Last updated: 1/3/2007
Bail Bond {Rule 2.37 Form 1}
Start Your Free Trial $ 13.99What you get:
- Instant access to fillable Microsoft Word or PDF forms.
- Minimize the risk of using outdated forms and eliminate rejected fillings.
- Largest forms database in the USA with more than 80,000 federal, state and agency forms.
- Download, edit, auto-fill multiple forms at once in MS Word using our Forms Workflow Ribbon
- Trusted by 1,000s of Attorneys and Legal Professionals
Description
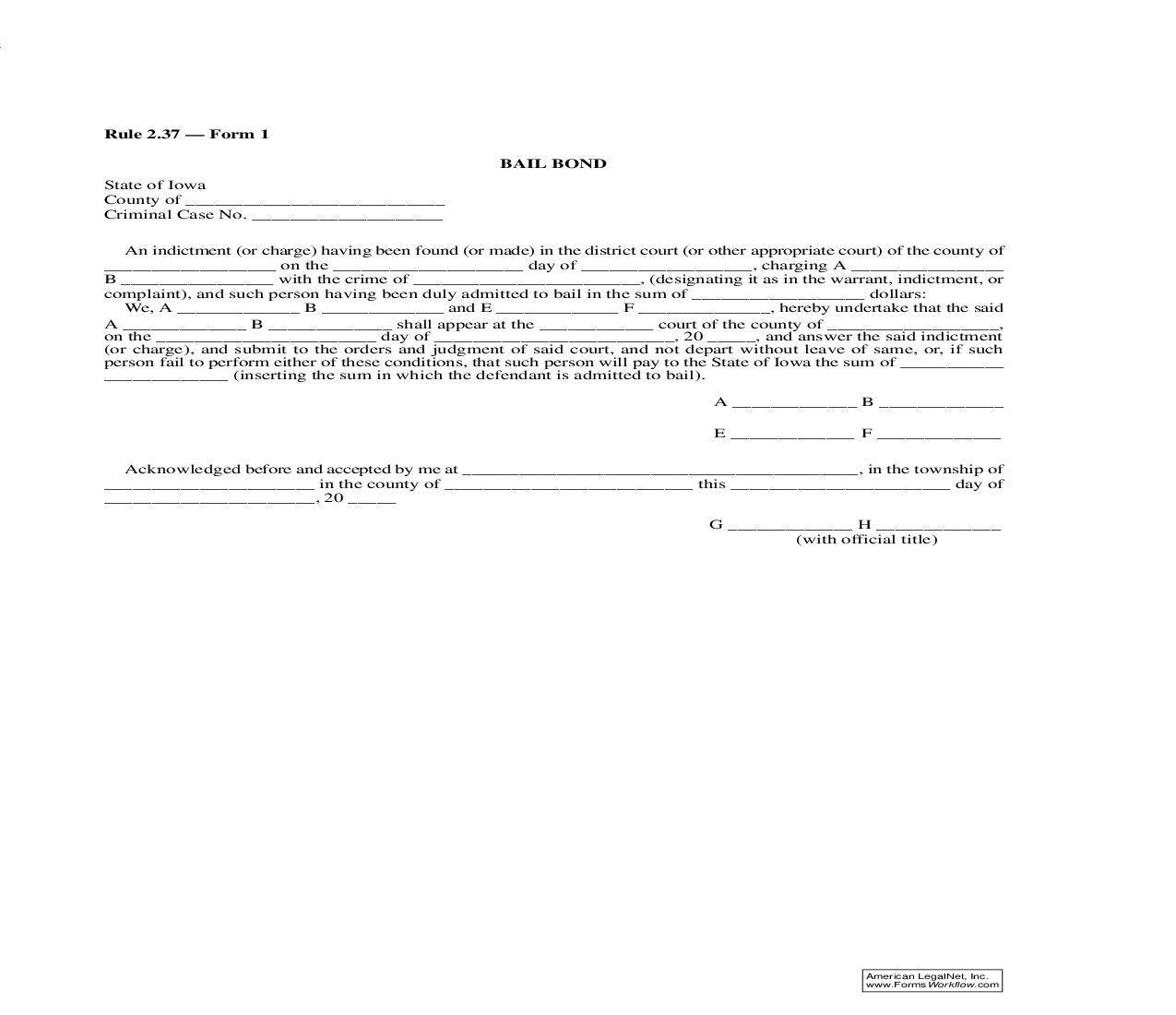
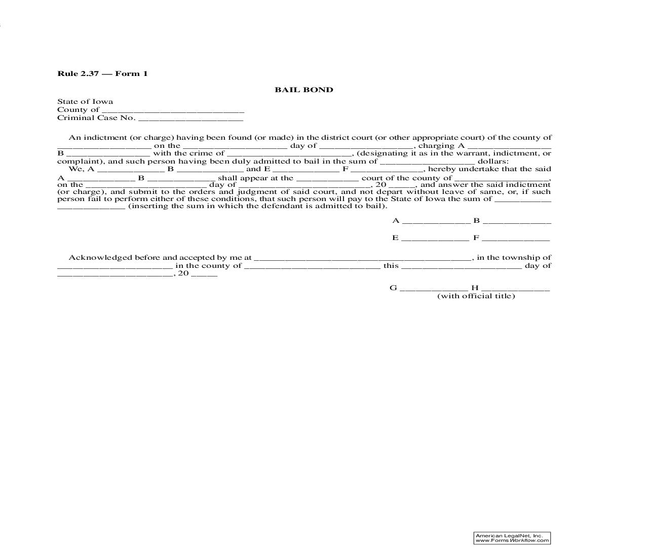
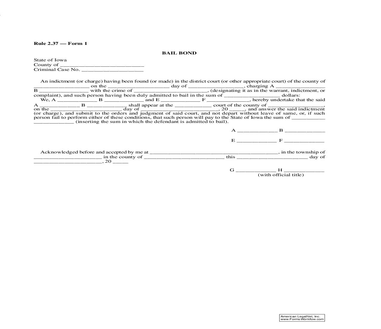
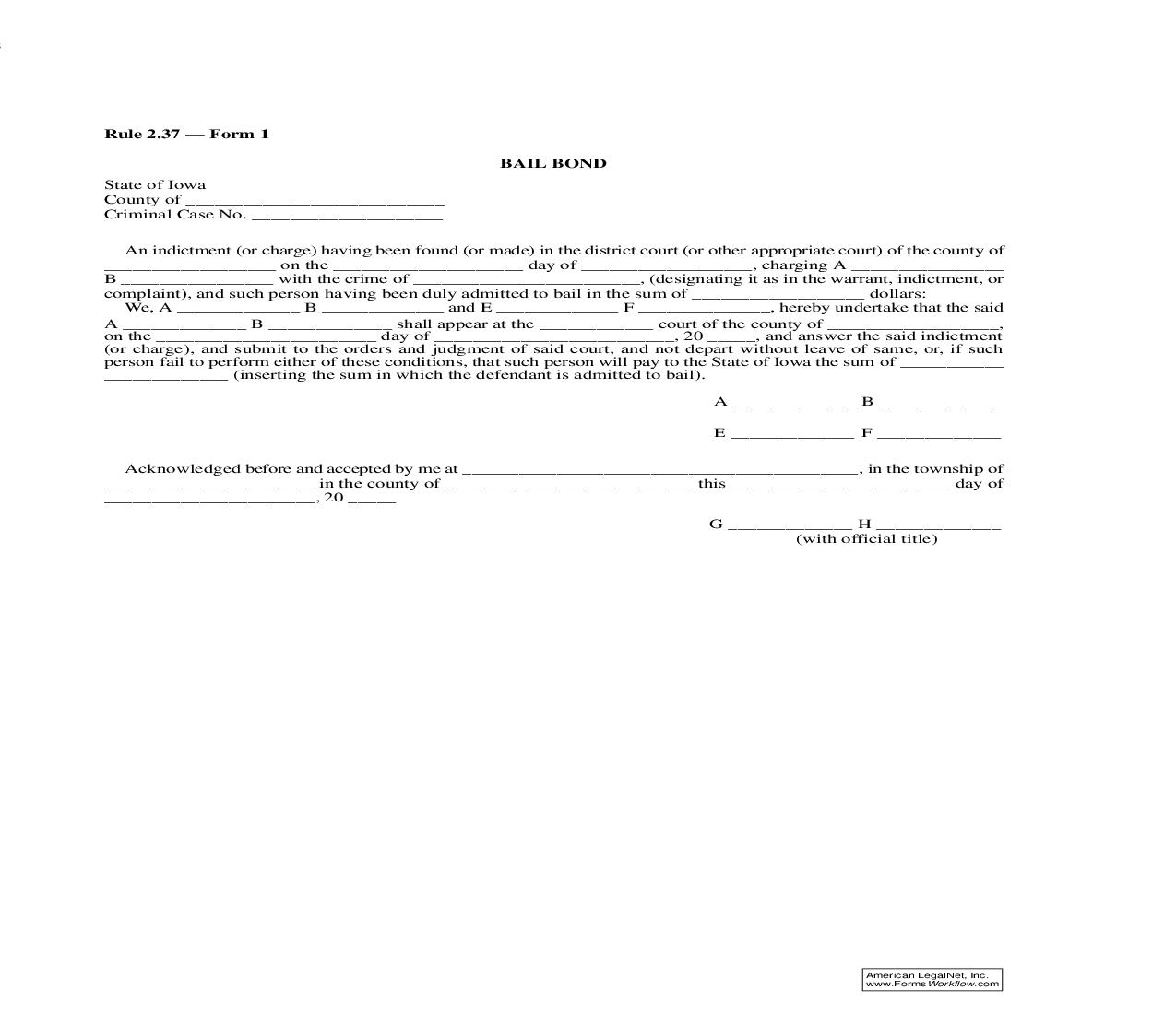
Rule 2.37 -- Form 1 February 2002 BAIL BOND State of Iowa County of ___________________________ Criminal Case No. ____________________ An indictment (or charge) having been found (or made) in the district court (or other appropriate court) of the county of __________________ on the ____________________ day of __________________, charging A ________________ B ________________ with the crime of ________________________, (designating it as in the warrant, indictment, or complaint), and such person having been duly admitted to bail in the sum of __________________ dollars: We, A _____________ B _____________ and E _____________ F ______________, hereby undertake that the said A _____________ B _____________ shall appear at the ____________ court of the county of __________________, on the _______________________ day of _________________________, 20 _____, and answer the said indictment (or charge), and submit to the orders and judgment of said court, and not depart without leave of same, or, if such person fail to perform either of these conditions, that such person will pay to the State of Iowa the sum of ___________ _____________ (inserting the sum in which the defendant is admitted to bail). A _____________ B _____________ E _____________ F _____________ Acknowledged before and accepted by me at __________________________________________, in the township of ______________________ in the county of __________________________ this _______________________ day of ______________________, 20 _____ G _____________ H _____________ (with official title) American LegalNet, Inc. www.FormsWorkflow.com





