Last updated: 3/11/2021
Additional Conditions Of Release {AO 199B}
Start Your Free Trial $ 12.99What you get:
- Instant access to fillable Microsoft Word or PDF forms.
- Minimize the risk of using outdated forms and eliminate rejected fillings.
- Largest forms database in the USA with more than 80,000 federal, state and agency forms.
- Download, edit, auto-fill multiple forms at once in MS Word using our Forms Workflow Ribbon
- Trusted by 1,000s of Attorneys and Legal Professionals
Description
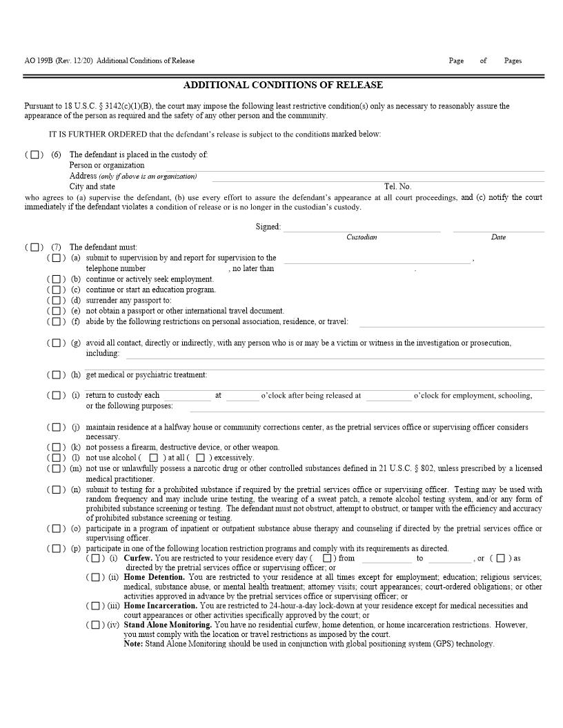
AO 199B (Rev. 12/11) Additional Conditions of Release Page of Pages ADDITIONAL CONDITIONS OF RELEASE IT IS FURTHER ORDERED that the defendant's release is subject to the conditions marked below: The defendant is placed in the custody of: Person or organization Address (only if above is an organization) City and state Tel. No. who agrees to (a) supervise the defendant, (b) use every effort to assure the defendant's appearance at all court proceedings, and (c) notify the court immediately if the defendant violates a condition of release or is no longer in the custodian's custody. Signed: Custodian Date ( ) (6) ( ) ( ( ( ( ( ( ( (7) ) ) ) ) ) ) The defendant must: (a) submit to supervision by and report for supervision to the telephone number , no later than (b) continue or actively seek employment. (c) continue or start an education program. (d) surrender any passport to: (e) not obtain a passport or other international travel document. (f) abide by the following restrictions on personal association, residence, or travel: , . ) (g) avoid all contact, directly or indirectly, with any person who is or may be a victim or witness in the investigation or prosecution, including: ) (h) get medical or psychiatric treatment: ) (i) return to custody each or the following purposes: at o'clock after being released at o'clock for employment, schooling, ( ( ( ( ( ( ( ( ( ( ) (j) maintain residence at a halfway house or community corrections center, as the pretrial services office or supervising officer considers necessary. ) (k) not possess a firearm, destructive device, or other weapon. ) (l) not use alcohol ( ) at all ( ) excessively. ) (m) not use or unlawfully possess a narcotic drug or other controlled substances defined in 21 U.S.C. § 802, unless prescribed by a licensed medical practitioner. ) (n) submit to testing for a prohibited substance if required by the pretrial services office or supervising officer. Testing may be used with random frequency and may include urine testing, the wearing of a sweat patch, a remote alcohol testing system, and/or any form of prohibited substance screening or testing. The defendant must not obstruct, attempt to obstruct, or tamper with the efficiency and accuracy of prohibited substance screening or testing. ) (o) participate in a program of inpatient or outpatient substance abuse therapy and counseling if directed by the pretrial services office or supervising officer. ) (p) participate in one of the following location restriction programs and comply with its requirements as directed. ( ) (i) Curfew. You are restricted to your residence every day ( ) from to , or ( ) as directed by the pretrial services office or supervising officer; or ( ) (ii) Home Detention. You are restricted to your residence at all times except for employment; education; religious services; medical, substance abuse, or mental health treatment; attorney visits; court appearances; court-ordered obligations; or other activities approved in advance by the pretrial services office or supervising officer; or ( ) (iii) Home Incarceration. You are restricted to 24-hour-a-day lock-down at your residence except for medical necessities and court appearances or other activities specifically approved by the court. ) (q) submit to location monitoring as directed by the pretrial services office or supervising officer and comply with all of the program requirements and instructions provided. ( ) You must pay all or part of the cost of the program based on your ability to pay as determined by the pretrial services office or supervising officer. ) (r) report as soon as possible, to the pretrial services office or supervising officer, every contact with law enforcement personnel, including arrests, questioning, or traffic stops. ) (s) ( ( American LegalNet, Inc. www.FormsWorkFlow.com





