Last updated: 7/8/2010
Limited Proxy - Sample And Form {CO 6000-7}
Start Your Free Trial $ 17.99What you get:
- Instant access to fillable Microsoft Word or PDF forms.
- Minimize the risk of using outdated forms and eliminate rejected fillings.
- Largest forms database in the USA with more than 80,000 federal, state and agency forms.
- Download, edit, auto-fill multiple forms at once in MS Word using our Forms Workflow Ribbon
- Trusted by 1,000s of Attorneys and Legal Professionals
Description
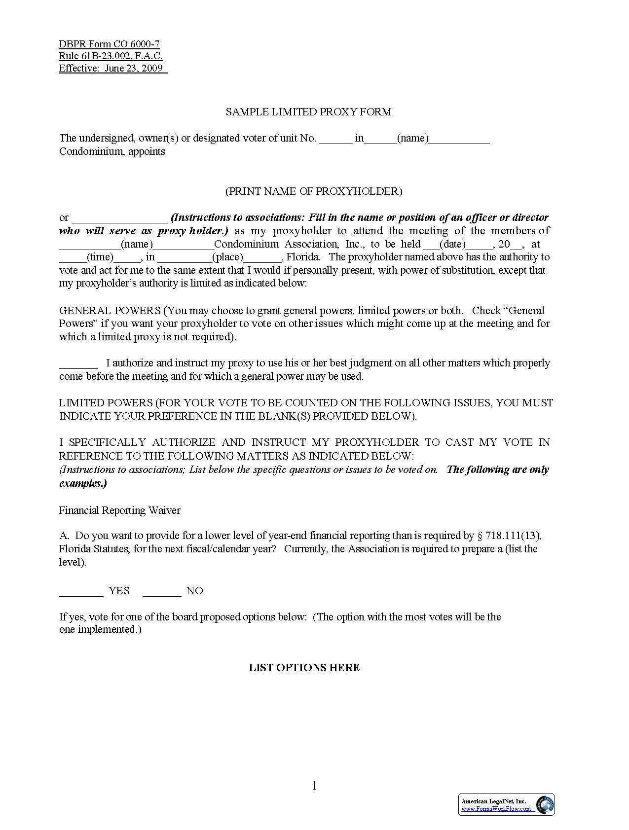
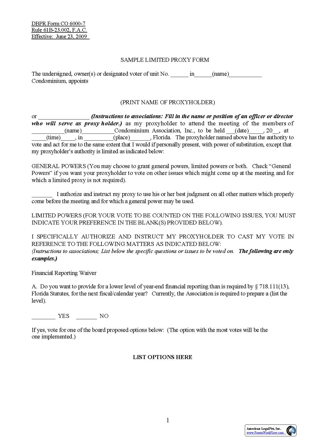
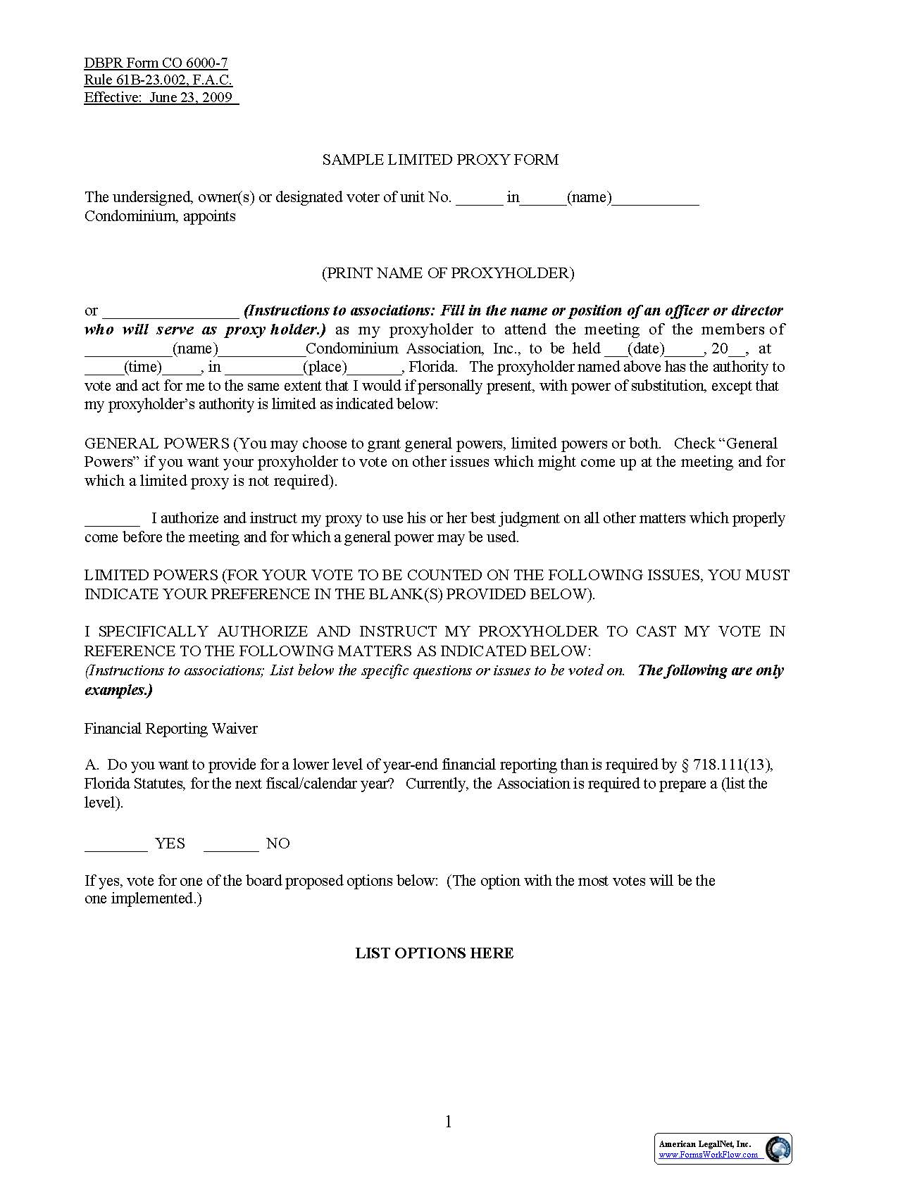
DBPR Form CO 6000-7 Rule 61B-23.002, F.A.C. Effective:_June 23, 2009_ SAMPLE LIMITED PROXY FORM The undersigned, owner(s) or designated voter of unit No. ______ in______(name)___________ Condominium, appoints (PRINT NAME OF PROXYHOLDER) or _________________ (Instructions to associations: Fill in the name or position of an officer or director who will serve as proxy holder.) as my proxyholder to attend the meeting of the members of ___________(name)___________Condominium Association, Inc., to be held ___(date)_____, 20__, at _____(time)_____, in __________(place)_______, Florida. The proxyholder named above has the authority to vote and act for me to the same extent that I would if personally present, with power of substitution, except that my proxyholder's authority is limited as indicated below: GENERAL POWERS (You may choose to grant general powers, limited powers or both. Check "General Powers" if you want your proxyholder to vote on other issues which might come up at the meeting and for which a limited proxy is not required). _______ I authorize and instruct my proxy to use his or her best judgment on all other matters which properly come before the meeting and for which a general power may be used. LIMITED POWERS (FOR YOUR VOTE TO BE COUNTED ON THE FOLLOWING ISSUES, YOU MUST INDICATE YOUR PREFERENCE IN THE BLANK(S) PROVIDED BELOW). I SPECIFICALLY AUTHORIZE AND INSTRUCT MY PROXYHOLDER TO CAST MY VOTE IN REFERENCE TO THE FOLLOWING MATTERS AS INDICATED BELOW: (Instructions to associations; List below the specific questions or issues to be voted on. The following are only examples.) Financial Reporting Waiver A. Do you want to provide for a lower level of year-end financial reporting than is required by § 718.111(13), Florida Statutes, for the next fiscal/calendar year? Currently, the Association is required to prepare a (list the level). ________ YES _______ NO If yes, vote for one of the board proposed options below: (The option with the most votes will be the one implemented.) LIST OPTIONS HERE 1 American LegalNet, Inc. www.FormsWorkFlow.com DBPR Form CO 6000-7 Rule 61B-23.002, F.A.C. Effective:_June 23, 2009_ Reserve Funding Waiver WAIVING OF RESERVES, IN WHOLE OR IN PART, OR ALLOWING ALTERNATIVE USES OF EXISTING RESERVES MAY RESULT IN UNIT OWNER LIABILITY FOR PAYMENT OF UNANTICIPATED SPECIAL ASSESSMENTS REGARDING THOSE ITEMS: B. Do you want to provide for less than full funding of reserves than is required by § 718.112(2)(f), Florida Statutes, for the next fiscal/calendar year? ________ YES _______ NO If yes, vote for one of the board proposed options below: (The option with the most votes will be the one implemented.) LIST OPTIONS HERE DATE: _________ ______________________________________________________________________ SIGNATURE(S) of OWNER(S) OR DESIGNATED VOTER SUBSTITUTION OF PROXYHOLDER The undersigned, appointed as proxyholder above, designates _____________________________ to substitute for me in voting the proxy as set forth above. (print name) _____________________________________ Signature of proxyholder Date: _____________ THIS PROXY IS REVOCABLE BY THE UNIT OWNER AND IS VALID ONLY FOR THE MEETING FOR WHICH IT IS GIVEN AND ANY LAWFUL ADJOURNMENT. IN NO EVENT IS THE PROXY VALID FOR MORE THAN NINETY (90) DAYS FROM THE DATE OF THE ORIGINAL MEETING FOR WHICH IT WAS GIVEN. 2 American LegalNet, Inc. www.FormsWorkFlow.com DBPR Form CO 6000-7 Rule 61B-23.002, F.A.C. Effective:_June 23, 2009_ LIMITED PROXY FORM The undersigned, owner(s) or designated voter of unit No. ______ in________________________________ Condominium, appoints ____________________________________* or ______________________________________________* as my proxyholder to attend the meeting of the members of the __________________________ Condominium Association, Inc., to be held on _________________, 20___, at _____________, in ____________________________________________, _____(time)_____Florida. The proxyholder named above has the authority to vote and act for me to the same extent that I would if personally present, with power of substitution, except that my proxyholder's authority is limited as indicated below: GENERAL POWERS (You may choose to grant general powers, limited powers or both. Check "General Powers" if you want your proxyholder to vote on other issues which might come up at the meeting and for which a limited proxy is not required). _______ I authorize and instruct my proxy to use his or her best judgment on all other matters which properly come before the meeting and for which a general power may be used. LIMITED POWERS (FOR YOUR VOTE TO BE COUNTED ON THE FOLLOWING ISSUES, YOU MUST INDICATE YOUR PREFERENCE IN THE BLANK(S) PROVIDED BELOW). I SPECIFICALLY AUTHORIZE AND INSTRUCT MY PROXYHOLDER TO CAST MY VOTE IN REFERENCE TO THE FOLLOWING MATTERS AS INDICATED BELOW: Financial Reporting Waiver A. Do you want to provide for a lower level of year-end financial reporting than is required by § 718.111(13), Florida Statutes, for the next fiscal/calendar year? Currently, the Association is required to prepare a ___ level. ________ YES _______ NO If yes, vote for one of the board proposed options below: (The option with the most votes will be the one implemented.) * Either print name of proxyholder or print position of officer/director you wish to serve as proxyholder. 1 American LegalNet, Inc. www.FormsWorkFlow.com DBPR Form CO 6000-7 Rule 61B-23.002, F.A.C. Effective:_June 23, 2009_ Reserve Funding Waiver WAIVING OF RESERVES, IN WHOLE OR IN PART, OR ALLOWING ALTERNATIVE USES OF EXISTING RESERVES MAY RESULT IN UNIT OWNER LIABILITY FOR PAYMENT OF UNANTICIPATED SPECIAL ASSESSMENTS REGARDING THOSE ITEMS: B. Do you want to provide for less than full funding of reserves than is required by § 718.112(2)(f), Florida Statutes, for the next fiscal/calendar year? ________ YES _______ NO If yes, vote for one of the board proposed options below: (The option with the most votes will be the one implemented.) DATE: _________ ______________________________________________________________________ SIGNATURE(S) of OWNER(S) OR DESIGNATED VOTER SUBSTITUTION OF PROXYHOLDER The undersigned, appointed as proxyholder above, designates _____________________________ to substitute for me in voting the proxy as set forth above. (print name) _____________________________________ Signature of proxyholder Date: _____________ THIS PROXY IS REVOCABLE BY THE UNIT OWNER AND IS VALID ONLY FOR THE MEETING FOR WHICH IT IS GIVE





