Last updated: 6/14/2007
Cigarette Distributors Affidavit {AFF-2}
Start Your Free Trial $ 13.99What you get:
- Instant access to fillable Microsoft Word or PDF forms.
- Minimize the risk of using outdated forms and eliminate rejected fillings.
- Largest forms database in the USA with more than 80,000 federal, state and agency forms.
- Download, edit, auto-fill multiple forms at once in MS Word using our Forms Workflow Ribbon
- Trusted by 1,000s of Attorneys and Legal Professionals
Description
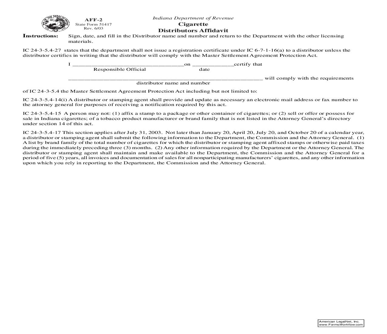
AFF-2 State Form 51417 Rev. 6/03 Indiana Department of Revenue Cigarette Distributors Affidavit Instructions: Sign, date, and fill in the Distributor name and number and return to the Department with the other licensing materials. IC 24-3-5.4-27 states that the department shall not issue a registration certificate under IC 6-7-1-16(a) to a distributor unless the distributor certifies in writing that the distributor will comply with the Master Settlement Agreement Protection Act. I ___________________________________on _____________certify that Responsible Official date _____________________________________________________________ will comply with the requirements distributor name and number of IC 24-3-5.4 the Master Settlement Agreement Protection Act including but not limited to: IC 24-3-5.4-14(i) A distributor or stamping agent shall provide and update as necessary an electronic mail address or fax number to the attorney general for purposes of receiving a notification required by this act. IC 24-3-5.4-15 A person may not: (1) affix a stamp to a package or other container of cigarettes; or (2) sell or offer or possess for sale in Indiana cigarettes; of a tobacco product manufacturer or brand family that is not listed in the Attorney General's directory under section 14 of this act. IC 24-3-5.4-17 This section applies after July 31, 2003. Not later than January 20, April 20, July 20, and October 20 of a calendar year, a distributor or stamping agent shall submit the following information to the Department, the Commission and the Attorney General. (1) A list by brand family of the total number of cigarettes for which the distributor or stamping agent affixed stamps or otherwise paid taxes during the immediately preceding three (3) months. (2) Any other information required by the Department or the Attorney General. The distributor or stamping agent shall maintain and make available to the Department, the Commission and the Attorney General for a period of five (5) years, all invoices and documentation of sales for all nonparticipating manufacturers' cigarettes, and any other information upon which you rely in reporting to the Department, the Commission and the Attorney General. American LegalNet, Inc. www.FormsWorkflow.com





