Last updated: 6/14/2018
Order Extending Mechanics Lien (Sample And Form)
Start Your Free Trial $ 17.99What you get:
- Instant access to fillable Microsoft Word or PDF forms.
- Minimize the risk of using outdated forms and eliminate rejected fillings.
- Largest forms database in the USA with more than 80,000 federal, state and agency forms.
- Download, edit, auto-fill multiple forms at once in MS Word using our Forms Workflow Ribbon
- Trusted by 1,000s of Attorneys and Legal Professionals
Description
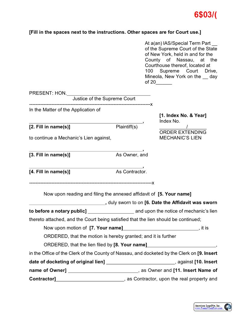
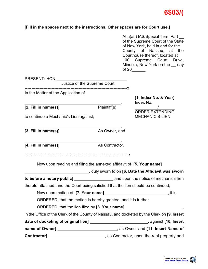
[Fill in the spaces next to the instructions. Other spaces are for Court use.]At a(an) lAS/Special Term Part of the Supreme Court of the Stateof New York, held in and for theCounty of Nassau, at theCourthouse thereof, located at100 Supreme Court Drive,Mineola, New York on the dayof 20 PRESENT: HON. Justice of the Supreme Court----------------------------------------------------------------------------xIn the Matter of the Application of[1. Index No. & Year] ,Index No. [2. Fill in name(s)] Plaintiff(s) / ORDER EXTENDING to continue a Mechanic222s Lien against,MECHANIC222S LIEN ,[3. Fill in name(s)] As Owner, and ,[4. Fill in name(s)] As Contractor.-----------------------------------------------------------------------------xNow upon reading and filing the annexed affidavit of [5. Your name] , duly sworn to on [6. Date the Affidavit was sworn to before a notary public] and upon the notice of mechanic222s lienthereto attached, and the Court being satisfied that the lien should be continued; Now upon motion of [7. Your name] , it isORDERED, that the motion is hereby granted; and it is further ORDERED, that the lien filed by [8. Your name] ,in the Office of the Clerk of the County of Nassau, and docketed by the Clerk on [9. Insert date of docketing of original lien] , against [10. Insert name of Owner] , as Owner and [11. Insert Name of Contractor] , as Contractor, upon the real property and American LegalNet, Inc. www.FormsWorkFlow.com improvements thereon, described on the tax map as [12. Insert Section Block and Lot of Property] Section(s) , Block(s) , Lot(s) , be and the same is herebycontinued for the period of one year pursuant to Section 17 of the Lien Law of the state ofNew York and the Clerk of the County of Nassau, upon the payment of the proper fee, ifany, is hereby directed to make a new docket of said lien hereby continued as of the dateof the granting of this order, in the lien docket kept in the office of the Clerk for thatpurpose, pursuant to law, and to note thereon that said lien is continued by order of thisCourt.ENTER J.S.C. American LegalNet, Inc. www.FormsWorkFlow.com PRESENT: HON. Justice of the Supreme Court----------------------------------------------------------------------------xIn the Matter of the Application of , Index No. / ORDER EXTENDING [2. Fill in name(s)] to continue a Mechanic222s Lien against, MECHANIC222S LIEN ,As Owner, and ,As Contractor. -----------------------------------------------------------------------------x Now upon reading and filing the annexed affidavit of , duly sworn to onupon the notice of mechanic222s lienthereto attached, and the Court being satisfied that the lien should be continued; Now upon motion of , it isORDERED, that the motion is hereby granted; and it is furtherORDERED, that the lien filed by, the and docketed by the Clerk on American LegalNet, Inc. www.FormsWorkFlow.com J.S.C. New York and the Clerk of the County of Nassau, upon the payment of the proper fee, ifany, is hereby directed to make a new docket of said lien hereby continued as of the dateof the granting of this order, in the lien docket kept in the office of the Clerk for thatpurpose, pursuant to law, and to note thereon that said lien is continued by order of thisCourt.ENTER American LegalNet, Inc. www.FormsWorkFlow.com
Related forms
-
Satisfaction Of Judgment
New York/Local County/Nassau/Supreme Court/General/ -
Partial Satisfaction Of Judgment
New York/Local County/Nassau/Supreme Court/General/ -
Affidavit In Support Of Nunc Pro Tunc Order Change Of Adults Name (Sample And Form)
New York/Local County/Nassau/Supreme Court/General/ -
Affidavit In Support Of Order Extending Mechanics Lien (Sample And Form)
New York/Local County/Nassau/Supreme Court/General/ -
Affidavit In Support Of TRO Against Public Officer Board Or Municipal Corporation (Sample And Form)
New York/Local County/Nassau/Supreme Court/General/ -
Affidavit In Support Of TRO In Civil Action (Sample And Form)
New York/Local County/Nassau/Supreme Court/General/ -
Affidavit Of Consent Of Infant Over 14 (Sample And Form)
New York/Local County/Nassau/Supreme Court/General/ -
Affidavit Of Service (After Commencement Of Litigation)
New York/Local County/Nassau/Supreme Court/General/ -
Certification Pursuant To 22 NYCRR 130.1.1-a (Sample And Form)
New York/Local County/Nassau/Supreme Court/General/ -
Emergency Affidavit (Sample And Form)
New York/Local County/Nassau/Supreme Court/General/ -
Legal Back (Sample And Form)
New York/Local County/Nassau/Supreme Court/General/ -
Notice Of Appeal (Sample And Form)
New York/Local County/Nassau/Supreme Court/General/ -
Notice Of Appearance (Sample And Form)
New York/Local County/Nassau/Supreme Court/General/ -
Notice Of Motion (Sample And Form)
New York/Local County/Nassau/Supreme Court/General/ -
Order Extending Mechanics Lien (Sample And Form)
New York/Local County/Nassau/Supreme Court/General/ -
Order For Withdrawal Of Infants Funds (Sample And Form)
New York/Local County/Nassau/Supreme Court/General/ -
Order To Show Cause For Contempt In Civil Action (Sample And Form)
New York/Local County/Nassau/Supreme Court/General/ -
Order To Show Cause For Contempt In Civil Action With TRO (Sample And Form)
New York/Local County/Nassau/Supreme Court/General/ -
Order To Show Cause In Civil Action (Sample And Form)
New York/Local County/Nassau/Supreme Court/General/ -
Order To Show Cause In Civil Action With TRO (Sample And Form)
New York/Local County/Nassau/Supreme Court/General/ -
Order To Show Cause In Special Proceeding With TRO (Sample And Form)
New York/Local County/Nassau/Supreme Court/General/ -
Petition For Change Of Adults Name (Sample And Form)
New York/Local County/Nassau/Supreme Court/General/ -
Petition For Withdrawal Of Infants Funds With Verification (Sample And Form)
New York/Local County/Nassau/Supreme Court/General/ -
Petition With Verification (Sample And Form)
New York/Local County/Nassau/Supreme Court/General/ -
Proposed Order (Sample And Form)
New York/Local County/Nassau/Supreme Court/General/ -
Reply Affidavit (Sample And Form)
New York/Local County/Nassau/Supreme Court/General/ -
Request For Preliminary Conference (Sample And Form)
New York/Local County/Nassau/Supreme Court/General/ -
Stipulation Discontinuing Action (Sample And Form)
New York/Local County/Nassau/Supreme Court/General/ -
Summons (Sample And Form)
New York/Local County/Nassau/Supreme Court/General/ -
Summons With Notice (Sample And Form)
New York/Local County/Nassau/Supreme Court/General/ -
Affidavit In Opposition (Sample And Form)
New York/Local County/Nassau/Supreme Court/General/ -
Affidavit In Support (Sample And Form)
New York/Local County/Nassau/Supreme Court/General/ -
Client Request For Fee Arbitration (Nassau)
New York/3 Local County/Nassau/Supreme Court/General/ -
Initial Report (Guardianship - Incapacitated Person)
New York/3 Local County/Nassau/Supreme Court/General/ -
Application For Approval Of Expenditures (Short Form) - Order
New York/3 Local County/Nassau/Supreme Court/General/ -
Commission For Guardian
New York/3 Local County/Nassau/Supreme Court/General/ -
Annual Report Of Personal Needs Guardian
New York/3 Local County/Nassau/Supreme Court/General/ -
Statement Identifying Real Property
New York/3 Local County/Nassau/Supreme Court/General/ -
Order To Show Cause To Appoint Guardian
New York/3 Local County/Nassau/Supreme Court/General/ -
Annual Report Of Guardian (Property Management And Personal Needs)
New York/3 Local County/Nassau/Supreme Court/General/ -
Designation (Of Nassau Clerk For Service Of Process)
New York/3 Local County/Nassau/Supreme Court/General/ -
Notice Of Arbitration Award And Award Hearing Information (Attorney-Client Arbitration)
New York/3 Local County/Nassau/Supreme Court/General/ -
Application For Index Number
New York/Local County/Nassau/Supreme Court/General/ -
Tax To Be Paid (Mortgage) No Recorded Document
New York/3 Local County/Nassau/Supreme Court/General/ -
Document Cover Sheet (Land Records)
New York/3 Local County/Nassau/Supreme Court/General/ -
Foreclosure Settlement Conference Worksheet
New York/3 Local County/Nassau/Supreme Court/General/ -
Foreclosure Settlement Conference Additional Information
New York/3 Local County/Nassau/Supreme Court/General/ -
Foreclosure Settlement Conference Status Form
New York/3 Local County/Nassau/Supreme Court/General/ -
Foreclosure Settlement Conference Intake Form
New York/3 Local County/Nassau/Supreme Court/General/ -
Order To Show Cause (Leave For Guardian To Sell Real Property)
New York/3 Local County/Nassau/Supreme Court/General/ -
Verified Petition (Leave For Guardian To Sell Real Property)
New York/3 Local County/Nassau/Supreme Court/General/ -
Order Approving Contract Of Sale (For Guardian To Sell Real Property)
New York/3 Local County/Nassau/Supreme Court/General/ -
Order Confirming Sale (By Guardian Of Real Property)
New York/3 Local County/Nassau/Supreme Court/General/ -
Order Approving Contract Of Sale (For Guardian Of Property Management)
New York/3 Local County/Nassau/Supreme Court/General/ -
Petition For Appointment Of Guardian Of Person And Property
New York/3 Local County/Nassau/Supreme Court/General/ -
Order Settling Final Account (By Guardian Of Deceased Ward)
New York/3 Local County/Nassau/Supreme Court/General/ -
Acknowledged Consent Interested Party To Discharge Guardian Without Formal Accounting
New York/3 Local County/Nassau/Supreme Court/General/ -
Decree Discharging Guardian Surety Upon Approval Final Account (Deceased Ward)
New York/3 Local County/Nassau/Supreme Court/General/ -
Acknowledged Consent Interested Party Discharge Guardian Without Formal Accounting [Surety]
New York/3 Local County/Nassau/Supreme Court/General/ -
Acknowledged Consent Interested Party Discharge Guardian Without Formal Accounting [Executor-Administrator]
New York/3 Local County/Nassau/Supreme Court/General/ -
Petition For Judicial Approval Final Account By Decree (Deceased Ward)
New York/3 Local County/Nassau/Supreme Court/General/ -
Affidavit In Support Of Compensation (Final Accounting Guardian Of Deceased Ward)
New York/3 Local County/Nassau/Supreme Court/General/ -
Affidavit Of Service By Certified Mail (Final Accounting Guardian Of Deceased Ward)
New York/3 Local County/Nassau/Supreme Court/General/ -
Final Account (Deceased Ward) With Schedules A-F
New York/3 Local County/Nassau/Supreme Court/General/ -
Notice Of Motion (For Judicial Settlement Of Final Account)
New York/3 Local County/Nassau/Supreme Court/General/ -
Request For Transcription Of Minutes
New York/3 Local County/Nassau/Supreme Court/General/ -
Order (Long Form) With Legal Back (Sample And Form)
New York/3 Local County/Nassau/Supreme Court/General/ -
Attorney Good Faith ADR Certfication (22 NYCRR Section 202.11)
New York/3 Local County/Nassau/Supreme Court/General/ -
Notice Of Entry With Legal Back (Sample And Form)
New York/Local County/Nassau/Supreme Court/General/ -
Notice Of Settlement With Legal Back (Sample And Form)
New York/Local County/Nassau/Supreme Court/General/ -
Ex Parte Order Amending Judgment Of Foreclosure And Sale (Judge Sullivan)
New York/3 Local County/Nassau/Supreme Court/General/ -
Short Form Order Selection Of Neutral (Matrimonial ADR)
New York/3 Local County/Nassau/Supreme Court/General/ -
Report Of ADR Neutral (Matrimonial)
New York/3 Local County/Nassau/Supreme Court/General/ -
Preliminary Conference Stipulation And Order
New York/3 Local County/Nassau/Supreme Court/General/ -
Stipulation (Expedited Summary Jury Trial - Judge Cozzens)
New York/Local County/Nassau/Supreme Court/General/ -
Order Of Reference Matrimonial Mediation Program
New York/3 Local County/Nassau/Supreme Court/General/ -
Order Of Reference Matrimonial Special Master-Neutral Evaluation Program
New York/Local County/Nassau/Supreme Court/General/ -
Order Of Reference Civil Case ADR Program
New York/Local County/Nassau/Supreme Court/General/ -
Confidential Report Of ADR Neutral
New York/3 Local County/Nassau/Supreme Court/General/ -
Civil Case ADR Program Assignment Form
New York/Local County/Nassau/Supreme Court/General/ -
Order To Show Cause In Special Proceeding (Sample And Form)
New York/Local County/Nassau/Supreme Court/General/ -
Order And Judgment Appointing Successor Guardian Directing Final Report And Account
New York/3 Local County/Nassau/Supreme Court/General/ -
Order And Judgment Appointing Guardian
New York/3 Local County/Nassau/Supreme Court/General/ -
Affirmation (Of Plaintiff - Foreclosure)
New York/Local County/Nassau/Supreme Court/General/ -
Affirmation (Of Plaintiff - Foreclosure - Supplemental Papers)
New York/Local County/Nassau/Supreme Court/General/ -
Order Confirming Referee Report And Judgment Of Foreclosure And Sale
New York/3 Local County/Nassau/Supreme Court/General/ -
Deposition Schedule Rider Pursuant To 5(a) Of Preliminary Conference Order
New York/Local County/Nassau/Supreme Court/General/
Form Preview
Contact Us
Success: Your message was sent.
Thank you!




