Last updated: 10/19/2020
4404. Reasonable Efforts to Protect Secrecy
Start Your Free Trial $ 13.99What you get:
- Instant access to fillable Microsoft Word or PDF forms.
- Minimize the risk of using outdated forms and eliminate rejected fillings.
- Largest forms database in the USA with more than 80,000 federal, state and agency forms.
- Download, edit, auto-fill multiple forms at once in MS Word using our Forms Workflow Ribbon
- Trusted by 1,000s of Attorneys and Legal Professionals
Description
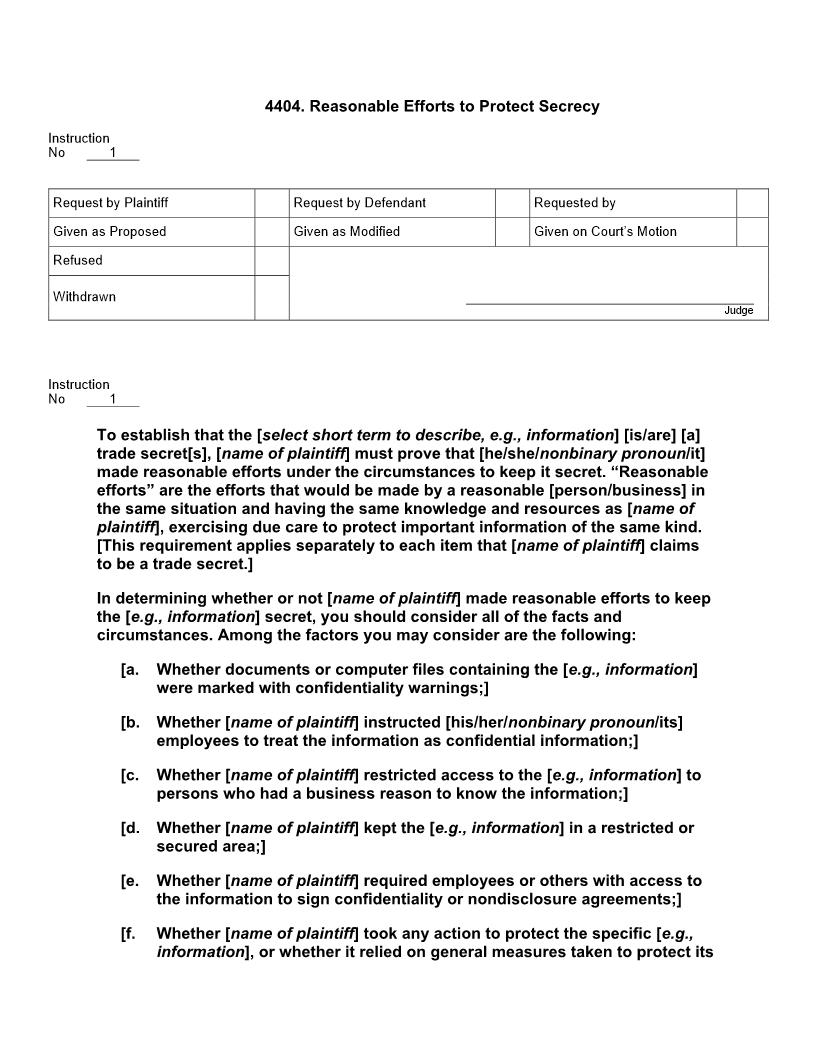
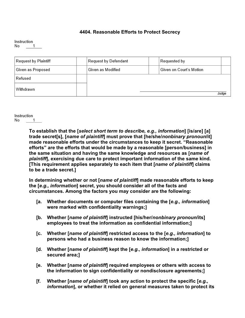
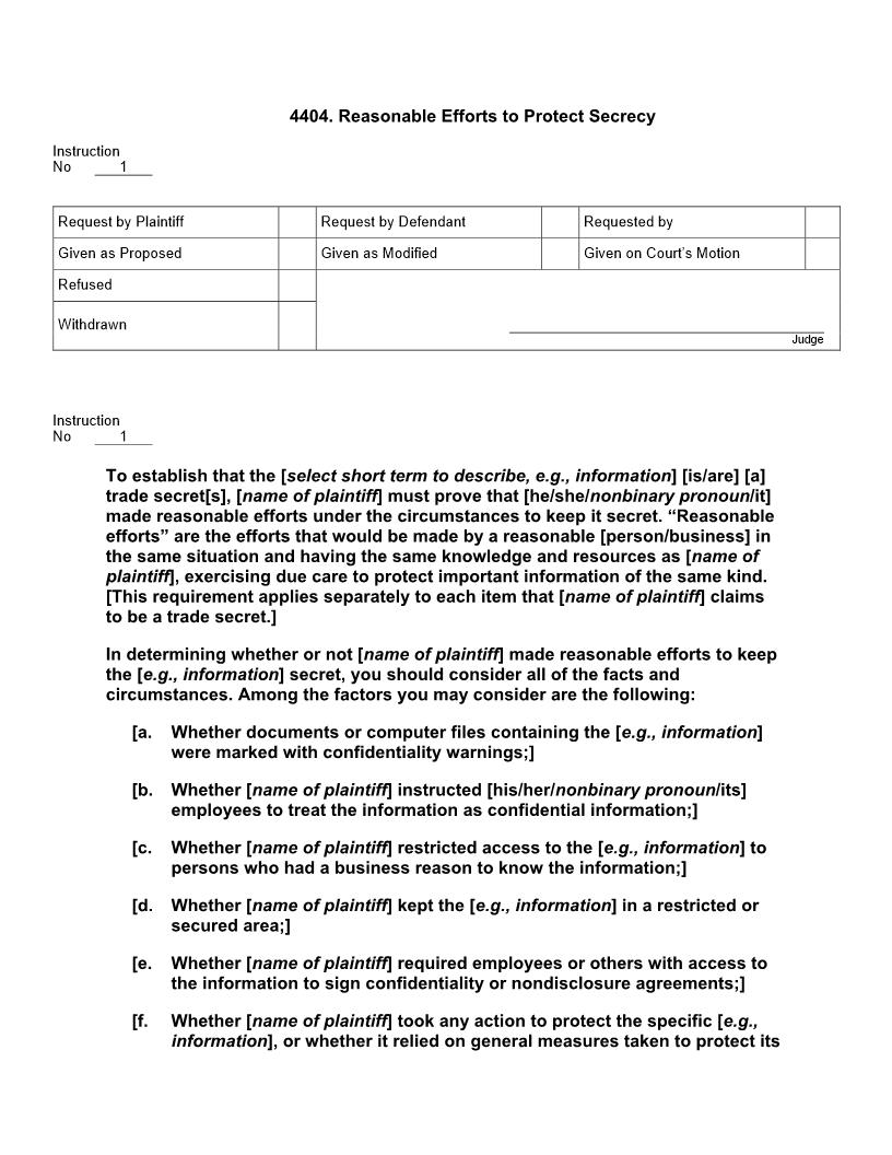
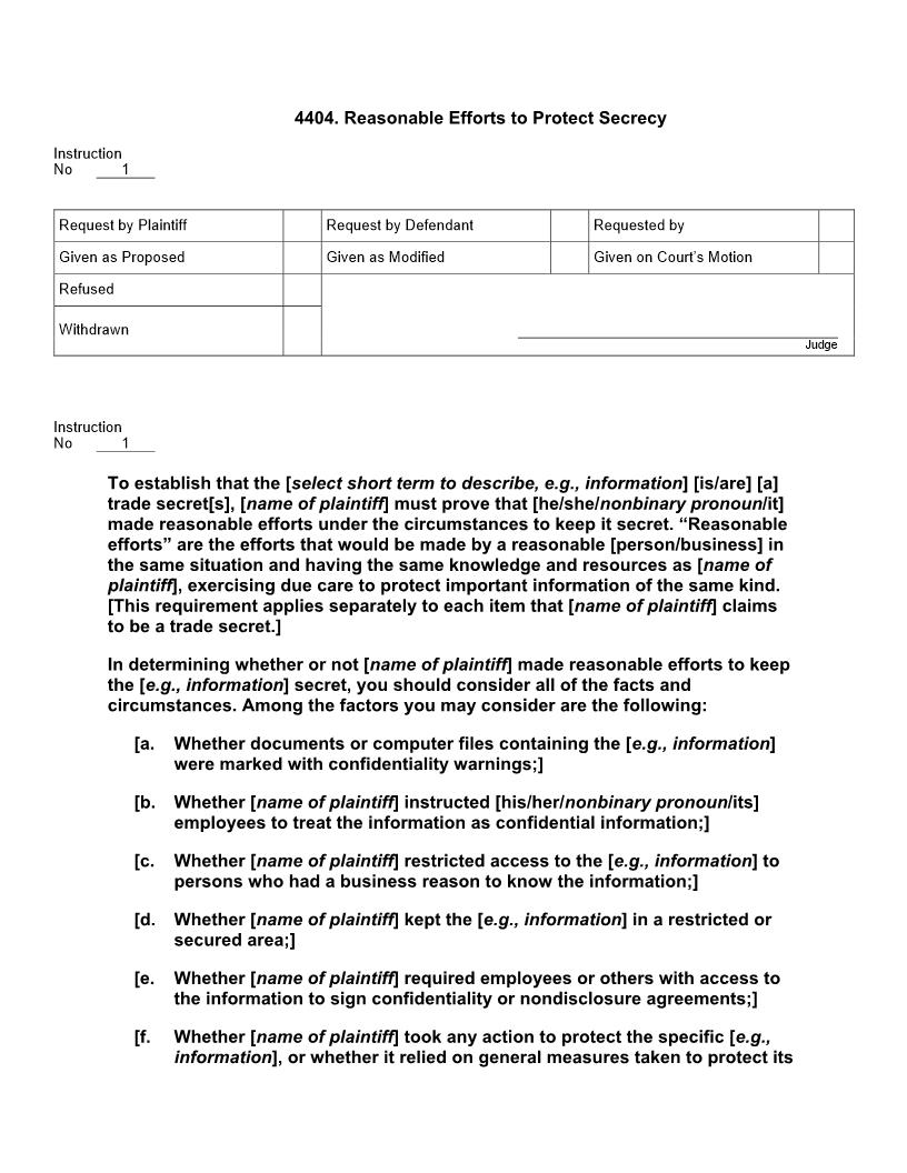
4404. Reasonable Efforts to Protect Secrecy Instruction No 1 Request by Plaintiff Given as Proposed Refused Withdrawn Request by Defendant Given as Modified Requested by Given on Court's Motion Judge Instruction No 1 To establish that the [select short term to describe, e.g., information] [is/are] [a] trade secret[s], [name of plaintiff] must prove that [he/ she/it] made reasonable efforts under the circumstances to keep it secret. "Reasonable efforts" are the efforts that would be made by a reasonable [person/business] in the same situation and having the same knowledge and resources as [name of plaintiff], exercising due care to protect important information of the same kind. [This requirement applies separately to each item that [name of plaintiff] claims to be a trade secret.] In determining whether or not [name of plaintiff] made reasonable efforts to keep the [e.g., information] secret, you should consider all of the facts and circumstances. Among the factors you may consider are the following: [a. [b. [c. [d. [e. [f. Whether documents or computer files containing the [e.g., information] were marked with confidentiality warnings;] Whether [name of plaintiff] instructed [his/her/its] employees to treat the information as confidential information;] Whether [name of plaintiff] restricted access to the [e.g., information] to persons who had a business reason to know the information;] Whether [name of plaintiff] kept the [e.g., information] in a restricted or secured area;] Whether [name of plaintiff] required employees or others with access to the information to sign confidentiality or nondisclosure agreements;] Whether [name of plaintiff] took any action to protect the specific [e.g., information], or whether it relied on general measures taken to protect its 4404. Reasonable Efforts to Protect Secrecy Instruction No 1 Request by Plaintiff Given as Proposed Refused Withdrawn Request by Defendant Given as Modified Requested by Given on Court's Motion Judge Instruction No 1 business information or assets;] [g. [h. [i. The extent to which any general measures taken by [name of plaintiff] would prevent the unauthorized disclosure of the [e.g., information];] Whether there were other reasonable measures available to [name of plaintiff] that [he/she/it] did not take;] Specify other factor(s).] The presence or absence of any one or more of these factors is not necessarily determinative. ________________________________________________________________________________ New December 2007





