Last updated: 4/21/2017
Form 6 Certificate Of Compliance With Rule 32(a) {6}
Start Your Free Trial $ 13.99What you get:
- Instant access to fillable Microsoft Word or PDF forms.
- Minimize the risk of using outdated forms and eliminate rejected fillings.
- Largest forms database in the USA with more than 80,000 federal, state and agency forms.
- Download, edit, auto-fill multiple forms at once in MS Word using our Forms Workflow Ribbon
- Trusted by 1,000s of Attorneys and Legal Professionals
Description
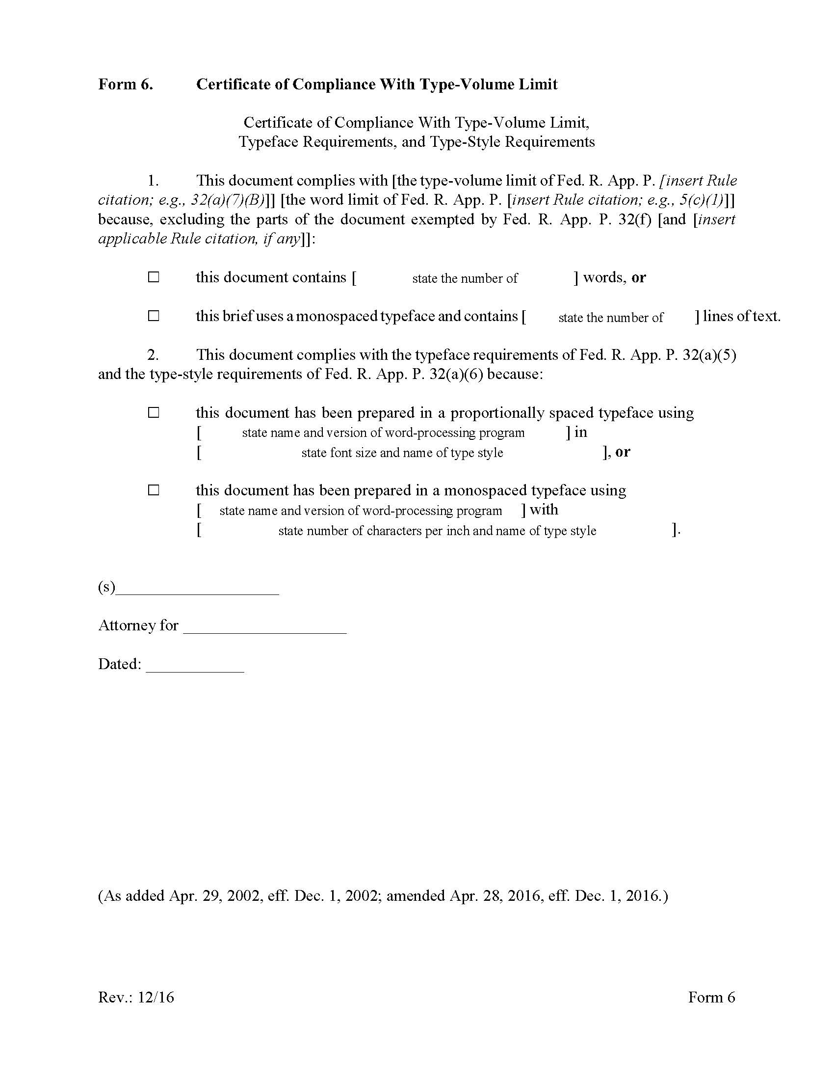
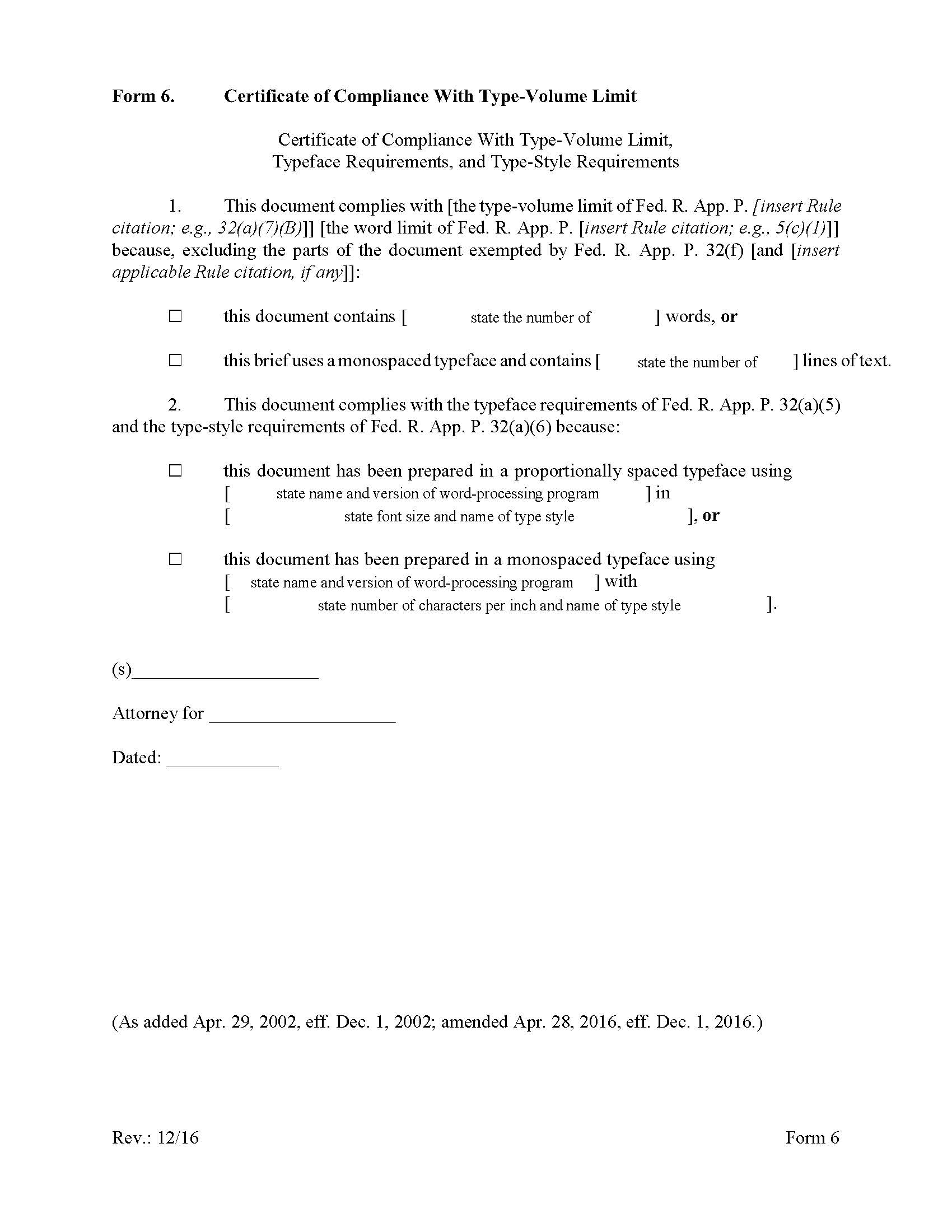
Form 6 - CERTIFICATE OF COMPLIANCE WITH TYPE-VOLUME LIMIT, TYPEFACE REQUIREMENTS, AND TYPE-STYLE REQUIREMENTS. This form is used to affirm that a legal document meets specific formatting standards required by the Federal Rules of Appellate Procedure. It confirms whether the document adheres to word limits or type-volume limits, excluding any exempted parts. The form also certifies compliance with typeface requirements (proportionally spaced or monospaced) and type-style requirements (font size, style). It includes the signature and date of the attorney or party responsible for preparing the document. This certificate ensures consistency and clarity in legal submissions to appellate courts. www.FormsWorkflow.com
Related forms
-
Civil Appeal Statement
Official Federal Forms/Circuit Court Of Appeals/11th Circuit Court Of Appeals/ -
Time And Exense Worksheets For CJA Appointed Counsel
Official Federal Forms/Circuit Court Of Appeals/11th Circuit Court Of Appeals/ -
Form To Accompany Application For Attorneys Fees
Official Federal Forms/Circuit Court Of Appeals/11th Circuit Court Of Appeals/ -
Form 3 Petition For Review Of Order Of An Agency Board Commission Or Officer
Official Federal Forms/Circuit Court Of Appeals/11th Circuit Court Of Appeals/ -
Form 6 Certificate Of Compliance With Rule 32(a)
Official Federal Forms/Circuit Court Of Appeals/11th Circuit Court Of Appeals/ -
Private Mediator Procedures (Request For Use Of Private Mediation-Private Mediators Report)
Official Federal Forms/Circuit Court Of Appeals/11th Circuit Court Of Appeals/ -
Deans Certification For Law Student Legal Representation
Official Federal Forms/Circuit Court Of Appeals/11th Circuit Court Of Appeals/ -
Law Student And Supervising Attorney Of Record Certifications
Official Federal Forms/Circuit Court Of Appeals/11th Circuit Court Of Appeals/ -
Partys Consent For Law Student Representation
Official Federal Forms/Circuit Court Of Appeals/11th Circuit Court Of Appeals/ -
Form 4 Affidavit Accompanying Motion for Permission to Appeal In Forma Pauperis
Official Federal Forms/Circuit Court Of Appeals/11th Circuit Court Of Appeals/ -
Form 7 Declaration Of Inmate Filing
Official Federal Forms/Circuit Court Of Appeals/11th Circuit Court Of Appeals/ -
Application For CJA or Non-CJA Appointments
Official Federal Forms/Circuit Court Of Appeals/11th Circuit Court Of Appeals/ -
Bill Of Costs (Eleventh Circuit COA)
Official Federal Forms/Circuit Court Of Appeals/11th Circuit Court Of Appeals/ -
Certificate Of Service (Pro Se)
Official Federal Forms/Circuit Court Of Appeals/11th Circuit Court Of Appeals/ -
Motion For Permission To Appeal In Forma Pauperis And Affidavit
Official Federal Forms/Circuit Court Of Appeals/11th Circuit Court Of Appeals/ -
Appearance Of Counsel Form
Official Federal Forms/Circuit Court Of Appeals/11th Circuit Court Of Appeals/ -
Form 2 Notice Of Appeal To A Court Of Appeals From A Decision Of The United States Tax Court
Official Federal Forms/Circuit Court Of Appeals/11th Circuit Court Of Appeals/ -
Form 1B Notice Of Appeal To A Court Of Appeals From An Appealable Order Of A District Court
Official Federal Forms/Circuit Court Of Appeals/11th Circuit Court Of Appeals/ -
Form 1A Notice Of Appeal To Court Of Appeals From A Judgment Of A District Court
Official Federal Forms/Circuit Court Of Appeals/11th Circuit Court Of Appeals/ -
Application To Appear Pro Hac Vice
Official Federal Forms/Circuit Court Of Appeals/11th Circuit Court Of Appeals/ -
Certificate Of Interested Persons And Corporate Disclosure Statement (Pro Se)
Official Federal Forms/Circuit Court Of Appeals/11th Circuit Court Of Appeals/ -
Application For Leave To File A Second Or Successive Motion To Vacate
Official Federal Forms/Circuit Court Of Appeals/11th Circuit Court Of Appeals/ -
Application For Leave To File A Second Or Successive Habeas Corpus Petition
Official Federal Forms/Circuit Court Of Appeals/11th Circuit Court Of Appeals/ -
Request For A Certificate Of Good Standing
Official Federal Forms/Circuit Court Of Appeals/th Circuit Court Of Appeals/ -
Request For A Duplicate Certificate Of Admission
Official Federal Forms/Circuit Court Of Appeals/th Circuit Court Of Appeals/ -
Application For Extension Of Time To File Transcript And For Waiver Of Fee Reduction
Official Federal Forms/Circuit Court Of Appeals/11th Circuit Court Of Appeals/ -
Bar Membership Renewal Form
Official Federal Forms/Circuit Court Of Appeals/11th Circuit Court Of Appeals/ -
Application For Admission To The Bar (Eleventh Circuit COA)
Official Federal Forms/Circuit Court Of Appeals/11th Circuit Court Of Appeals/ -
Eleventh Circuit Transcript Order Form
Official Federal Forms/Circuit Court Of Appeals/11th Circuit Court Of Appeals/
Form Preview
Contact Us
Success: Your message was sent.
Thank you!




