Last updated: 6/29/2023
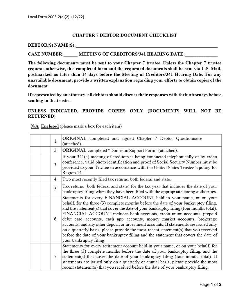
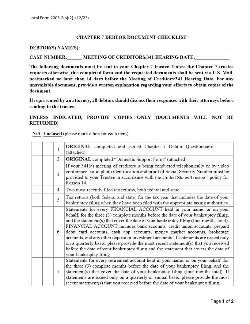
Chapter 7 Debtor Document Checklist {2003-2(a)(2)}
Start Your Free Trial $ 6.00What you get:
- Instant access to fillable Microsoft Word or PDF forms.
- Minimize the risk of using outdated forms and eliminate rejected fillings.
- Largest forms database in the USA with more than 80,000 federal, state and agency forms.
- Download, edit, auto-fill multiple forms at once in MS Word using our Forms Workflow Ribbon
- Trusted by 1,000s of Attorneys and Legal Professionals
Description
azb_30111 (4/17) Debtor: Joint Debtor: (if any) Case No.: Chapter: APPLICATION FOR UNCLAIMED FUNDS 1. Claim Information Application is hereby made for disbursement of the following previously unclaimed funds on deposit with the court for the benefit of the claimant named below. Amount: Claimant's Name: Claimant's Address: (at time claim was made) *Provide documentation that Claimant resided or did business at this address. Claimant's Current Address: (if different from above) Last 4 digits of Claimant's SSN or Complete EIN 2. Applicant Information The applicant is: The individual claimant named above. Photo identification is attached. An individual authorized to act on behalf of the corporation, partnership, limited liability company, or other artificial entity named above. Documentation showing authority to make this application is attached. The legal representative of the claimant named above. An original, notarized power of attorney is attached, or, if the claimant is deceased, a certified copy of a letter of administration or probated will is attached. The successor in interest to the claimant named above. Documentation showing entitlement to the funds through sale, amendment, merger, or dissolution is attached. The payee's taxpayer information (Form W9) is attached. No payment will be made unless a completed and signed Form W9 is submitted with the application. American LegalNet, Inc. www.FormsWorkFlow.com 3. Service on United States Attorney The undersigned understands that a copy of this application and supporting documentation must be sent to the United States Attorney at the following address: Office of the United States Attorney District of Arizona 2 Renaissance Square 40 North Central Avenue, Suite 1200 Phoenix, AZ 85004 4. Declaration The undersigned declares, under penalty of perjury, that the information contained in this application and any accompanying documentation is true and correct. I also understand that, pursuant to 18 U.S.C. § 152, I may be fined not more than $250,000, or imprisoned not more than 5 years if I have knowingly and fraudulently made any false statements in this document or provided false documentation as part of this application. ___________________________ ___________________________ ___________________________ Date Signature of Applicant Printed Name of Applicant ___________________________ ___________________________ ___________________________ Date Signature of Applicant Printed Name of Applicant Phone: _____________________ Address: __________________________________________________ Email: _________________________ __________________________________________________ __________________________________________________ 5. Notarization STATE OF ____________________________, COUNTY OF __________________________________________ This 2page Application for Unclaimed Funds, dated ______________________, was subscribed and sworn to before me this ______ day of ______________, 20______ by ______________________________________, who signed above and is personally known to me (or proved to me on the basis of satisfactory evidence) to be the person whose name is subscribed to the within instrument. WITNESS my hand and official seal. (SEAL) ___________________________________ Notary Public My commission expires on: _________________________ File this application with the court at the following address: UNITED STATES BANKRUPTCY COURT DISTRICT OF ARIZONA 230 NORTH FIRST AVENUE #101 PHOENIX AZ 85003 American LegalNet, Inc. www.FormsWorkFlow.com





