Last updated: 12/20/2021
Additional Minors-Attachment A To Order {FAM181}
Start Your Free Trial $ 13.99What you get:
- Instant access to fillable Microsoft Word or PDF forms.
- Minimize the risk of using outdated forms and eliminate rejected fillings.
- Largest forms database in the USA with more than 80,000 federal, state and agency forms.
- Download, edit, auto-fill multiple forms at once in MS Word using our Forms Workflow Ribbon
- Trusted by 1,000s of Attorneys and Legal Professionals
Description
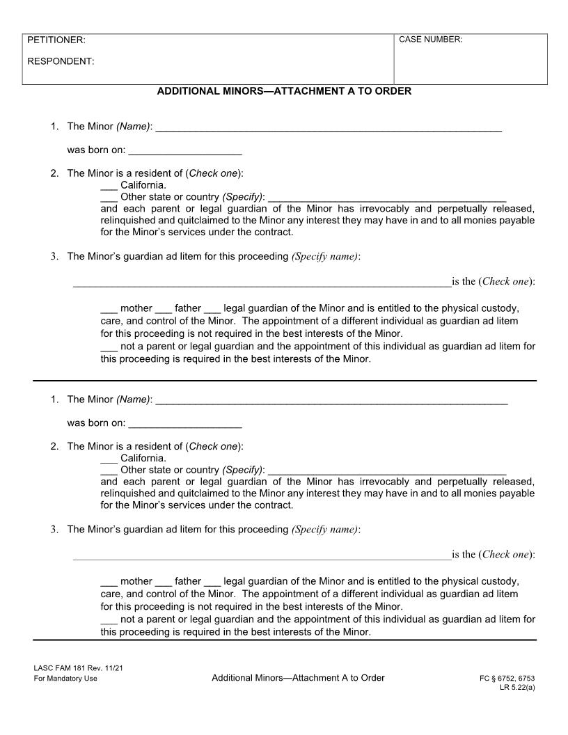
LASC FAM 181 - ADDITIONAL MINORS—ATTACHMENT A TO ORDER. This is a Los Angeles Superior Court family law form used in proceedings for approval of a minor’s contract under Family Code §§ 6752–6753 and Local Rule 5.22(a). This attachment is filed with the court’s order when more than one minor is covered by the contract. The form requires identification of each additional minor (name and date of birth), confirmation of California residency (or other jurisdiction), and a declaration that each parent or legal guardian has irrevocably released any interest in the minor’s earnings under the contract. It also specifies the appointment and status of the guardian ad litem for each minor. For Mandatory Use. FC § 6752, 6753, LR 5.22(a). www.FormsWorkflow.com
Related forms
-
Order For Reimbursement Of Minors Counsel Fees (Family Law)
California/Local County/Los Angeles/Family Law/ -
Request For Trial Setting
California/Local County/Los Angeles/Family Law/ -
Application For Issuance Of Writ Of Possession-Sale-Execution
California/Local County/Los Angeles/Family Law/ -
Request For Default Setting (Domestic Relations And Branch District Civil Actions)
California/Local County/Los Angeles/Family Law/ -
Declaration Of Ex Parte Notice
California/Local County/Los Angeles/Family Law/ -
Long Cause Management Statement
California/Local County/Los Angeles/Family Law/ -
Notice Of Rejection Of Application And Order For Publication-Family Law
California/Local County/Los Angeles/Family Law/ -
Child Custody Information Form And Parent Questionnaire
California/Local County/Los Angeles/Family Law/ -
Stipulation And Order For Appointment And Payment Of Court Evaluator
California/Local County/Los Angeles/Family Law/ -
Declaration Regarding Notice And-Or Request For Waiver Of Notice
California/Local County/Los Angeles/Family Law/ -
Supplemental Information For Request For Restraining Order
California/Local County/Los Angeles/Family Law/ -
Voluntary Settlement Conference Setting
California/Local County/Los Angeles/Family Law/ -
Notice Of Termination Of Collaborative Law Case And Order
California/2 Local County/Los Angeles/Family Law/ -
Notice Of Stipulation To Collaborative Law Case And Order
California/2 Local County/Los Angeles/Family Law/ -
Family Court Services Mediation Intake Form
California/Local County/Los Angeles/Family Law/ -
Dedicated Trial Court Longer Cause Hearing-Trial Readiness Orders
California/2 Local County/Los Angeles/Family Law/ -
Stipulation And Order Appointing Parenting Plan Coordinator (L.A. Bar Association)
California/2 Local County/Los Angeles/Family Law/ -
Surrogacy Judgment Checklist
California/2 Local County/Los Angeles/Family Law/ -
Findings And Order After Hearing Pursuant To Family Code Section 3130-3134.5
California/2 Local County/Los Angeles/Family Law/ -
Post-Judgment Request For Order Case Management Statement
California/Local County/Los Angeles/Family Law/ -
Divorce Checklist Get Ready For The Family Centered Case Resolution Conference
California/Local County/Los Angeles/Family Law/ -
Mutual Settlement Agreement
California/2 Local County/Los Angeles/Family Law/ -
Request To Continue Hearing Date For A Request For Order Or Motion
California/2 Local County/Los Angeles/Family Law/ -
Additional Minors-Attachment B To Petition
California/Local County/Los Angeles/Family Law/ -
Waiver Of Notice-Attachment D To Petition
California/Local County/Los Angeles/Family Law/ -
Additional Contracts-Attachment E To Petition
California/Local County/Los Angeles/Family Law/ -
Additional Facts-Attacment G To Petition
California/Local County/Los Angeles/Family Law/ -
Additional Minors-Attachment A To Order
California/Local County/Los Angeles/Family Law/ -
Additional Contracts-Attachment B To Order
California/Local County/Los Angeles/Family Law/ -
Family Court Services Confidential Mediation Form (English)
California/2 Local County/Los Angeles/Family Law/ -
Stipulation-Settlement Agreement
California/2 Local County/Los Angeles/Family Law/ -
Parental Quitclaim-Attachment C To Petition
California/Local County/Los Angeles/Family Law/ -
Advisement Of Rights-Authority Of Commissioners Under Family Code 4251(b)
California/2 Local County/Los Angeles/Family Law/ -
Stipulation-Settlement Agreement-Part C
California/Local County/Los Angeles/Family Law/ -
Stipulation-Settlement Agreement
California/Local County/Los Angeles/Family Law/ -
Family Law Case Cover Sheet Certificate Of Grounds For Assignment To District
California/Local County/Los Angeles/Family Law/ -
Parentage Action Request To Inspect And Copy
California/Local County/Los Angeles/Family Law/ -
Parentage Judgment Reject Sheet
California/Local County/Los Angeles/Family Law/ -
Judgment Reject Sheet
California/Local County/Los Angeles/Family Law/ -
Court Order For Family-Centered Case Resolution Conference (FCCRC)
California/2 Local County/Los Angeles/Family Law/ -
Court Order To Share Financial Information For Divorce Legal Separation Or Nullity Cases
California/Local County/Los Angeles/Family Law/ -
Court Order For Family-Centered Case Resolution Conference (FCCRC) Parentage Cases
California/Local County/Los Angeles/Family Law/ -
Declaration Of Lender-Attachment F To Petition
California/Local County/Los Angeles/Family Law/ -
Restraining Order Notice Pursuant To Family Code 6306
California/Local County/Los Angeles/Family Law/ -
Court Order For Post-Judgment Requests For Orders
California/Local County/Los Angeles/Family Law/ -
Parenting Plan Assessment Parent Questionnaire
California/Local County/Los Angeles/Family Law/ -
Order Approving Contracts Of Minor
California/Local County/Los Angeles/Family Law/ -
Petition To Approve Contract(s) Of Minor(s)
California/Local County/Los Angeles/Family Law/ -
Declaration Of Foreign Service And Proof Of Service
California/Local County/Los Angeles/Family Law/ -
Gestational Surrogacy Cover Sheet
California/Local County/Los Angeles/Family Law/ -
Stipulation And Order For Appointment Of Privately Compensated Temporary Judge
California/2 Local County/Los Angeles/Family Law/ -
Notice And Order Of Case Reassignment
California/Local County/Los Angeles/Family Law/ -
Department 2 Family Code Section 217 Hearing-Trial Setting Orders
California/2 Local County/Los Angeles/Family Law/ -
Department 2 Longer Cause Hearing-Trial Setting Orders
California/2 Local County/Los Angeles/Family Law/ -
Briefing Schedule Order
California/Local County/Los Angeles/Family Law/ -
Request And Order For Release Of Confidential Marriage Record
California/2 Local County/Los Angeles/Family Law/ -
Authorization For Release Of Information
California/Local County/Los Angeles/Family Law/
Form Preview
Contact Us
Success: Your message was sent.
Thank you!




