Last updated: 3/29/2017
Notice of Objection to Claim (revised Official Form 20B)
Start Your Free Trial $ 13.99What you get:
- Instant access to fillable Microsoft Word or PDF forms.
- Minimize the risk of using outdated forms and eliminate rejected fillings.
- Largest forms database in the USA with more than 80,000 federal, state and agency forms.
- Download, edit, auto-fill multiple forms at once in MS Word using our Forms Workflow Ribbon
- Trusted by 1,000s of Attorneys and Legal Professionals
Description
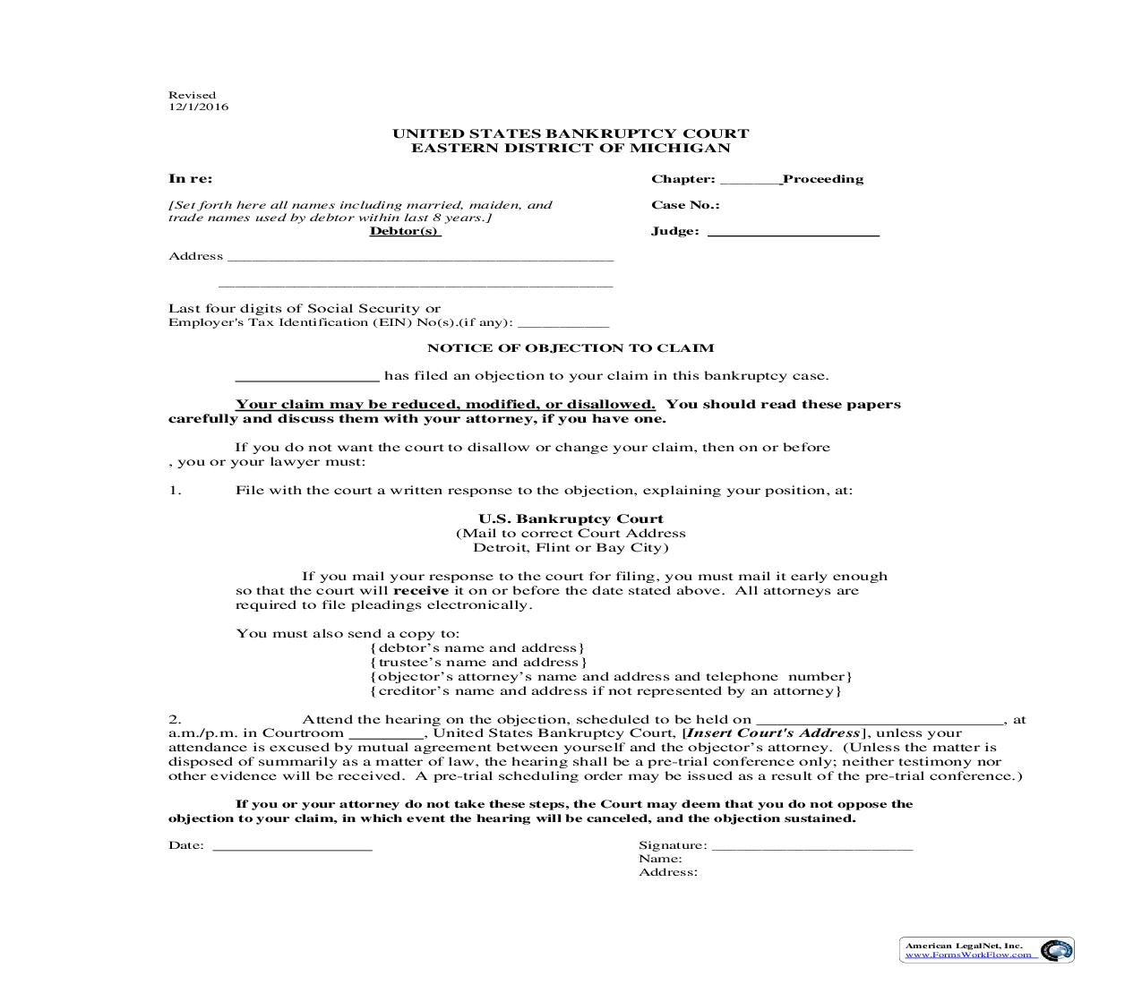
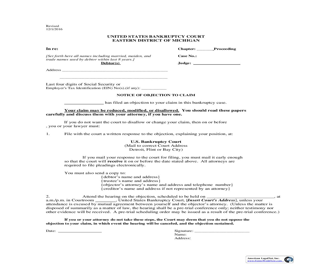
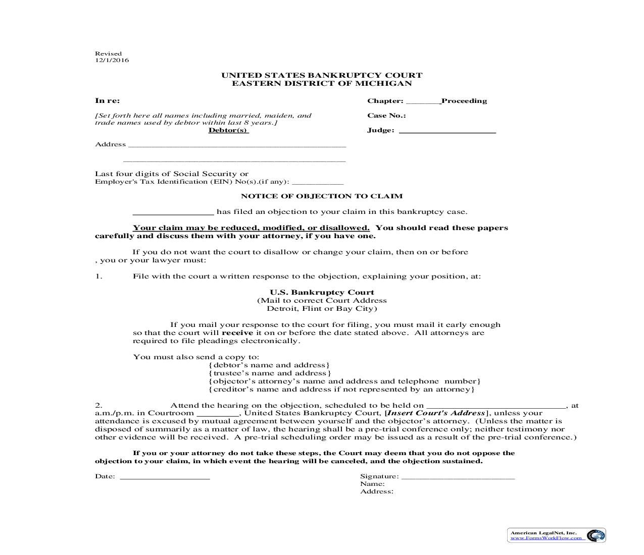
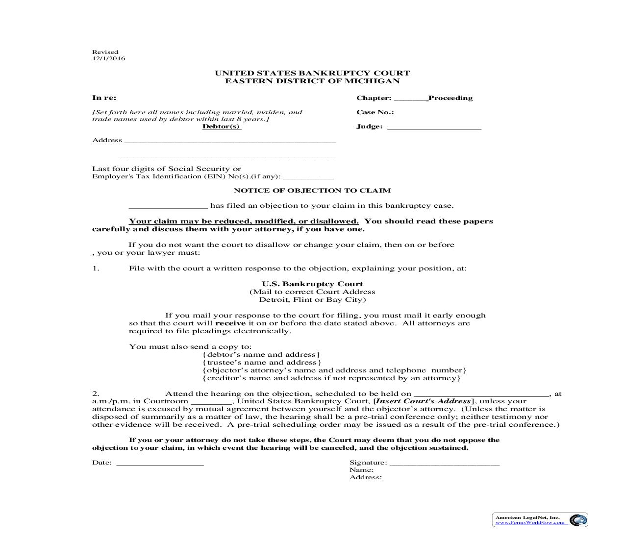
Revised 12/1/2016 UNITED STATES BANKRUPTCY COURT EASTERN DISTRICT OF MICHIGAN In re: [Set forth here all names including married, maiden, and trade names used by debtor within last 8 years.] Debtor(s) Address ______________________________________________ _______________________________________________ Chapter: _______ Proceeding Case No.: Judge: Last four digits of Social Security or Employer's Tax Identification (EIN) No(s).(if any): ___________ NOTICE OF OBJECTION TO CLAIM has filed an objection to your claim in this bankruptcy case. Your claim may be reduced, modified, or disallowed. You should read these papers carefully and discuss them with your attorney, if you have one. If you do not want the court to disallow or change your claim, then on or before , you or your lawyer must: 1. File with the court a written response to the objection, explaining your position, at: U.S. Bankruptcy Court (Mail to correct Court Address Detroit, Flint or Bay City) If you mail your response to the court for filing, you must mail it early enough so that the court will receive it on or before the date stated above. All attorneys are required to file pleadings electronically. You must also send a copy to: {debtor's name and address} {trustee's name and address} {objector's attorney's name and address and telephone number} {creditor's name and address if not represented by an attorney} 2. Attend the hearing on the objection, scheduled to be held on , at a.m./p.m. in Courtroom , United States Bankruptcy Court, [Insert Court's Address], unless your attendance is excused by mutual agreement between yourself and the objector's attorney. (Unless the matter is disposed of summarily as a matter of law, the hearing shall be a pre-trial conference only; neither testimony nor other evidence will be received. A pre-trial scheduling order may be issued as a result of the pre-trial conference.) If you or your attorney do not take these steps, the Court may deem that you do not oppose the objection to your claim, in which event the hearing will be canceled, and the objection sustained. Date: Signature: ________________________ Name: Address: American LegalNet, Inc. www.FormsWorkFlow.com
Related forms
-
Bankruptcy Petition Cover Sheet
Michigan/Federal/USBC Eastern/ -
Report Of Parties Rule 26(f) Conference
Michigan/Federal/USBC Eastern/ -
Statement Of Debtor Regarding Corporate Ownership
Michigan/Federal/USBC Eastern/ -
Statement Of Petition Preparer Pursuant to FRBP 2016(c)
Michigan/Federal/USBC Eastern/ -
Statement Regarding Corporate Ownership (Adversary Proceedings)
Michigan/Federal/USBC Eastern/ -
Declaration Under Penalty of Perjury for Debtor(s) Without an Attorney
Michigan/Federal/USBC Eastern/ -
Notice of Motion or Objection (Form 20A)
Michigan/Federal/USBC Eastern/ -
Notice of Objection to Claim (revised Official Form 20B)
Michigan/Federal/USBC Eastern/ -
Writ of Execution Against Property Form
Michigan/Federal/USBC Eastern/ -
Chapter 13 Model Worksheet - LBR 3015-1(b)2
Michigan/Federal/USBC Eastern/ -
Combined Plan and Disclosure Statement (Judge Tucker)
Michigan/Federal/USBC Eastern/ -
Combined Plan And Disclosure Statement Information And Forms (Judge Opperman)
Michigan/Federal/USBC Eastern/ -
Order Confirming Chapter 13 Plan
Michigan/Federal/USBC Eastern/ -
Statement Of Attorney For Debtors Pursuant To FRBP 2016(b) (Must be used pursuant to L.B.R. 9010-1(c) and (d))
Michigan/Federal/USBC Eastern/ -
Notice Of Deadline To Object To Proposed Chapter 13 Plan Modification
Michigan/Federal/USBC Eastern/ -
Order Excusing Entry Of Thrid Party Payment Order And Order To Debtor To Remit Payments
Michigan/Federal/USBC Eastern/ -
Payment Order
Michigan/Federal/USBC Eastern/ -
Trustees Report Of Undisclosed Asset
Michigan/Federal/USBC Eastern/ -
Stipulation Excusing Entry Of Third Party Payment Order And Order To Debtor To Remit Payment
Michigan/Federal/USBC Eastern/ -
Certificate Regarding Domestic Support Obligations
Michigan/Federal/USBC Eastern/ -
Cover Sheet For Motion To Use Cash
Michigan/Federal/USBC Eastern/ -
Notice Of Filing Disclosure Statement With Opportunity To Respond
Michigan/Federal/USBC Eastern/ -
Chapter 13 Plan
Michigan/Federal/USBC Eastern/ -
Combined Plan And Disclosure Statement Information And Forms (Judge Randon)
Michigan/Federal/USBC Eastern/ -
Cover Sheet For Motion To Approve Sale Procedures
Michigan/Federal/USBC Eastern/ -
Debtors Motion Requesting Mortgage Modification Review
Michigan/Federal/USBC Eastern/ -
Order Appointing Mediator In An Adversary Proceeding
Michigan/Federal/USBC Eastern/ -
Order Appointing Mediator In A Contested Bankruptcy Matter
Michigan/Federal/USBC Eastern/ -
Mediators Certification
Michigan/Federal/USBC Eastern/ -
Debtors Chapter 13 Confirmation Hearing Certificate
Michigan/Federal/USBC Eastern/ -
Combined Plan and Disclosure Statement (Judge Applebaum)
Michigan/3 Federal/USBC Eastern/ -
Combined Plan and Disclosure Statement (Judge Oxholm)
Michigan/3 Federal/USBC Eastern/ -
Notice Of Debtor(s) Address Change
Michigan/Federal/USBC Eastern/ -
Order For Payment Of Unclaimed Funds
Michigan/Federal/USBC Eastern/ -
Affidavit Of Claimant
Michigan/Federal/USBC Eastern/ -
Bankruptcy Matter Civil Case Cover Sheet
Michigan/3 Federal/USBC Eastern/ -
Combined Plan And Disclosure Statement Information And Forms (Judge Gretchko)
Michigan/Federal/USBC Eastern/ -
Notice Of Creditor Address Change
Michigan/Federal/USBC Eastern/ -
Order Granting Debtors Motion Requesting Mortgage Modification Review
Michigan/Federal/USBC Eastern/ -
Application For Pro Bono Attorney
Michigan/Federal/USBC Eastern/ -
Application For Payment From Unclaimed Funds
Michigan/Federal/USBC Eastern/ -
Certificate Of Service
Michigan/Federal/USBC Eastern/ -
Cover Sheet For Amendments
Michigan/Federal/USBC Eastern/ -
Debtors Electronic Noticing Request (DeBN)
Michigan/Federal/USBC Eastern/ -
Proof Of Service Of Application For Payment From Unclaimed Funds (Bay City)
Michigan/Federal/USBC Eastern/ -
Proof Of Service Of Application For Payment From Unclaimed Funds (Detroit)
Michigan/Federal/USBC Eastern/ -
Proof Of Service Of Application For Payment From Unclaimed Funds (Flint)
Michigan/Federal/USBC Eastern/ -
Transcript Order Form
Michigan/Federal/USBC Eastern/ -
Combined Plan And Disclosure Statement (Judge Hage)
Michigan/Federal/USBC Eastern/
Form Preview
Contact Us
Success: Your message was sent.
Thank you!




