Last updated: 5/29/2015
Other Orders-Property Removal {FM-1102}
Start Your Free Trial $ 13.99What you get:
- Instant access to fillable Microsoft Word or PDF forms.
- Minimize the risk of using outdated forms and eliminate rejected fillings.
- Largest forms database in the USA with more than 80,000 federal, state and agency forms.
- Download, edit, auto-fill multiple forms at once in MS Word using our Forms Workflow Ribbon
- Trusted by 1,000s of Attorneys and Legal Professionals
Description
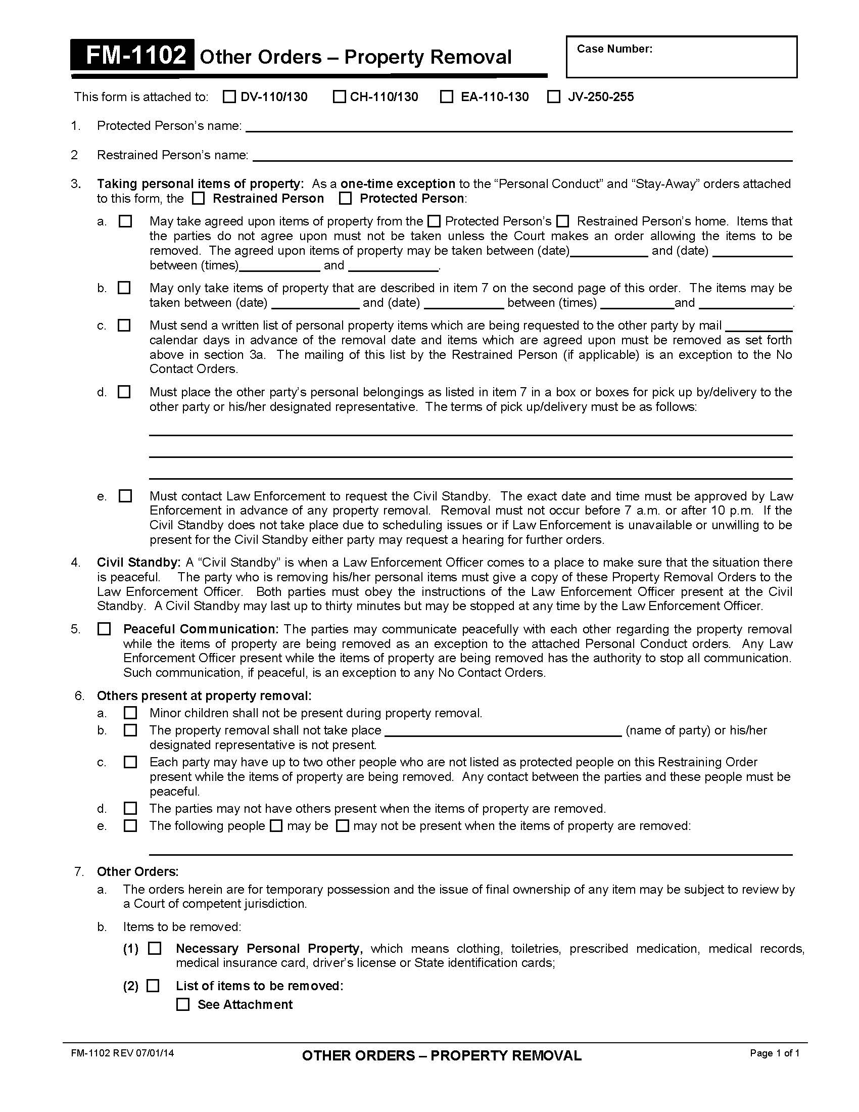
FM-1102 - OTHER ORDERS PROPERTY REMOVAL. This form is used in the context of a court case to outline the process and conditions under which a protected or restrained person may remove personal property from the other person's home. It serves as an exception to "Personal Conduct" and "Stay-Away" orders, specifying details such as the dates and times for property removal, the involvement of law enforcement for a civil standby, and any required peaceful communication. It also includes provisions for notifying the other party, listing items to be removed, and ensuring minor children are not present during the removal. www.FormsWorkflow.com
Related forms
-
Domestic Violence Facsimile Transmission Cover Sheet Attachment A
California/Local County/Santa Clara/Family Law/ -
Request For Trial
California/Local County/Santa Clara/Family Law/ -
Order For Criminal Court Hearing On Protective Order Modification (Family)
California/Local County/Santa Clara/Family Law/ -
Restraining Order Waiver Of Rights Form - Defendant (Family)
California/Local County/Santa Clara/Family Law/ -
Family Law Parentage Judgment Checklist Petition To Establish Parental Relationship
California/Local County/Santa Clara/Family Law/ -
Declaration For Default Custody And Visitation Orders
California/Local County/Santa Clara/Family Law/ -
Request For Sheriff To Serve And Sheriffs Fee Statement
California/Local County/Santa Clara/Family Law/ -
Declaration In Support Of Ex Parte Application For Orders
California/Local County/Santa Clara/Family Law/ -
Family Court Services (FCS) Declaration Of Mailing Or Personal Service
California/Local County/Santa Clara/Family Law/ -
Domestic Violence-Abuse Questionnaire
California/Local County/Santa Clara/Family Law/ -
Family Court Services Client Complaint Form
California/Local County/Santa Clara/Family Law/ -
Family Court Services Parent Survey
California/Local County/Santa Clara/Family Law/ -
Waiver Of Right To Individual Sessions
California/Local County/Santa Clara/Family Law/ -
Waiver Of Mediation Confidentiality
California/Local County/Santa Clara/Family Law/ -
Support Person For Victim Of Domestic Violence Information Sheet
California/Local County/Santa Clara/Family Law/ -
Request And Order To Change Case Management Conference Date
California/Local County/Santa Clara/Family Law/ -
Initial Application For Appointment As Counsel For Minor Children
California/Local County/Santa Clara/Family Law/ -
Other Orders-Property Removal
California/Local County/Santa Clara/Family Law/ -
Application And Order For Expert Witness Fees
California/Local County/Santa Clara/Family Law/ -
Stipulation And Order (Family)
California/Local County/Santa Clara/Family Law/ -
Stipulation For Court Commissioner To Act As Temporary Judge For All Purpose
California/Local County/Santa Clara/Family Law/ -
Addendum To FL-327 (Order Appointing Child Custody FCS Evaluator)
California/Local County/Santa Clara/Family Law/ -
Addendum To FL-327 (Order For Child Custody Private Assessor-Evaluator)
California/Local County/Santa Clara/Family Law/ -
Orders After Status Conference-Case Resolution Conference (Family Law)
California/Local County/Santa Clara/Family Law/ -
Non-Professional Supervised Visitation Provider Declaration Of Qualification
California/Local County/Santa Clara/Family Law/ -
Order Appointing Private Child Custody Evaluator Brief Focused Assessment
California/Local County/Santa Clara/Family Law/ -
Elder Abuse Domestic Violence Facsimile Transmission Cover Sheet (Fax Filing)
California/Local County/Santa Clara/Family Law/ -
Annual Renewal Application-Eligibility Declaration For Inclusion On Approved List
California/Local County/Santa Clara/Family Law/ -
Gun Violence Facsimile Transmission Cover Sheet
California/Local County/Santa Clara/Family Law/ -
Ex Parte Application And Order To Be Relieved As Counsel For Minor Child
California/Local County/Santa Clara/Family Law/ -
Response To Application To Be Relieved As Counsel For Minor Child
California/Local County/Santa Clara/Family Law/ -
Family Records Copy Request Form
California/Local County/Santa Clara/Family Law/ -
Post Mediation Hearing (PMH)-Judicial Custody Conference (JCC) Statement
California/Local County/Santa Clara/Family Law/ -
Referral To Post-Mediation Hearing (PMH)
California/2 Local County/Santa Clara/Family Law/ -
Family Court Services Intake Form
California/Local County/Santa Clara/Family Law/ -
Smith-Ostler Bonus Attachment
California/2 Local County/Santa Clara/Family Law/ -
Stipulation Re Protective Order For Family Court Services Records And Order Thereon
California/Local County/Santa Clara/Family Law/ -
Family Law Notice Dissolution-Legal Separation
California/Local County/Santa Clara/Family Law/ -
Professional Supervised Visitation Provider List Initial and Annual Renewal Application
California/Local County/Santa Clara/Family Law/ -
Response To Child(ren)s Counsels Application For Payment Of Attorney Fees
California/Local County/Santa Clara/Family Law/ -
Seek Work Order
California/Local County/Santa Clara/Family Law/ -
Application And Order For Payment Of Attorney Fees-Costs Of Childrens Counsel
California/Local County/Santa Clara/Family Law/ -
Order Appointing Accounting Expert
California/Local County/Santa Clara/Family Law/ -
Order Appointing Real Estate Expert
California/Local County/Santa Clara/Family Law/ -
Findings Re Non-Compliance With Order To Surrender Guns Firearms Or Ammunition
California/Local County/Santa Clara/Family Law/ -
Status Or Case Resolution Conference Questionnaire
California/Local County/Santa Clara/Family Law/ -
Request And Order To Keep Minors Information Confidential GVRO
California/Local County/Santa Clara/Family Law/ -
Stipulation To Allow Trial Judge-Commissioner To Conduct Judicial Custody Conference (JCC)
California/2 Local County/Santa Clara/Family Law/ -
Stipulation To Telephonic Family Court Services Mediation
California/2 Local County/Santa Clara/Family Law/ -
Family Law Judicial Settlement Program Stipulation And Order
California/Local County/Santa Clara/Family Law/ -
Order Re Remote Appearance (Family)
California/Local County/Santa Clara/Family Law/ -
Emergency Screening Form (FCS)
California/Local County/Santa Clara/Family Law/ -
Order Appointing Childrens Counsel
California/2 Local County/Santa Clara/Family Law/
Form Preview
Contact Us
Success: Your message was sent.
Thank you!




