Last updated: 11/30/2016
General Notary Public Bond Form
Start Your Free Trial $ 13.99What you get:
- Instant access to fillable Microsoft Word or PDF forms.
- Minimize the risk of using outdated forms and eliminate rejected fillings.
- Largest forms database in the USA with more than 80,000 federal, state and agency forms.
- Download, edit, auto-fill multiple forms at once in MS Word using our Forms Workflow Ribbon
- Trusted by 1,000s of Attorneys and Legal Professionals
Description
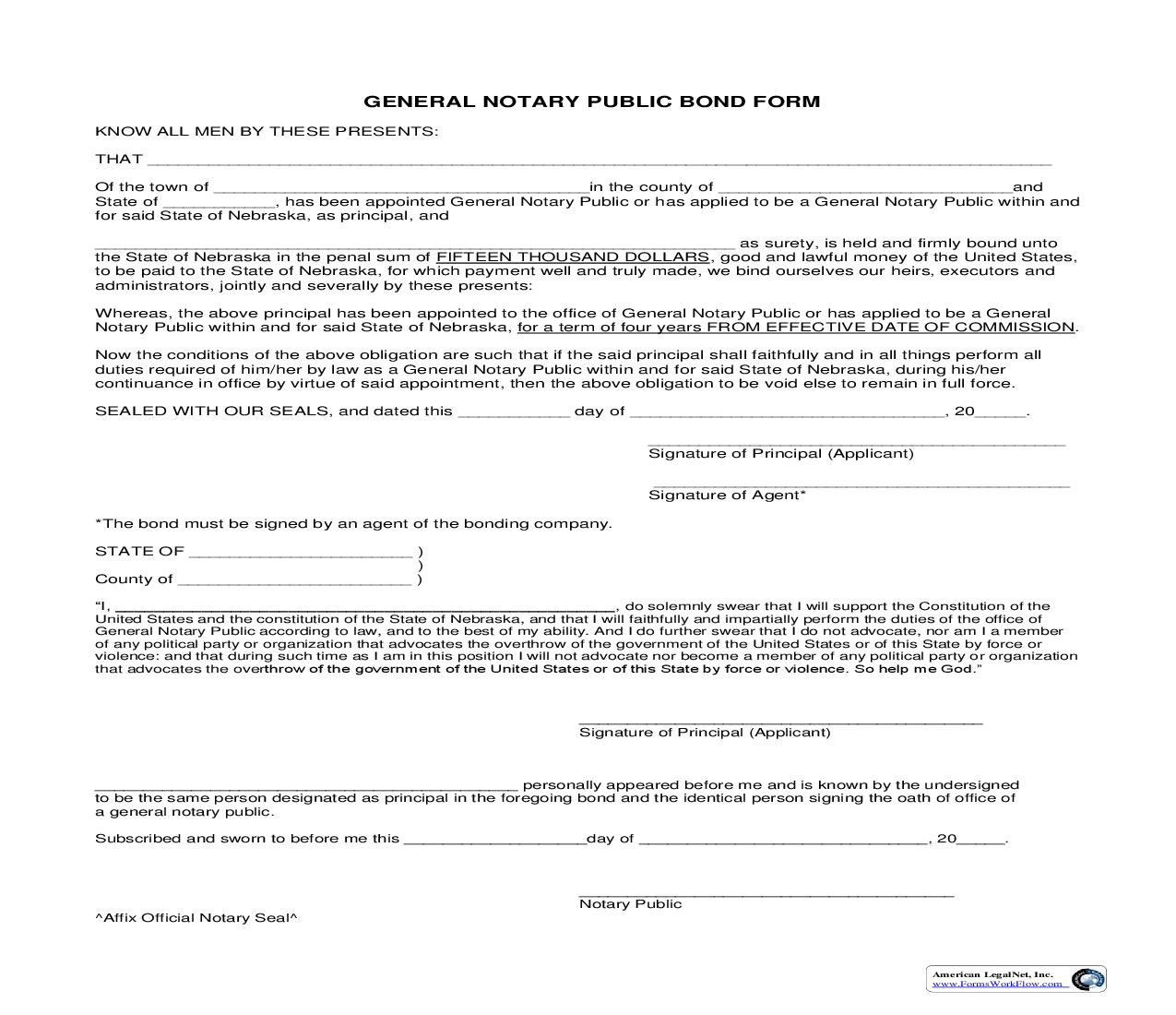
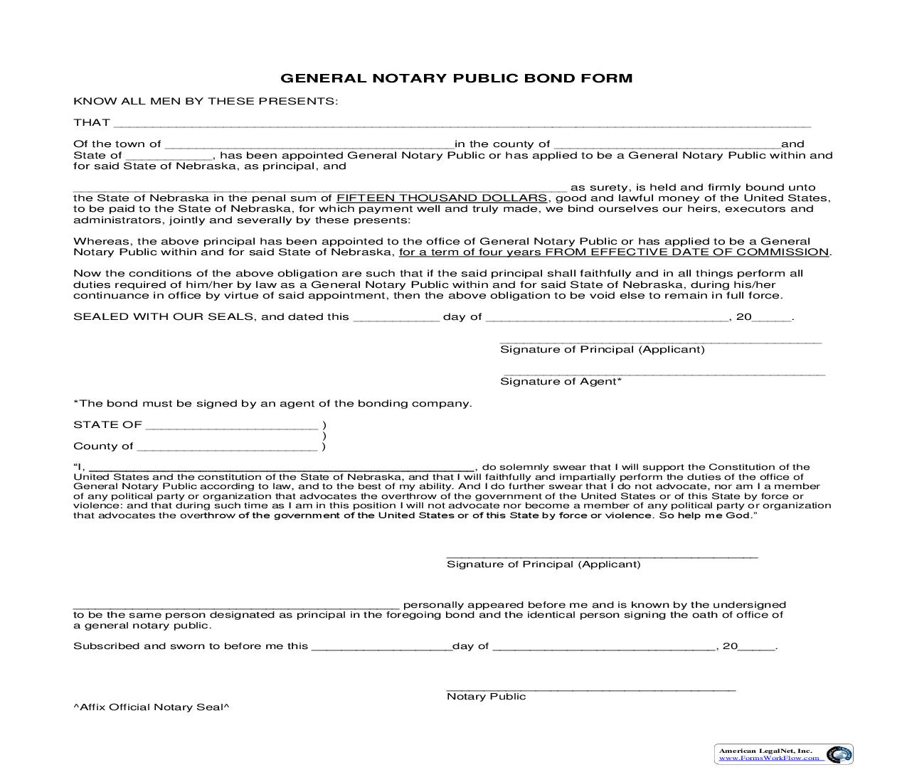
GENERAL NOTARY PUBLIC BOND FORM KNOW ALL MEN BY THESE PRESENTS: THAT _________________________________________________________________________________________ Of the town of _____________________________________in the county of _____________________________and State of ___________, has been appointed General Notary Public or has applied to be a General Notary Public within and for said State of Nebraska, as principal, and _______________________________________________________________ as surety, is held and firmly bound unto the State of Nebraska in the penal sum of FIFTEEN THOUSAND DOLLARS, good and lawful money of the United States, to be paid to the State of Nebraska, for which payment well and truly made, we bind ourselves our heirs, executors and administrators, jointly and severally by these presents: Whereas, the above principal has been appointed to the office of General Notary Public or has applied to be a General Notary Public within and for said State of Nebraska, for a term of four years FROM EFFECTIVE DATE OF COMMISSION. Now the conditions of the above obligation are such that if the said principal shall faithfully and in all things perform all duties required of him/her by law as a General Notary Public within and for said State of Nebraska, during his/her continuance in office by virtue of said appointment, then the above obligation to be void else to remain in full force. SEALED WITH OUR SEALS, and dated this ___________ day of _______________________________, 20_____. _________________________________________ Signature of Principal (Applicant) _________________________________________ Signature of Agent* *The bond must be signed by an agent of the bonding company. STATE OF ______________________ ) ) County of _______________________ ) "I, ____________________________________________________, do solemnly swear that I will support the Constitution of the United States and the constitution of the State of Nebraska, and that I will faithfully and impartially perform the duties of the office of General Notary Public according to law, and to the best of my ability. And I do further swear that I do not advocate, nor am I a member of any political party or organization that advocates the overthrow of the government of the United States or of this State by force or violence: and that during such time as I am in this position I will not advocate nor become a member of any political party or organization that advocates the overthrow of the government of the United States or of this State by force or violence. So help me God." __________________________________________ Signature of Principal (Applicant) ____________________________________________ personally appeared before me and is known by the undersigned to be the same person designated as principal in the foregoing bond and the identical person signing the oath of office of a general notary public. Subscribed and sworn to before me this ___________________day of ______________________________, 20_____. _______________________________________ Notary Public ^Affix Official Notary Seal^ American LegalNet, Inc. www.FormsWorkFlow.com





