Last updated: 7/30/2008
Owners Affidavit
Start Your Free Trial $ 13.99What you get:
- Instant access to fillable Microsoft Word or PDF forms.
- Minimize the risk of using outdated forms and eliminate rejected fillings.
- Largest forms database in the USA with more than 80,000 federal, state and agency forms.
- Download, edit, auto-fill multiple forms at once in MS Word using our Forms Workflow Ribbon
- Trusted by 1,000s of Attorneys and Legal Professionals
Description
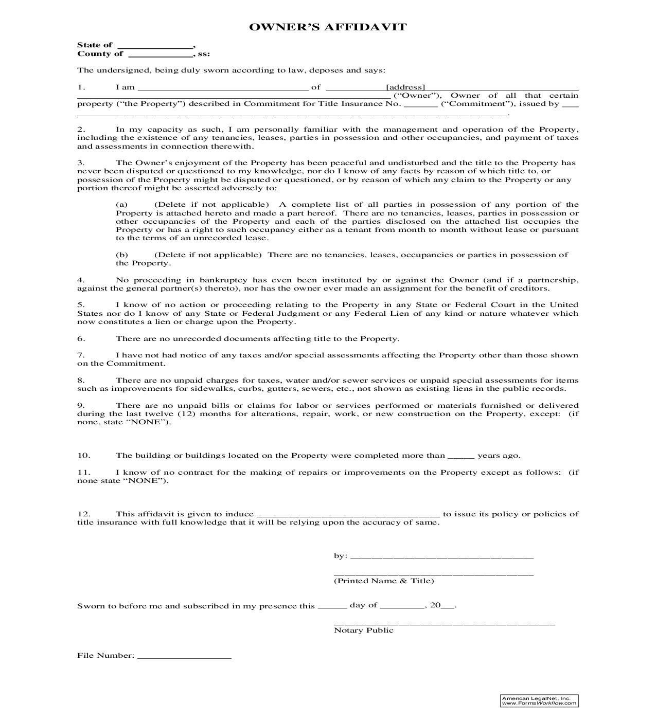
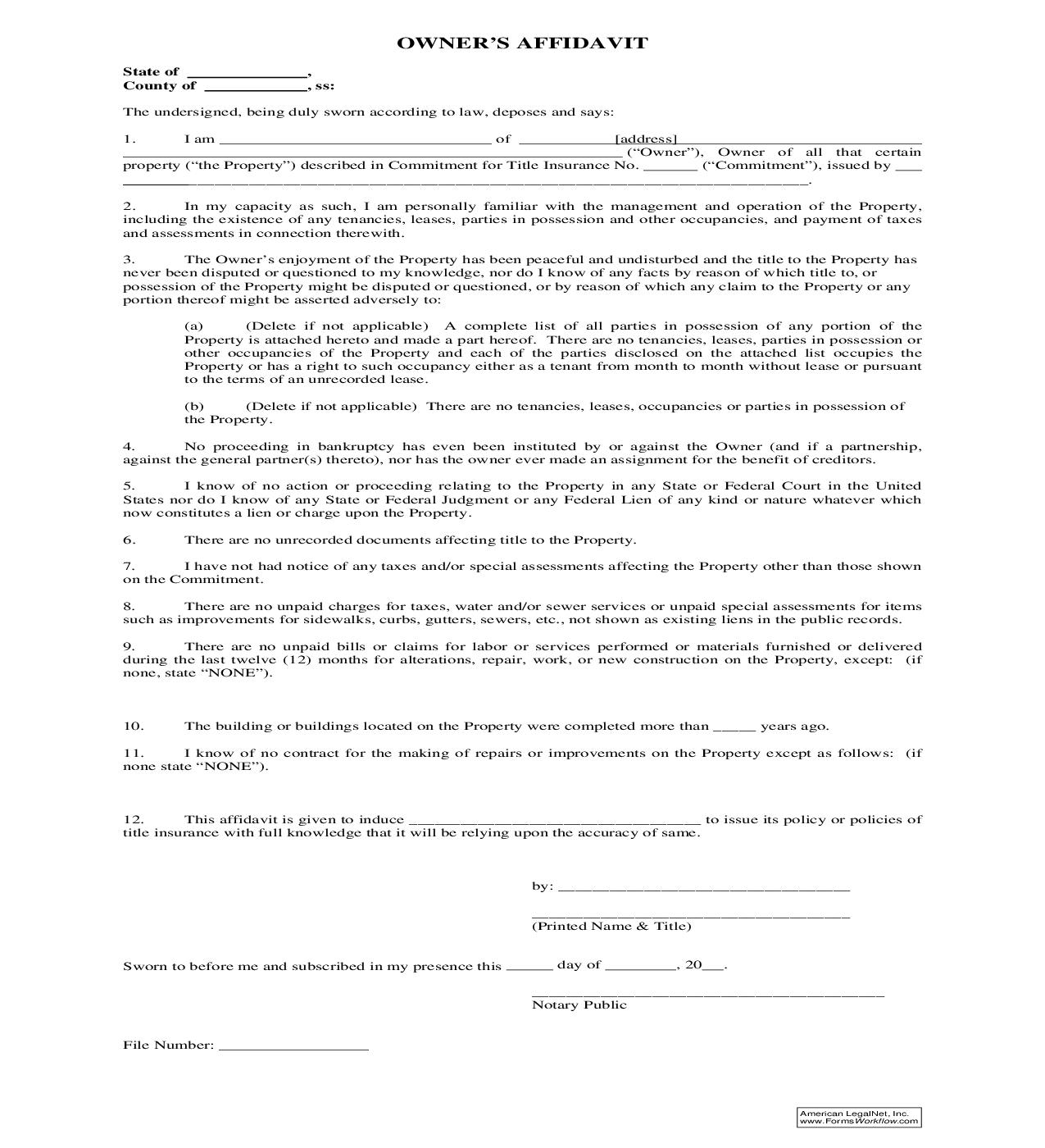
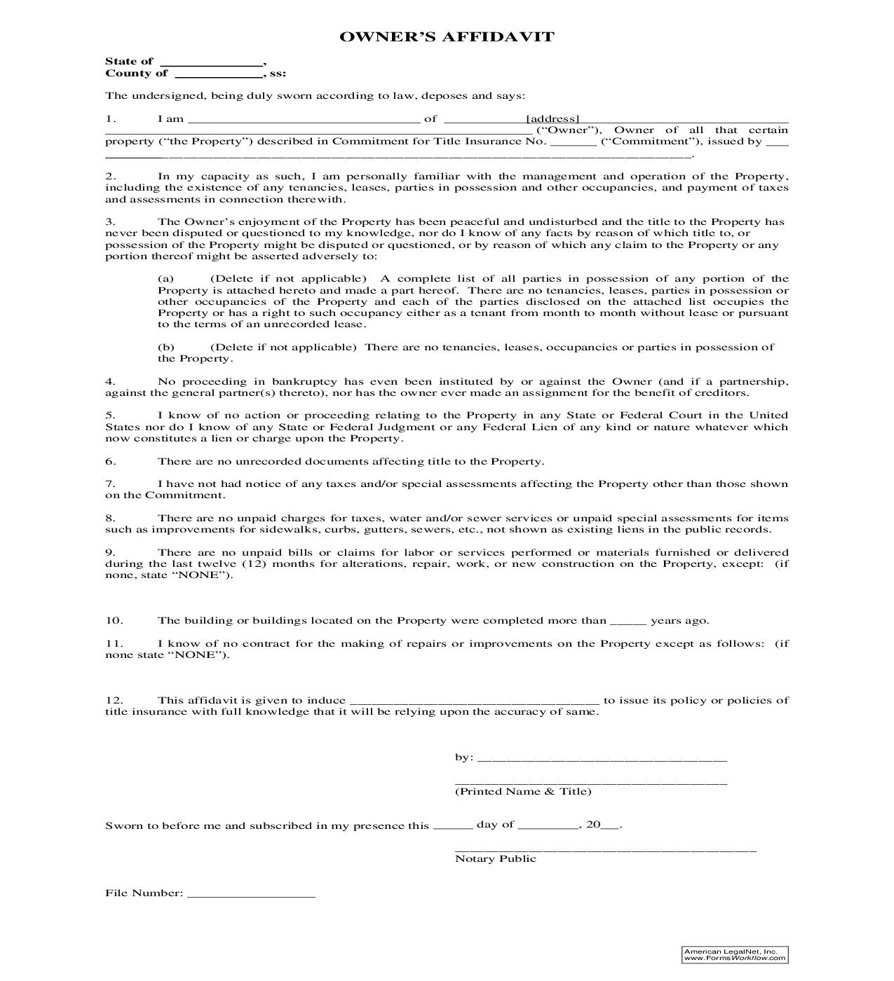
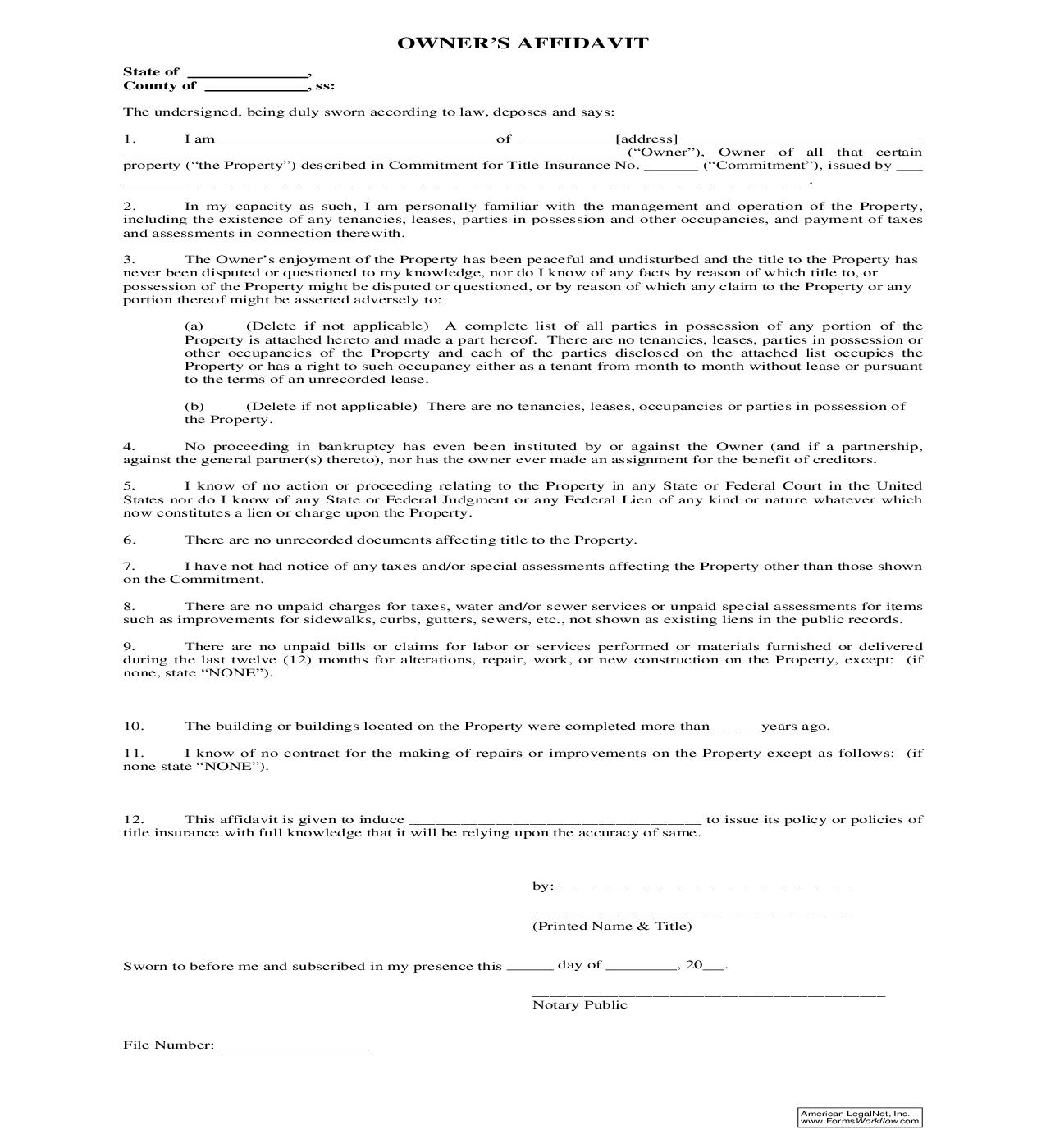
OWNER'S AFFIDAVIT State of County of , , ss: The undersigned, being duly sworn according to law, deposes and says: [address] ("Owner"), Owner of all that certain ("Commitment"), issued by property ("the Property") described in Commitment for Title Insurance No. ________________________________________________________________________. 1. I am 2. In my capacity as such, I am personally familiar with the management and operation of the Property, including the existence of any tenancies, leases, parties in possession and other occupancies, and payment of taxes and assessments in connection therewith. 3. The Owner's enjoyment of the Property has been peaceful and undisturbed and the title to the Property has never been disputed or questioned to my knowledge, nor do I know of any facts by reason of which title to, or possession of the Property might be disputed or questioned, or by reason of which any claim to the Property or any portion thereof might be asserted adversely to: (a) (Delete if not applicable) A complete list of all parties in possession of any portion of the Property is attached hereto and made a part hereof. There are no tenancies, leases, parties in possession or other occupancies of the Property and each of the parties disclosed on the attached list occupies the Property or has a right to such occupancy either as a tenant from month to month without lease or pursuant to the terms of an unrecorded lease. (b) (Delete if not applicable) There are no tenancies, leases, occupancies or parties in possession of the Property. 4. No proceeding in bankruptcy has even been instituted by or against the Owner (and if a partnership, against the general partner(s) thereto), nor has the owner ever made an assignment for the benefit of creditors. 5. I know of no action or proceeding relating to the Property in any State or Federal Court in the United States nor do I know of any State or Federal Judgment or any Federal Lien of any kind or nature whatever which now constitutes a lien or charge upon the Property. 6. There are no unrecorded documents affecting title to the Property. of 7. I have not had notice of any taxes and/or special assessments affecting the Property other than those shown on the Commitment. 8. There are no unpaid charges for taxes, water and/or sewer services or unpaid special assessments for items such as improvements for sidewalks, curbs, gutters, sewers, etc., not shown as existing liens in the public records. 9. There are no unpaid bills or claims for labor or services performed or materials furnished or delivered during the last twelve (12) months for alterations, repair, work, or new construction on the Property, except: (if none, state "NONE"). 10. The building or buildings located on the Property were completed more than _____ years ago. 11. I know of no contract for the making of repairs or improvements on the Property except as follows: (if none state "NONE"). 12. This affidavit is given to induce __________________________________ to issue its policy or policies of title insurance with full knowledge that it will be relying upon the accuracy of same. by: __________________________________ _____________________________________ (Printed Name & Title) day of , 20 . Sworn to before me and subscribed in my presence this _________________________________________ Notary Public File Number: American LegalNet, Inc. www.FormsWorkflow.com





