Last updated: 1/13/2021
Riverside County Attachment To Spousal Or Domestic Partner Petition (Form DE-221) {RI-PR100}
Start Your Free Trial $ 14.00What you get:
- Instant access to fillable Microsoft Word or PDF forms.
- Minimize the risk of using outdated forms and eliminate rejected fillings.
- Largest forms database in the USA with more than 80,000 federal, state and agency forms.
- Download, edit, auto-fill multiple forms at once in MS Word using our Forms Workflow Ribbon
- Trusted by 1,000s of Attorneys and Legal Professionals
Description
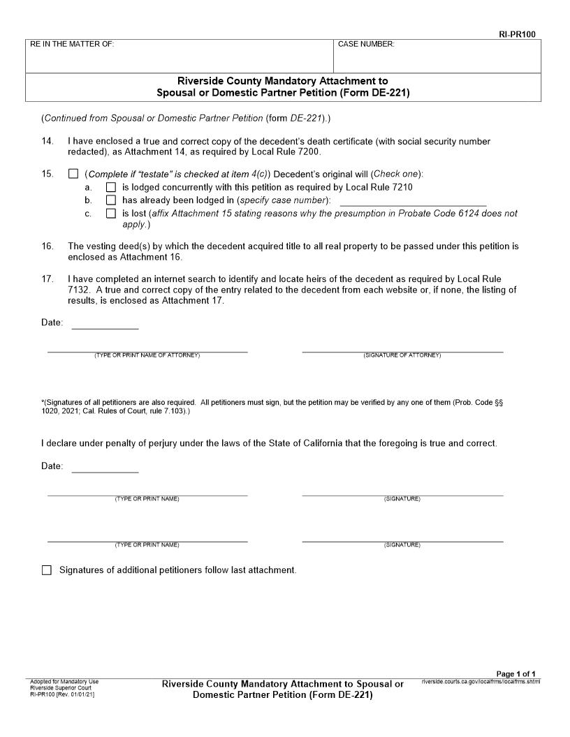
RI-PR100 - RIVERSIDE COUNTY MANDATORY ATTACHMENT TO SPOUSAL OR DOMESTIC PARTNER PETITION (Form DE-221). This is a local probate form filed with Judicial Council Form DE-221. It is used when a surviving spouse or registered domestic partner petitions the court to determine property passing to them without full probate administration. This attachment provides additional information required by Riverside Superior Court to support the petition, such as details about the decedent, the nature of the property, and the legal basis for the transfer. RI-PR100 supplements the statewide DE-221 form and ensures compliance with local probate procedures. It must be submitted together with the Spousal or Domestic Partner Property Petition when filing in Riverside County. Adopted for Mandatory Use. www.FormsWorkflow.com
Related forms
-
Additional Provisions Physical Custody Attachment
California/Local County/Riverside/Probate/ -
Child Abduction Prevention Order Attachment
California/Local County/Riverside/Probate/ -
Childrens Holiday Schedule Attachment
California/Local County/Riverside/Probate/ -
Probate Supervised Visitation Order
California/Local County/Riverside/Probate/ -
Verification
California/Local County/Riverside/Probate/ -
Attachment For Final Accounts
California/Local County/Riverside/Probate/ -
Attachment To Letters Of Conservatorship
California/Local County/Riverside/Probate/ -
Attachment Page (Will Contest And Objection To Probate)
California/Local County/Riverside/Probate/ -
Attachments 1h 1i 1j To JC Form GC-310
California/Local County/Riverside/Probate/ -
Attachments 31 32 33 To JC Form GC-340-Attachments 3g 3h To JC Form GC-350
California/Local County/Riverside/Probate/ -
Order For Evaluation Or Detention
California/Local County/Riverside/Probate/ -
Petition For Evaluation
California/Local County/Riverside/Probate/ -
Riverside County Attachment To Petition To Determine Succession Of Real Property (Form DE-310)
California/2 Local County/Riverside/Probate/ -
Riverside County Attachment To Spousal Or Domestic Partner Petition (Form DE-221)
California/2 Local County/Riverside/Probate/ -
Child Custody Recommending Counseling Questionnaire
California/Local County/Riverside/Probate/ -
Declaration In Support Of Order Dispensing With Accounting
California/Local County/Riverside/Probate/ -
Order Granting Report On Status Of Administration
California/Local County/Riverside/Probate/ -
Probate Investigators Referral Report
California/Local County/Riverside/Probate/ -
Confidential Birth Certificate Cover Sheet
California/Local County/Riverside/Probate/ -
Riverside County Attachment To Form GC-010
California/Local County/Riverside/Probate/ -
Riverside County Mandatory Attachment To Form DE-11
California/Local County/Riverside/Probate/ -
Appointment Termination Or Resignation Of Supporter
California/Local County/Riverside/Probate/ -
DPSS Guardianship Information Sheet
California/Local County/Riverside/Probate/ -
Record Check Request
California/Local County/Riverside/Probate/ -
Waiver Of Accounting
California/Local County/Riverside/Probate/ -
Authorization To Apply Deposit In Lieu Of Bond
California/Local County/Riverside/Probate/ -
Acknowledgment Of Receipt And Waiver Of Notice
California/Local County/Riverside/Probate/ -
Employment Verification Consent
California/Local County/Riverside/Probate/ -
Petition For Small Estate Set-Aside
California/Local County/Riverside/Probate/ -
Order Terminating Conservatorship
California/Local County/Riverside/Probate/ -
Consent To Administer Property Passing To Surviving Spouse Or Domestic Partner
California/Local County/Riverside/Probate/ -
Declaration Of Diligent Search
California/Local County/Riverside/Probate/ -
First And Final Report Of Personal Representative
California/Local County/Riverside/Probate/ -
Order On First And Final Report Of Personal Representative
California/Local County/Riverside/Probate/ -
Bid In Open Court On Sale Of Real Property
California/Local County/Riverside/Probate/ -
Objection
California/Local County/Riverside/Probate/ -
Visitation Order
California/Local County/Riverside/Probate/ -
Order On Petition For Settlement (Conservatorships-Guardianships-Trusts)
California/Local County/Riverside/Probate/ -
Notice To Department Of Health Care Services
California/Local County/Riverside/Probate/ -
Petition For Visitation
California/Local County/Riverside/Probate/ -
Notice To Franchise Tax Board
California/Local County/Riverside/Probate/ -
Notice To Victim Compensation And Government Claims Board
California/Local County/Riverside/Probate/ -
Confidential Cohabitant Screening Attachment (Confidential Guardianship Status Report (Form GC-251))
California/Local County/Riverside/Probate/ -
Petition For Orders Orders Concerning Power Of Attorney
California/Local County/Riverside/Probate/ -
Orders Concerning Power Of Attorney
California/Local County/Riverside/Probate/ -
Receipt For Will
California/Local County/Riverside/Probate/ -
Petition For Termination Of Conservatorship
California/Local County/Riverside/Probate/ -
Order For Conservatorship (LPS)
California/Local County/Riverside/Probate/ -
Certificate Of Trustee
California/Local County/Riverside/Probate/ -
Petition For Termination Of Proceedings And Discharge
California/Local County/Riverside/Probate/ -
Petition Regarding Capacity To Consent To Or Refuse Anitipsychotic Medication
California/Local County/Riverside/Probate/ -
Notice To Public Entities
California/Local County/Riverside/Probate/ -
Order For Termination Of Proceedings And Discharge
California/Local County/Riverside/Probate/ -
Citation For Conservatorship (LPS)
California/Local County/Riverside/Probate/ -
Trust Documents Cover Sheet (Confidential)
California/Local County/Riverside/Probate/ -
Financial Document(s) Cover Sheet
California/Local County/Riverside/Probate/ -
Will Contest And Objection To Probate
California/Local County/Riverside/Probate/ -
Declaration Of Completion Of Video Orientation For Non-Professional Conservators
California/Local County/Riverside/Probate/ -
Notice Of Refusal To Petition For Probate Of Will Or Codicil
California/Local County/Riverside/Probate/ -
Certificate Of Assignment (Probate)
California/Local County/Riverside/Probate/ -
Financial Statement And Notice (Probate)
California/Local County/Riverside/Probate/ -
Petition For Reappointment As Conservator
California/Local County/Riverside/Probate/ -
Declaration Of Physician Or Psychologist Regarding Current Grave Disability
California/Local County/Riverside/Probate/ -
Declaration In Support Of Affidavit Re Real Property Of Small Value
California/Local County/Riverside/Probate/ -
Petition To Set Aside Exempt Property
California/Local County/Riverside/Probate/ -
Petition For Order Modifying Period Of Temporary Possession Of Family Dwelling
California/Local County/Riverside/Probate/ -
Petition To Set Aside Probate Homestead
California/Local County/Riverside/Probate/ -
Petition For Family Allowance
California/Local County/Riverside/Probate/ -
Supplement To Petition
California/Local County/Riverside/Probate/ -
Amendment To Petition For Probate
California/Local County/Riverside/Probate/ -
Declaration Re Family History Of Decedent
California/Local County/Riverside/Probate/ -
Declaration Re 24-Hour Telephonic Notice Of Temporary Conservatorship
California/Local County/Riverside/Probate/ -
Application For Order Appointing Probate Referee
California/2 Local County/Riverside/Probate/ -
Order Appointing Probate Referee
California/2 Local County/Riverside/Probate/ -
Petition For Settlement Of Final Account-Account Current
California/Local County/Riverside/Probate/ -
Petition To Determine Incapacity To Refuse Treatment With Antipsychotic Medication
California/Local County/Riverside/Probate/ -
Order Regarding Capacity To Consent To Or Refuse Antipsychotic Medication
California/Local County/Riverside/Probate/ -
Declaration Of Petitioner Regarding Conservatorship-Trust Trust Accounts Conservator As Trustee
California/Local County/Riverside/Probate/ -
Noncompliance With Firearms And Ammunition Order Or Warrant
California/Local County/Riverside/Probate/ -
Declaration Re Qualification To Serve As Appointed Counsel At Conservatees Request
California/2 Local County/Riverside/Probate/ -
Declaration For Collection Or Transfer Of Small Estate Without Administration
California/Local County/Riverside/Probate/ -
Report Of Status Of Administration
California/Local County/Riverside/Probate/ -
Personalized List Of Rights Proof Of Service
California/Local County/Riverside/Probate/ -
Personalized List Of Rights
California/Local County/Riverside/Probate/
Form Preview
Contact Us
Success: Your message was sent.
Thank you!




