Last updated: 8/3/2015
Request For Thirty-Day Extension To Receive Credit Counseling
Start Your Free Trial $ 13.99What you get:
- Instant access to fillable Microsoft Word or PDF forms.
- Minimize the risk of using outdated forms and eliminate rejected fillings.
- Largest forms database in the USA with more than 80,000 federal, state and agency forms.
- Download, edit, auto-fill multiple forms at once in MS Word using our Forms Workflow Ribbon
- Trusted by 1,000s of Attorneys and Legal Professionals
Description
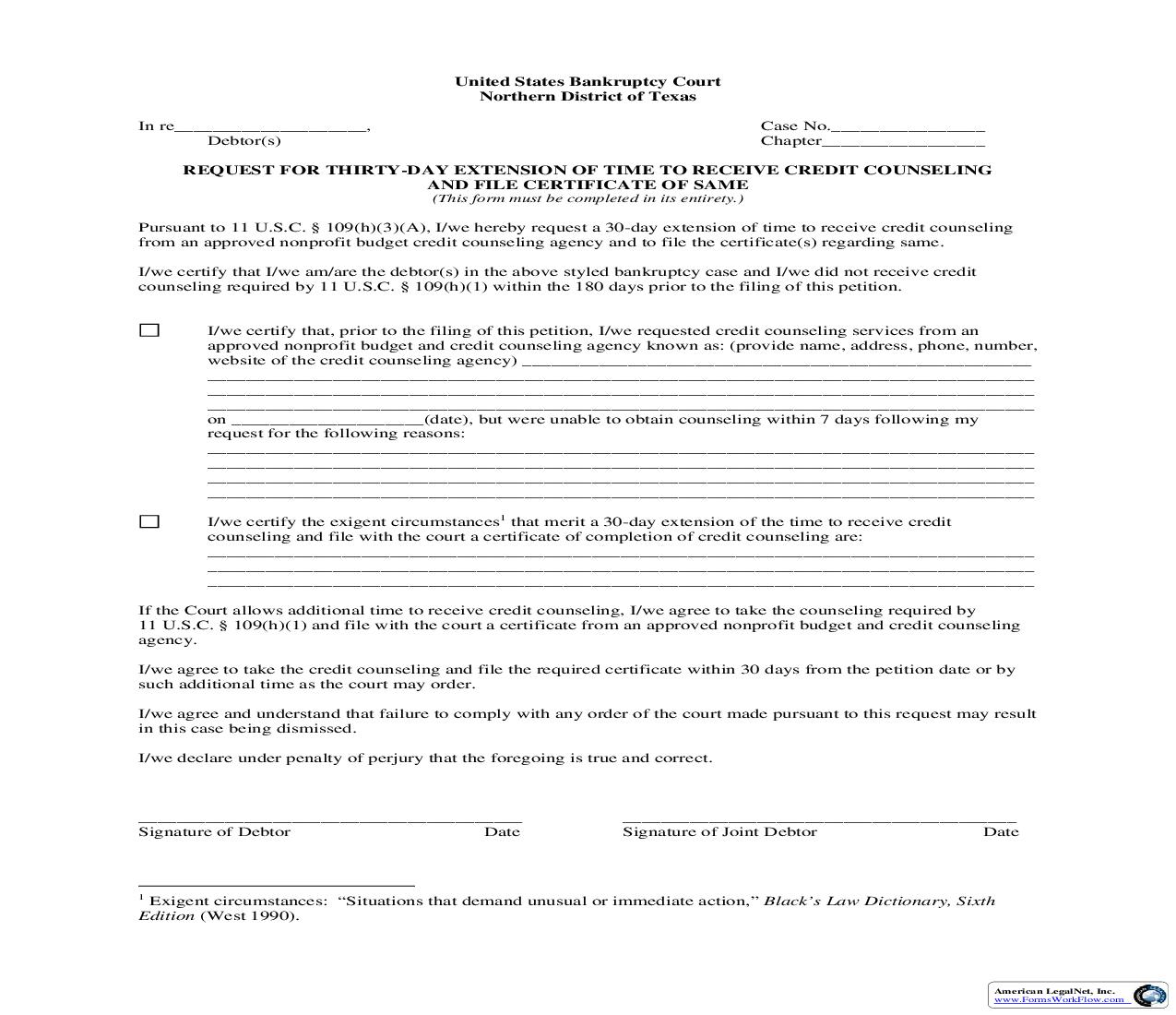
United States Bankruptcy Court Northern District of Texas In re____________________, Debtor(s) Case No.________________ Chapter_________________ REQUEST FOR THIRTY-DAY EXTENSION OF TIME TO RECEIVE CREDIT COUNSELING AND FILE CERTIFICATE OF SAME (This form must be completed in its entirety.) Pursuant to 11 U.S.C. § 109(h)(3)(A), I/we hereby request a 30-day extension of time to receive credit counseling from an approved nonprofit budget credit counseling agency and to file the certificate(s) regarding same. I/we certify that I/we am/are the debtor(s) in the above styled bankruptcy case and I/we did not receive credit counseling required by 11 U.S.C. § 109(h)(1) within the 180 days prior to the filing of this petition. I/we certify that, prior to the filing of this petition, I/we requested credit counseling services from an approved nonprofit budget and credit counseling agency known as: (provide name, address, phone, number, website of the credit counseling agency) _____________________________________________________ ______________________________________________________________________________________ ______________________________________________________________________________________ ______________________________________________________________________________________ on ____________________(date), but were unable to obtain counseling within 7 days following my request for the following reasons: ______________________________________________________________________________________ ______________________________________________________________________________________ ______________________________________________________________________________________ ______________________________________________________________________________________ I/we certify the exigent circumstances1 that merit a 30-day extension of the time to receive credit counseling and file with the court a certificate of completion of credit counseling are: ______________________________________________________________________________________ ______________________________________________________________________________________ ______________________________________________________________________________________ If the Court allows additional time to receive credit counseling, I/we agree to take the counseling required by 11 U.S.C. § 109(h)(1) and file with the court a certificate from an approved nonprofit budget and credit counseling agency. I/we agree to take the credit counseling and file the required certificate within 30 days from the petition date or by such additional time as the court may order. I/we agree and understand that failure to comply with any order of the court made pursuant to this request may result in this case being dismissed. I/we declare under penalty of perjury that the foregoing is true and correct. ________________________________________ Signature of Debtor Date _________________________________________ Signature of Joint Debtor Date 1 Exigent circumstances: "Situations that demand unusual or immediate action," Black's Law Dictionary, Sixth Edition (West 1990). American LegalNet, Inc. www.FormsWorkFlow.com
Related forms
-
Alternative Dispute Resolution Summary
Texas/Federal/Bankruptcy Court/Northern District/ -
Appearance Of Child Support Creditor Or Representative
Texas/Federal/Bankruptcy Court/Northern District/ -
Post Confirmation Report And Application For Final Decree
Texas/Federal/Bankruptcy Court/Northern District/ -
Request For Copies Of Court Files Or Records
Texas/Federal/Bankruptcy Court/Northern District/ -
Summary Of Exhibits And Certificate Of Service
Texas/Federal/Bankruptcy Court/Northern District/ -
Writ Of Execution To The US Marshal
Texas/Federal/Bankruptcy Court/Northern District/ -
Verification Of Mailing List
Texas/Federal/Bankruptcy Court/Northern District/ -
Declaration Electronic Filing Of Bankruptcy Petiton And Master Mailing List (Matrix)
Texas/Federal/Bankruptcy Court/Northern District/ -
Declaration Electronic Filing Of Bankruptcy Petiton Lists Statements And Schedules
Texas/Federal/Bankruptcy Court/Northern District/ -
Notice Of Designation As Complex Chapter 11 Bankruptcy Case (Exhibit A)
Texas/Federal/Bankruptcy Court/Northern District/ -
Order Denying Complex Case Treatment (Exhibit C)
Texas/Federal/Bankruptcy Court/Northern District/ -
Order Granting Complex Chapter 11 Bankruptcy Case Treatment (Exhibit D)
Texas/Federal/Bankruptcy Court/Northern District/ -
Procedures For Obtaining Hearings In Complex Chapter 11 Cases (Exhibit E)
Texas/Federal/Bankruptcy Court/Northern District/ -
Request For Emergency Consideration Of Certain First Day Matters (Exhibit B)
Texas/Federal/Bankruptcy Court/Northern District/ -
Request For Thirty-Day Extension To Receive Credit Counseling
Texas/Federal/Bankruptcy Court/Northern District/ -
Statement Of Trascript Redaction
Texas/Federal/Bankruptcy Court/Northern District/ -
Proof Of Claim Addendum For Residential Home Mortgages Paid Through The Chapter 13 Trustee
Texas/Federal/Bankruptcy Court/Northern District/ -
Order Reopening Chapter 7 Proceeding
Texas/Federal/Bankruptcy Court/Northern District/ -
Order Reopening For Limited Purpose Of Enforcing The Order Of Discharge
Texas/Federal/Bankruptcy Court/Northern District/ -
Order Authorizing Employment Of Claims Agent
Texas/Federal/Bankruptcy Court/Northern District/ -
Order Regarding Filing Of Pleadings And Directing Joint Administration Of Cases
Texas/Federal/Bankruptcy Court/Northern District/ -
Abstract Of Judgment
Texas/Federal/Bankruptcy Court/Northern District/ -
Application For Payment Of Unclaimed Funds
Texas/Federal/Bankruptcy Court/Northern District/ -
Chapter 11 Post-Confirmation Order
Texas/Federal/Bankruptcy Court/Northern District/ -
Debtors Request For Permanent Exemption From Credit Counseling
Texas/Federal/Bankruptcy Court/Northern District/ -
Negative Notice Regarding Contested Matter
Texas/Federal/Bankruptcy Court/Northern District/ -
Request To View Exhibits
Texas/Federal/Bankruptcy Court/Northern District/ -
Order Reopening Chapter 13 Proceeding
Texas/Federal/Bankruptcy Court/Northern District/ -
Motion For Setting And Request For Expedited Hearing (Adversary)
Texas/Federal/Bankruptcy Court/Northern District/ -
Notice To Reserve Funds
Texas/Federal/Bankruptcy Court/Northern District/ -
Notice Of Transfer Of Servicing Or Name Or Address Change
Texas/Federal/Bankruptcy Court/Northern District/ -
Motion For Setting And Request For Expedited Hearing (Bankruptcy)
Texas/Federal/Bankruptcy Court/Northern District/ -
Order Regarding Request For Expedited Hearing (Adversary)
Texas/Federal/Bankruptcy Court/Northern District/ -
Order Regarding Request For Expedited Hearing (Bankruptcy)
Texas/Federal/Bankruptcy Court/Northern District/ -
Checklist For Lengthy Motions And Orders
Texas/Federal/Bankruptcy Court/Northern District/ -
Motion To Approve Loan Modification Agreement
Texas/Federal/Bankruptcy Court/Northern District/ -
Motion To Terminate Loan Modification Matter
Texas/Federal/Bankruptcy Court/Northern District/ -
Notice Of Extension Of A Loan Modification Matter
Texas/Federal/Bankruptcy Court/Northern District/ -
Notice Of Non Compliance
Texas/Federal/Bankruptcy Court/Northern District/ -
Notice Of Trial Period Payments
Texas/Federal/Bankruptcy Court/Northern District/ -
Notice Substituting Servicer
Texas/Federal/Bankruptcy Court/Northern District/ -
Order Approving Loan Modification Agreement
Texas/Federal/Bankruptcy Court/Northern District/ -
Order Approving Trial Period Payments
Texas/Federal/Bankruptcy Court/Northern District/ -
Order Denying Approval Of Loan Modification Agreement
Texas/Federal/Bankruptcy Court/Northern District/ -
Application For Admission Pro Hac Vice (Adv)
Texas/Federal/Bankruptcy Court/Northern District/ -
Application For Admission Pro Hac Vice
Texas/Federal/Bankruptcy Court/Northern District/ -
Motion To Extend The Duration Of Loan Modification Matter
Texas/Federal/Bankruptcy Court/Northern District/ -
Initital Notice Of Loan Modification Matter
Texas/Federal/Bankruptcy Court/Northern District/ -
Motion To Add An Additional Party To Loan Modification Matter
Texas/Federal/Bankruptcy Court/Northern District/ -
Consent To Participate In Loan Modification Matter
Texas/Federal/Bankruptcy Court/Northern District/ -
Debtors Chapter 13 Plan
Texas/Federal/Bankruptcy Court/Northern District/ -
Order Directing Substantive Consolidation Of Cases
Texas/Federal/Bankruptcy Court/Northern District/ -
Exemplification Certificate
Texas/Federal/Bankruptcy Court/Northern District/ -
Audio Or Transcript Order
Texas/Federal/Bankruptcy Court/Northern District/ -
Debtor(s) Certification And Motion For Entry Of Chapter 13 Discharge (Dallas)
Texas/Federal/Bankruptcy Court/Northern District/ -
Debtor(s) Certification And Motion For Entry Of Chapter 13 Discharge (Abilene)
Texas/Federal/Bankruptcy Court/Northern District/ -
Certified Copies Request Form
Texas/Federal/Bankruptcy Court/Northern District/ -
Bankruptcy Case Information Search Request
Texas/Federal/Bankruptcy Court/Northern District/ -
Application For Search Of Bankruptcy Records
Texas/Federal/Bankruptcy Court/Northern District/
Form Preview
Contact Us
Success: Your message was sent.
Thank you!




