Last updated: 11/20/2018
Order And Authorization Re Health Care And Education {JU 02.0240}
Start Your Free Trial $ 15.99What you get:
- Instant access to fillable Microsoft Word or PDF forms.
- Minimize the risk of using outdated forms and eliminate rejected fillings.
- Largest forms database in the USA with more than 80,000 federal, state and agency forms.
- Download, edit, auto-fill multiple forms at once in MS Word using our Forms Workflow Ribbon
- Trusted by 1,000s of Attorneys and Legal Professionals
Description
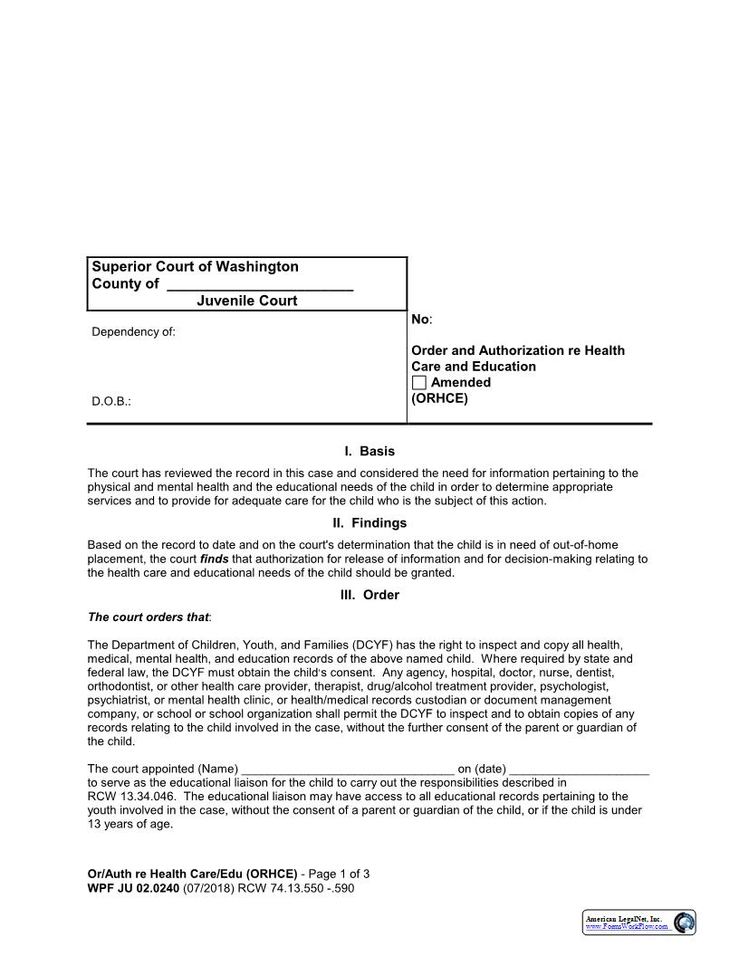
Or/Auth re Health Care/Edu (ORHCE) - Page 1 of 3 WPF JU 02.0240 (07/2018) RCW 74.13.550 -.590 Superior Court of Washington County of Juvenile Court Dependency of: D.O.B.: No : Order and Authorization re Health Care and Education Amended (ORHCE) I. Basis The court has reviewed the record in this case and considered the need for information pertaining to the physical and mental health and the educational needs of the child in order to determine appropriate services and to provide for adequate care for the child who is the subject of this action. II. Findings Based on the record to date and on the court's determination that the child is in need of out-of-home placement, the court finds that authorization for release of information and for decision-making relating to the health care and educational needs of the child should be granted. III. Order The court orders that: The Department of Children, Youth, and Families (DCYF) has the right to inspect and copy all health, medical, mental health, and education records of the above named child. Where required by state and federal law, the DCYF must obtain the child222s consent. Any agency, hospital, doctor, nurse, dentist, orthodontist, or other health care provider, therapist, drug/alcohol treatment provider, psychologist, psychiatrist, or mental health clinic, or health/medical records custodian or document management company, or school or school organization shall permit the DCYF to inspect and to obtain copies of any records relating to the child involved in the case, without the further consent of the parent or guardian of the child. The court appointed (Name) on (date) to serve as the educational liaison for the child to carry out the responsibilities described in RCW 13.34.046. The educational liaison may have access to all educational records pertaining to the youth involved in the case, without the consent of a parent or guardian of the child, or if the child is under 13 years of age. American LegalNet, Inc. www.FormsWorkFlow.com Or/Auth re Health Care/Edu (ORHCE) - Page 2 of 3 WPF JU 02.0240 (07/2018) RCW 74.13.550 -.590 The DCYF or its designee shall have authority and responsibility, where applicable, to notify the child222s school that the child is in out-of-home placement; enroll the child in school; request the transfer records; request and authorize evaluation of special needs; attend parent/teacher conferences; excuse absences; grant permission for extracurricular activities; authorize medications which need to be administered during school hours and sign for medical needs that arise during school hours; and complete or update school emergency contact records. The court further authorizes DCYF or its designee to share and receive information about the child with the child222s school and school district and with service providers in order to properly care for the child. The clerk shall provide certified copies of this order at no cost to the DCYF, at its request. Dated: Judge/Court Commissioner Presented by: Signature Print Name/Title WSBA No. Copy Received. Approved for entry, notice of presentation waived. Signature of Child Signature of Child222s Lawyer Print Name WSBA No. Signature of Mother Signature of Mother222s Lawyer Pro Se, Advised of Right to Counsel Print Name WSBA No. Signature of Father Signature of Father222s Lawyer Pro Se, Advised of Right to Counsel Print Name WSBA No. Signature of Guardian or Legal Custodian Signature of Guardian or Legal Custodian222s Lawyer Pro Se, Advised of Right to Counsel Print Name WSBA No. Signature of Child222s GAL Signature of Lawyer for the Child222s GAL Print Name Print Name WSBA No. American LegalNet, Inc. www.FormsWorkFlow.com Or/Auth re Health Care/Edu (ORHCE) - Page 3 of 3 WPF JU 02.0240 (07/2018) RCW 74.13.550 -.590 Signature of DCYF Representative Signature of DCYF Representative222s Lawyer Print Name Print Name WSBA No. Signature of Tribal Representative Signature Print Name Print Name WSBA No. Lawyer for State of Washington ) County of ) SS I, Clerk of the above entitled court, do hereby certify that the foregoing instrument is a true and correct copy of the original now on file in my office. In witness whereof, I hereunto set my hand and the seal of said court this day of 20 . , Clerk By , Deputy. American LegalNet, Inc. www.FormsWorkFlow.com





