Last updated: 7/1/2016
Application To Set Aside Order To Pay Waived Court Fees-Attachment {FL-337}
Start Your Free Trial $ 13.99What you get:
- Instant access to fillable Microsoft Word or PDF forms.
- Minimize the risk of using outdated forms and eliminate rejected fillings.
- Largest forms database in the USA with more than 80,000 federal, state and agency forms.
- Download, edit, auto-fill multiple forms at once in MS Word using our Forms Workflow Ribbon
- Trusted by 1,000s of Attorneys and Legal Professionals
Description
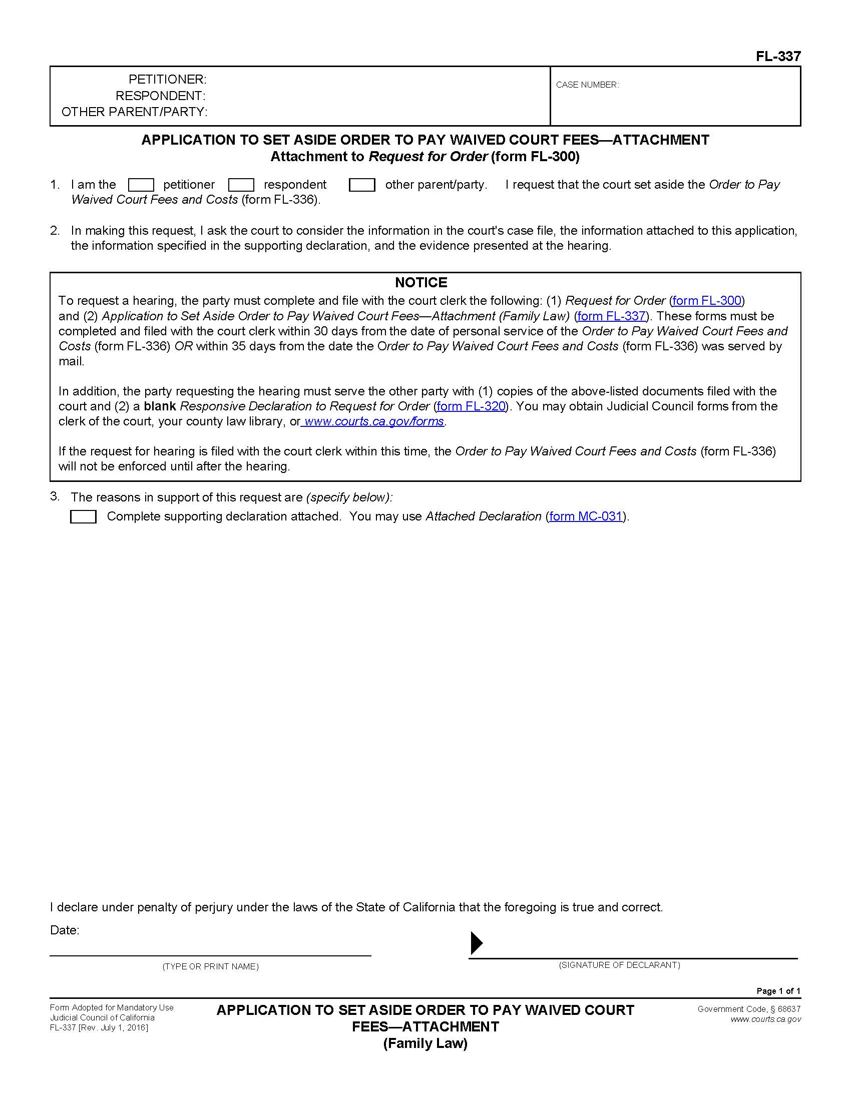
FL-337, APPLICATION TO SET ASIDE ORDER TO PAY WAIVED COURT FEES—ATTACHMENT (Family Law), this form is used to tell the court and the other person in your case that you want the court to continue the order to waive the initial fees in your case. This form is always attached to Request for Order (form FL-300). NOTICE To request a hearing, the party must complete and file with the court clerk the following: (1) Request for Order (form FL-300) and (2) Application to Set Aside Order to Pay Waived Court Fees—Attachment (Family Law) (form FL-337). These forms must be completed and filed with the court clerk within 30 days from the date of personal service of the Order to Pay Waived Court Fees and Costs (form FL-336) OR within 35 days from the date the Order to Pay Waived Court Fees and Costs (form FL-336) was served by mail. In addition, the party requesting the hearing must serve the other party with (1) copies of the above-listed documents filed with the court and (2) a blank Responsive Declaration to Request for Order (form FL-320). You may obtain Judicial Council forms from the clerk of the court, your county law library, or www.courts.ca.gov/forms. If the request for hearing is filed with the court clerk within this time, the Order to Pay Waived Court Fees and Costs (form FL-336) will not be enforced until after the hearing. Form Adopted for Mandatory Use Judicial Council of California, FL-337 [Rev. July 1, 2016] Government Code, § 68637. www.FormsWorkflow.com
Related forms
-
Request For Income And Benefit Information From Employer
California/Judicial Council/Family Law - Motions/ -
Request For Production Of An Income And Expense Declaration After Judgment
California/Judicial Council/Family Law - Motions/ -
Ex Parte Application For Restoration Of Former Name After Entry Of Judgment And Order (Family Law)
California/Judicial Council/Family Law - Motions/ -
Information Sheet How To Oppose A Request To Change Child Spousal Or Family Support
California/Judicial Council/Family Law - Motions/ -
Information Sheet Simplified Way To Change Child Spousal Or Family Support
California/Judicial Council/Family Law - Motions/ -
Notice Of Motion And Motion For Simplified Modification Of Order For Child Spousal Or Family Support
California/Judicial Council/Family Law - Motions/ -
Proof Of Personal Service
California/Judicial Council/Family Law - Motions/ -
Proof Of Service By Mail
California/Judicial Council/Family Law - Motions/ -
Responsive Declaration To Motion For Simplified Modification Of Order For Child Spousal Or Family Support
California/Judicial Council/Family Law - Motions/ -
Order After Hearing On Motion To Set Aside Support Order
California/Judicial Council/Family Law - Motions/ -
Request For Hearing And Application To Set Aside Support Order
California/Judicial Council/Family Law - Motions/ -
Responsive Declaration To Application To Set Aside Support Order
California/Judicial Council/Family Law - Motions/ -
Notice Of Appearance And Response Of Employee Benefit Plan
California/Judicial Council/Family Law - Motions/ -
Notice Of Motion And Declaration For Joinder
California/Judicial Council/Family Law - Motions/ -
Pleading On Joinder-Employee Benefit Plan
California/Judicial Council/Family Law - Motions/ -
Request For Joinder Of Employee Benefit Plan And Order
California/Judicial Council/Family Law - Motions/ -
Responsive Declaration To Motion For Joinder Consent Order Of Joinder
California/Judicial Council/Family Law - Motions/ -
Additional Provisions Physical Custody Attachment
California/Judicial Council/Family Law - Motions/ -
Joint Legal Custody Attachment
California/Judicial Council/Family Law - Motions/ -
Childrens Holiday Schedule Attachment
California/Judicial Council/Family Law - Motions/ -
Property Order Attachment To Findings And Order After Hearing (Family Law)
California/Judicial Council/Family Law - Motions/ -
Notice Of Activation Of Military Service And Deployment And Request To Modify A Support Order
California/Judicial Council/Family Law - Motions/ -
Declaration Of Counsel For A Child Regarding Qualifications
California/Judicial Council/Family Law - Motions/ -
Bifurcation Of Status Of Marriage Or Domestic Partnership-Attachment (Family Law)
California/Judicial Council/Family Law - Motions/ -
Pension Benefits-Attachment To Judgment (Attach To Form FL-180)
California/Judicial Council/Family Law - Motions/ -
Retirement Plan Joinder-Information Sheet (Family Law)
California/Judicial Council/Family Law - Motions/ -
Application To Set Aside Order To Pay Waived Court Fees-Attachment
California/Judicial Council/Family Law - Motions/ -
Order After Hearing On Motion To Set Aside Order To Pay
California/Judicial Council/Family Law - Motions/ -
Order To Pay Waived Court Fees And Costs (Superior Court)
California/Judicial Council/Family Law - Motions/ -
Child Custody Evaluation Information Sheet
California/Judicial Council/Family Law - Motions/ -
Attorney For Child In A Family Law Case-Information
California/Judicial Council/Family Law - Motions/ -
Attorneys Fees And Costs Order Attachment
California/Judicial Council/Family Law - Motions/ -
Information Sheet For Proof Of Personal Service
California/Judicial Council/Family Law - Motions/ -
Information Sheet For Proof Of Service By Mail
California/Judicial Council/Family Law - Motions/ -
Request For Attorneys Fees And Costs Attachment
California/Judicial Council/Family Law - Motions/ -
Witness List
California/Judicial Council/Family Law - Motions/ -
Request For Orders Regarding Noncompliance With Disclosure Requirements
California/Judicial Council/Family Law - Motions/ -
Request Or Response To Request For Separate Trial (Family Law)
California/Judicial Council/Family Law - Motions/ -
Special Immigrant Juvenile Findings
California/Judicial Council/Family Law - Motions/ -
Confidential Response To Request For Special Immigrant Juvenile Findings
California/Judicial Council/Family Law - Motions/ -
Confidential Request For Special Immigrant Juvenile Findings Family Law (Spanish)
California/Judicial Council/Family Law - Motions/ -
Confidential Response To Request For Special Immigrant Juvenile Findings (Spanish)
California/Judicial Council/Family Law - Motions/ -
Information Sheet Responsive Declaration To Request For Order (Spanish)
California/Judicial Council/Family Law - Motions/ -
Request For Order (Spanish)
California/Judicial Council/Family Law - Motions/ -
Responsive Declaration To Request For Order (Spanish)
California/Judicial Council/Family Law - Motions/ -
Special Immigrant Juvenile Findings (Spanish)
California/Judicial Council/Family Law - Motions/ -
Attorney For Child In A Family Law Case-Information Sheet
California/Judicial Council/Family Law - Motions/ -
Declaration Of Court-Connected Child Custody Evaluator Regarding Qualifications
California/Judicial Council/Family Law - Motions/ -
Declaration Of Private Child Custody Evaluator Regarding Qualifications
California/Judicial Council/Family Law - Motions/ -
Order On Request To Reschedule Hearing (Family Law-Governmental)
California/1 Judicial Council/Family Law - Motions/ -
Agreement And Order To Reschedule Hearing (Family Law-Governmental)
California/1 Judicial Council/Family Law - Motions/ -
How To Reschedule A Hearing In Family Court
California/1 Judicial Council/Family Law - Motions/ -
Responsive Declaration To Request To Reschedule Hearing (Family Law-Governmental)
California/1 Judicial Council/Family Law - Motions/ -
Request To Reschedule Hearing Involving Temporary Emergency (Ex Parte) Orders
California/Judicial Council/Family Law - Motions/ -
Declaration Regarding Notice And Service Of Request For Temporary Emergency (Ex Parte) Orders
California/Judicial Council/Family Law - Motions/ -
Spousal Or Domestic Partner Support Factors Under Family Code Section 4320-Attachment
California/1 Judicial Council/Family Law - Motions/ -
Property Order Attachment To Judgment (Family Law)
California/Judicial Council/Family Law - Motions/ -
Confidential Request For Special Immigrant Juvenille Findings-Family Law
California/Judicial Council/Family Law - Motions/ -
Summons (Joinder)
California/Judicial Council/Family Law - Motions/ -
Stipulation To Establish Or Modify Child Support And Order
California/Judicial Council/Family Law - Motions/ -
Order Appointing Child Custody Evaluator
California/Judicial Council/Family Law - Motions/ -
Additional Orders Regarding Child Custody Evaluations Under Family Code Section 3118
California/1 Judicial Council/Family Law - Motions/ -
Notice Regarding Confidentiality Of Child Custody Evaluation Report
California/Judicial Council/Family Law - Motions/ -
Confidential Child Custody Evaluation Report
California/1 Judicial Council/Family Law - Motions/ -
Order Appointing Counsel For A Child
California/Judicial Council/Family Law - Motions/ -
Child Support Information And Order Attachment
California/Judicial Council/Family Law - Motions/ -
Earning Capacity Factors Attachment
California/Judicial Council/Family Law Motions/ -
Non-Guideline Child Support Findings Attachment
California/Judicial Council/Family Law - Motions/ -
Declaration Regarding Address Verification-Postjudgment Request To Modify
California/Judicial Council/Family Law - Motions/ -
Request For Order
California/Judicial Council/Family Law - Motions/ -
Request To Reschedule Hearing (Family Law-Governmental-Uniform Parentage)
California/Judicial Council/Family Law - Motions/ -
Request For Child Abduction Prevention Orders
California/Judicial Council/Family Law - Motions/ -
Child Custody Information Sheet-Recommending Counseling
California/Judicial Council/Family Law - Motions/ -
Child Custody Information Sheet-Child Custody Mediation
California/Judicial Council/Family Law - Motions/ -
Responsive Declaration To Request For Order
California/Judicial Council/Family Law - Motions/ -
Information Sheet Responsive Declaration To Request For Order
California/Judicial Council/Family Law - Motions/ -
Findings And Order After Hearing
California/Judicial Council/Family Law - Motions/ -
Child Abduction Prevention Order Attachment
California/Judicial Council/Family Law - Motions/ -
Spousal Domestic Partner Or Family Support Order Attachment
California/Judicial Council/Family Law - Motions/ -
What Are Visitation Or Parenting Time Orders (Family Law)
California/Judicial Council/Family Law Motions/ -
Information Sheet For Request For Order
California/Judicial Council/Family Law - Motions/ -
Temporary Emergency (Ex Parte) Orders
California/Judicial Council/Family Law - Motions/ -
Child Custody And Visitation (Parenting Time) Application Attachment
California/Judicial Council/Family Law - Motions/ -
Declaration Of Supervised Visitation Provider
California/1 Judicial Council/Family Law - Motions/ -
Declaration Of Supervised Visitation Provider (Professional)
California/Judicial Council/Family Law - Motions/ -
Child Custody And Visitation (Parenting Time) (Order Attachment)
California/Judicial Council/Family Law - Motions/ -
Supervised Visitation Order
California/Judicial Council/Family Law - Motions/ -
Stipulation And Order For Custody And Or Visitation Of Children
California/Judicial Council/Family Law - Motions/ -
Mandatory Findings For Child Custody And Visitation (Parenting Time) Orders
California/Judicial Council/Family Law Motions/
Form Preview
Contact Us
Success: Your message was sent.
Thank you!




