or Order Victim Restitution And Notice Of Hearing
California/Local County/Orange/Criminal/ -
Motion For Continuance (Penal Code Section 1050)
California/Local County/Orange/Criminal/ -
Informal Arraignment By Attorney
California/Local County/Orange/Criminal/ -
Request For Continuance-Misdemeanor
California/Local County/Orange/Criminal/ -
Certificate Of Rehabilitation
California/Local County/Orange/Criminal/ -
Order Under Penal Code 1210.1(e)(1)
California/Local County/Orange/Criminal/ -
Consent For Disclosure Of Confidential Information For Substance Abuse Treatment
California/Local County/Orange/Criminal/ -
Order For Civilian Clothing Exchange
California/Local County/Orange/Criminal/ -
Petition For Resentence Or Reclassification
California/Local County/Orange/Criminal/ -
Petition For Writ Of Habeas Corpus (Prop 47 Revision)
California/Local County/Orange/Criminal/ -
Petition For Certificate Of Rehabilitation And Pardon
California/Local County/Orange/Criminal/ -
Order Granting Removal Of Defendent-Youth To Juvenile Court
California/Local County/Orange/Criminal/ -
Order For Dismissal Pursuant To Penal Code 1203.43
California/Local County/Orange/Criminal/ -
Order To Seal Court-Arrest Records
California/Local County/Orange/Criminal/ -
Stipulation And Order For Exhibits (Criminal)
California/Local County/Orange/Criminal/ -
Order After Petition For Resentence Or Reclassification
California/Local County/Orange/Criminal/ -
Request For Return Of Criminal Exhibits
California/2 Local County/Orange/Criminal/ -
Order For Transfer Pursuant To Penal Code 1203.9
California/2 Local County/Orange/Criminal/ -
Waiver Of Defendents Physical Or Remote Presence
California/Local County/Orange/Criminal/ -
Petition For Recall And Resentencing Notice Of Hearing And Court Order
California/Local County/Orange/Criminal/ -
Sentence Recommendation Misdemeanor (Terminal)
California/Local County/Orange/Criminal/ -
Petition For Relief (Inmates Trained As Fire Fighters)
California/2 Local County/Orange/Criminal/ -
Certification Of Participation In The California Conservation Camp Or Institutional Firehouse Program
California/Local County/Orange/Criminal/ -
Petition For Dismissal Pursuant To Penal Code 1203.43
California/Local County/Orange/Criminal/ -
Motion For Relief Due To Discrimination
California/2 Local County/Orange/Criminal/ -
Petition For Recall And Resentencing-Dismissal And Sealing Notice Of Hearing
California/Local County/Orange/Criminal/ -
Order For Relief Under Penal Code 1203.4 1203.4a
California/Local County/Orange/Criminal/ -
Petition For Relief Under Penal Code 1203.4-1203.4a
California/Local County/Orange/Criminal/ -
Petition To Seal Court-Arrest Records
California/Local County/Orange/Criminal/ -
Petition Or Application Under HS 11361.8 (Proposition 64)
California/Local County/Orange/Criminal/ -
TAHL-Felony Prior Page
California/Local County/Orange/Criminal/ -
Notice Of Filing Of Petition For Certificate Of Rehabilitation And Pardon
California/Local County/Orange/Criminal/ -
Proof Of Service (Petition For Rehabilitation And Pardon)
California/Local County/Orange/Criminal/ -
TAHL-Vehicle Misdemeanor Plea Form
California/Local County/Orange/Criminal/ -
TAHL-Domestic Violence Misdemeanor Plea Form
California/Local County/Orange/Criminal/ -
TAHL-General Misdemeanor Plea Form
California/Local County/Orange/Criminal/ -
Sentence Recommendation Misdemeanor (Probation)
California/Local County/Orange/Criminal/ -
TAHL-Felony Pages 1 Thru 6
California/Local County/Orange/Criminal/ -
TAHL-Felony Terms And Conditions
California/Local County/Orange/Criminal/
Form Preview
Contact Us
Success: Your message was sent.
Thank you!




