Last updated: 6/24/2010
Interm Report And Answer Of Garnishee
Start Your Free Trial $ 13.99What you get:
- Instant access to fillable Microsoft Word or PDF forms.
- Minimize the risk of using outdated forms and eliminate rejected fillings.
- Largest forms database in the USA with more than 80,000 federal, state and agency forms.
- Download, edit, auto-fill multiple forms at once in MS Word using our Forms Workflow Ribbon
- Trusted by 1,000s of Attorneys and Legal Professionals
Description
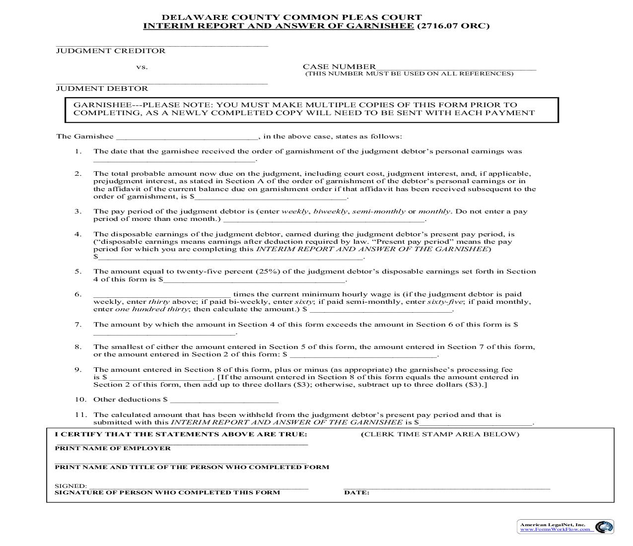
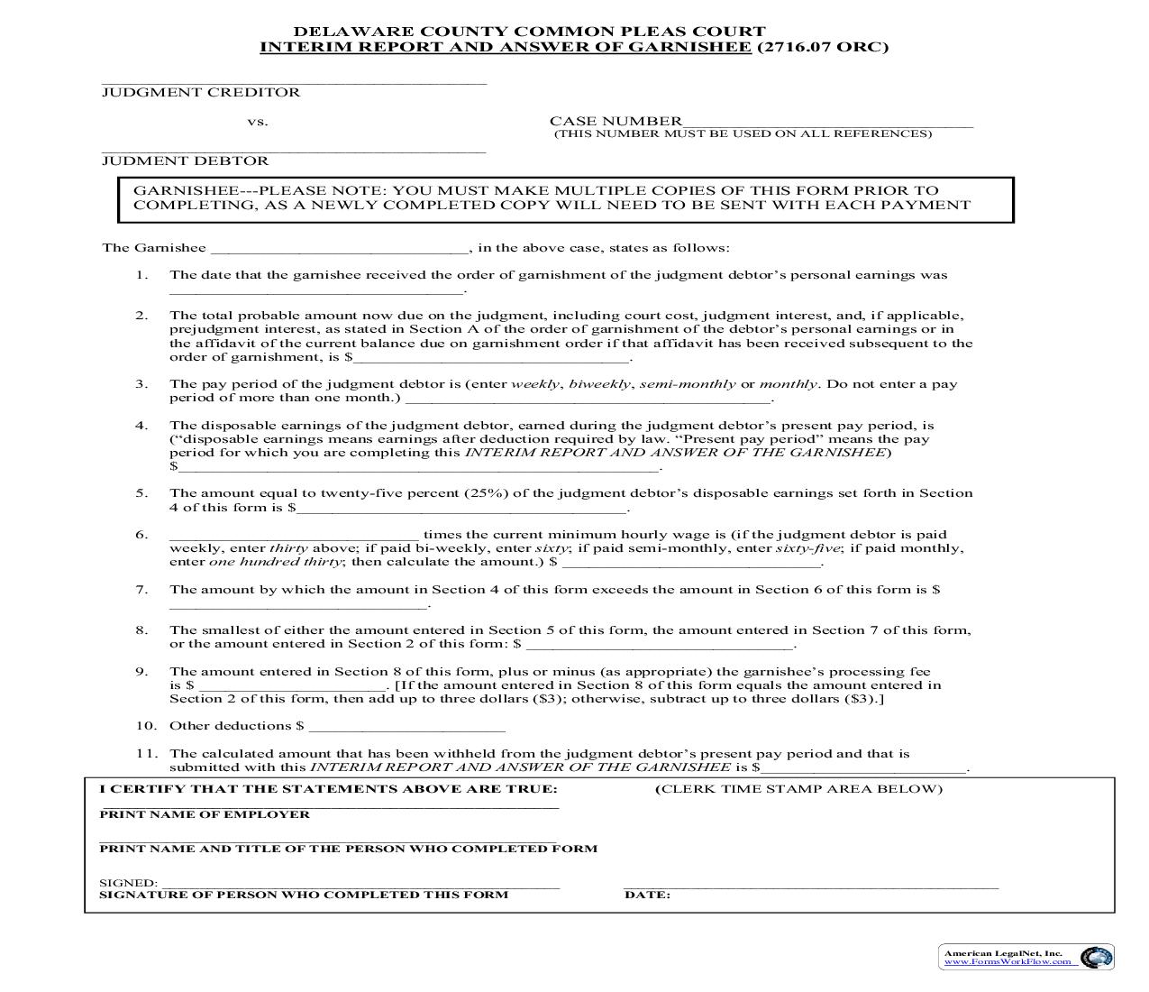
DELAWARE COUNTY COMMON PLEAS COURT INTERIM REPORT AND ANSWER OF GARNISHEE (2716.07 ORC) _________________________________________ JUDGMENT CREDITOR vs. _________________________________________ JUDMENT DEBTOR GARNISHEE---PLEASE NOTE: YOU MUST MAKE MULTIPLE COPIES OF THIS FORM PRIOR TO COMPLETING, AS A NEWLY COMPLETED COPY WILL NEED TO BE SENT WITH EACH PAYMENT The Garnishee _____________________________, in the above case, states as follows: 1. The date that the garnishee received the order of garnishment of the judgment debtor's personal earnings was _________________________________. The total probable amount now due on the judgment, including court cost, judgment interest, and, if applicable, prejudgment interest, as stated in Section A of the order of garnishment of the debtor's personal earnings or in the affidavit of the current balance due on garnishment order if that affidavit has been received subsequent to the order of garnishment, is $_______________________________. The pay period of the judgment debtor is (enter weekly, biweekly, semi-monthly or monthly. Do not enter a pay period of more than one month.) _________________________________________. The disposable earnings of the judgment debtor, earned during the judgment debtor's present pay period, is ("disposable earnings means earnings after deduction required by law. "Present pay period" means the pay period for which you are completing this INTERIM REPORT AND ANSWER OF THE GARNISHEE) $______________________________________________________. The amount equal to twenty-five percent (25%) of the judgment debtor's disposable earnings set forth in Section 4 of this form is $_____________________________________. ____________________________ times the current minimum hourly wage is (if the judgment debtor is paid weekly, enter thirty above; if paid bi-weekly, enter sixty; if paid semi-monthly, enter sixty-five; if paid monthly, enter one hundred thirty; then calculate the amount.) $ _____________________________. The amount by which the amount in Section 4 of this form exceeds the amount in Section 6 of this form is $ _____________________________. The smallest of either the amount entered in Section 5 of this form, the amount entered in Section 7 of this form, or the amount entered in Section 2 of this form: $ ______________________________. The amount entered in Section 8 of this form, plus or minus (as appropriate) the garnishee's processing fee is $ _____________________. [If the amount entered in Section 8 of this form equals the amount entered in Section 2 of this form, then add up to three dollars ($3); otherwise, subtract up to three dollars ($3).] CASE NUMBER_______________________________ (THIS NUMBER MUST BE USED ON ALL REFERENCES) 2. 3. 4. 5. 6. 7. 8. 9. 10. Other deductions $ ______________________ 11. The calculated amount that has been withheld from the judgment debtor's present pay period and that is submitted with this INTERIM REPORT AND ANSWER OF THE GARNISHEE is $_______________________. I CERTIFY THAT THE STATEMENTS ABOVE ARE TRUE: ______________________________________________________ PRINT NAME OF EMPLOYER _____________________________________________________________ PRINT NAME AND TITLE OF THE PERSON WHO COMPLETED FORM SIGNED: _____________________________________________________ SIGNATURE OF PERSON WHO COMPLETED THIS FORM __________________________________________________ DATE: (CLERK TIME STAMP AREA BELOW) Make your check payable to the DELAWARE COUNTY CLERK OF COURTS, staple to a completed copy of this form and mail to: Delaware County Clerk of Courts TY cLERK OF cOURTS oFFICE, 91 n. sANDUSKY sTREET, 1ST fLOOR, dELAWARE, oHIOAWARE COUNTY CLERK OF COURTS, CIVIL DIVISION umbus, OH 43215-4579 Phone (614) 462-3621 American LegalNet, Inc. www.FormsWorkFlow.com





