Last updated: 2/28/2006
3.6(k). Duress Or Necessity
Start Your Free Trial $ 13.99What you get:
- Instant access to fillable Microsoft Word or PDF forms.
- Minimize the risk of using outdated forms and eliminate rejected fillings.
- Largest forms database in the USA with more than 80,000 federal, state and agency forms.
- Download, edit, auto-fill multiple forms at once in MS Word using our Forms Workflow Ribbon
- Trusted by 1,000s of Attorneys and Legal Professionals
Description
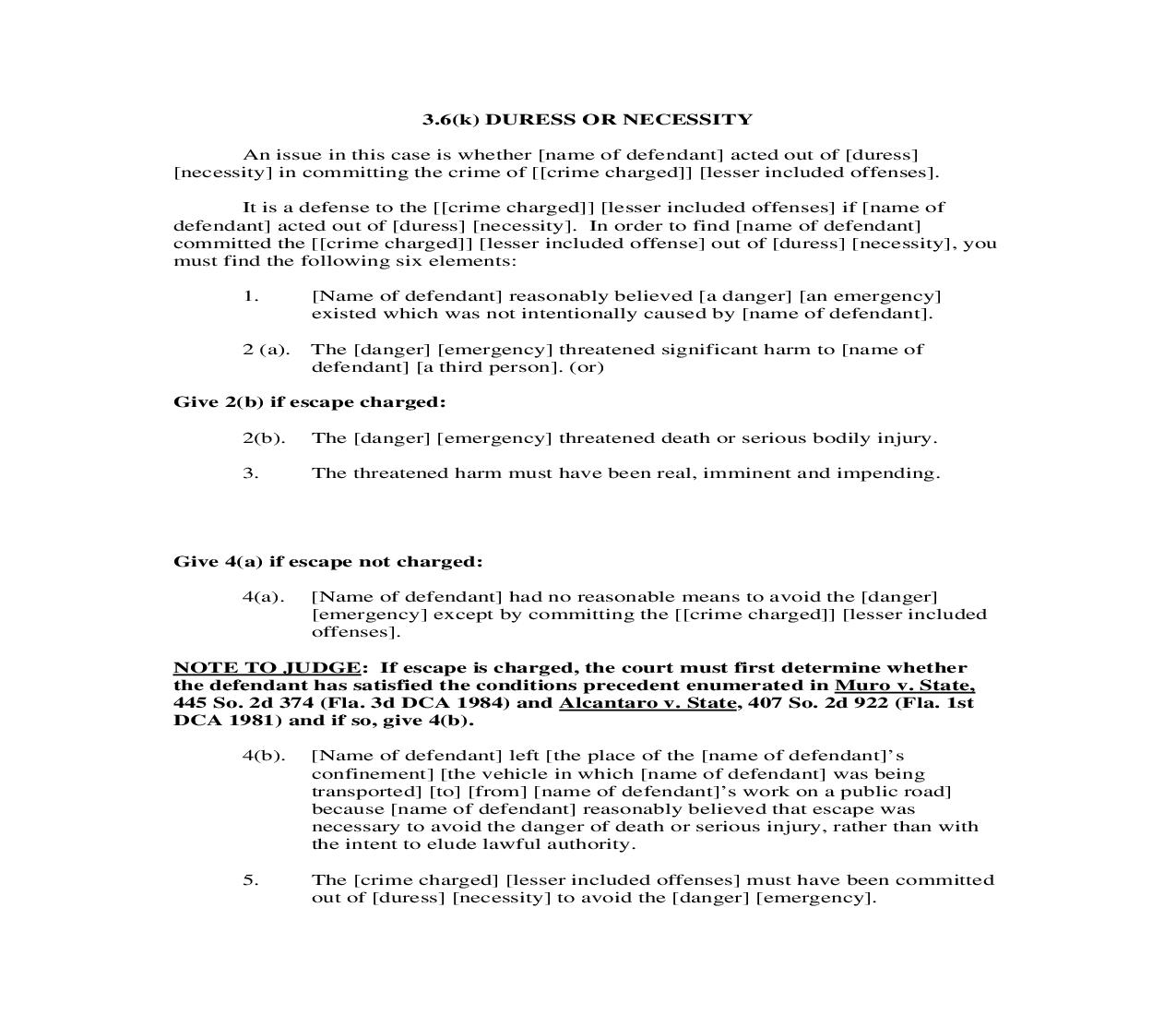
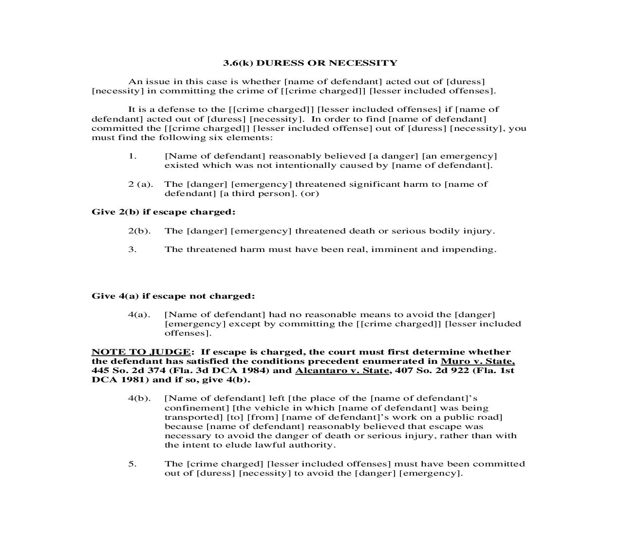
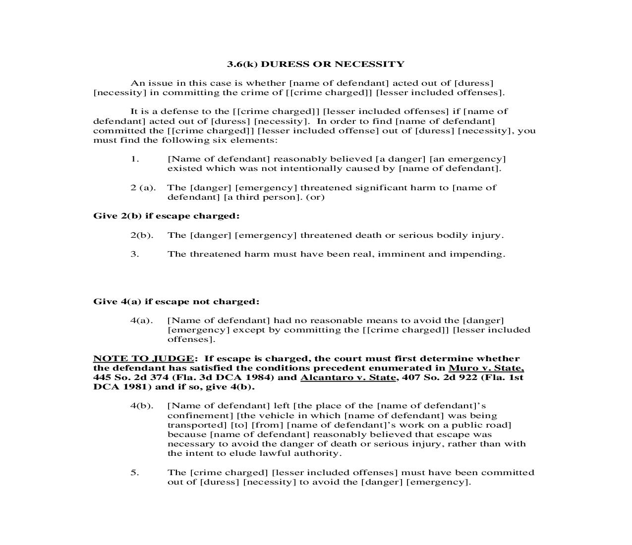
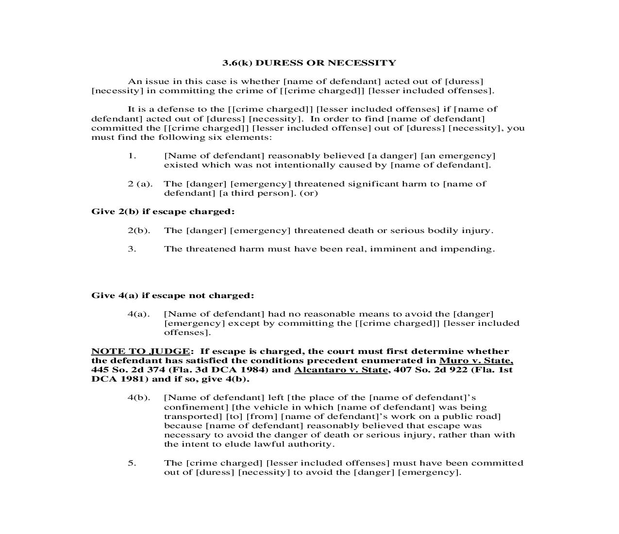
3.6(k) DURESS OR NECESSITY An issue in this case is whether [name of defendant] acted out of [duress] [necessity] in committing the crime of [[crime charged]] [lesser included offenses]. It is a defense to the [[crime charged]] [lesser included offenses] if [name of defendant] acted out of [duress] [necessity]. In order to find [name of defendant] committed the [[crime charged]] [lesser included offense] out of [duress] [necessity], you must find the following six elements: 1. [Name of defendant] reasonably believed [a danger] [an emergency] existed which was not intentionally caused by [name of defendant]. 2 (a). The [danger] [emergency] threatened significant harm to [name of defendant] [a third person]. (or) Give 2(b) if escape charged: 2(b). The [danger] [emergency] threatened death or serious bodily injury. 3. The threatened harm must have been real, imminent and impending. Give 4(a) if escape not charged: 4(a). [Name of defendant] had no reasonable means to avoid the [danger] [emergency] except by committing the [[ crime charged]] [lesser included offenses]. NOTE TO JUDGE: If escape is charged, the court must first determine whether the defendant has satisfied the conditions precedent enumerated in Muro v. State, 445 So. 2d 374 (Fla. 3d DCA 1984) and Alcantaro v. State, 407 So. 2d 922 (Fla. 1st DCA 1981) and if so, give 4(b). 4(b). [Name of defendant] left [the place of the [name of defendant]s confinement] [the vehicle in which [name of defendant] was being transported] [to] [from] [name of defendant]s work on a public road] because [name of defendant] reasonably believed that escape was necessary to avoid the danger of death or serious injury, rather than with the intent to elude lawful authority. 5. The [crime charged] [lesser included offenses] must have been committed out of [duress] [necessity] to avoid the [danger] [emergency]. <<<<<<<<<********>>>>>>>>>>>>> 2 6. The harm that [name of defendant] avoided must outweigh the harm caused by committing the [[ crime charged]] [lesser included offenses]. Imminent and impending means the [danger] [emergency] is about to take place and cannot be avoided by using other means. A threat of future harm is not sufficient to prove this defense. Nor can [name of defendant] use the defense of [duress] [necessity] if [name of defendant] committed the crime after the danger from the threatened harm had passed. The reasonableness of the name of defendant]s belief that [a danger] [an emergency] existed should be examined in the light of all the evidence. In deciding whether it was necessary for [name of defendant] to commit the [[crime charged]] [lesser included offenses], you must judge [name of defendant] by the circumstances by which [name of defendant] was surrounded at the time the crime was committed. The [danger] [emergency] facing [name of defendant] need not have been actual; however to justify the commission of the [[crime charged]] [lesser included offenses], the appearance of the [danger] [emergency] must have been so real that a reasonably cautious and prudent person under the same circumstances would have believed that the [danger] [ emergency] could be avoided only by committing the [[ crime charged]] [lesser included offenses]. Based upon appearances, [name of defendant] must have actually believed that the [danger] [emergency] was real. If you find from the evidence that [name of defendant] committed the [[crime charged]] [lesser included offenses] out of [duress] [necessity] you should find [name of defendant] not guilty. However, if you find that the defendant did not commit the [[crime charged]] [lesser included offenses] out of [duress] [necessity] you should find [name of defendant] guilty if all the elements of the charge have been proved. NOTE TO JUDGE: Duress is not a defense to an intentional homicide. See Wright v. State, 402 So. 2d 193 (Fla. 3d DCA 1981).





