Last updated: 2/28/2006
28.7. Fleeing To Elude A Law Enforcement Officer
Start Your Free Trial $ 13.99What you get:
- Instant access to fillable Microsoft Word or PDF forms.
- Minimize the risk of using outdated forms and eliminate rejected fillings.
- Largest forms database in the USA with more than 80,000 federal, state and agency forms.
- Download, edit, auto-fill multiple forms at once in MS Word using our Forms Workflow Ribbon
- Trusted by 1,000s of Attorneys and Legal Professionals
Description
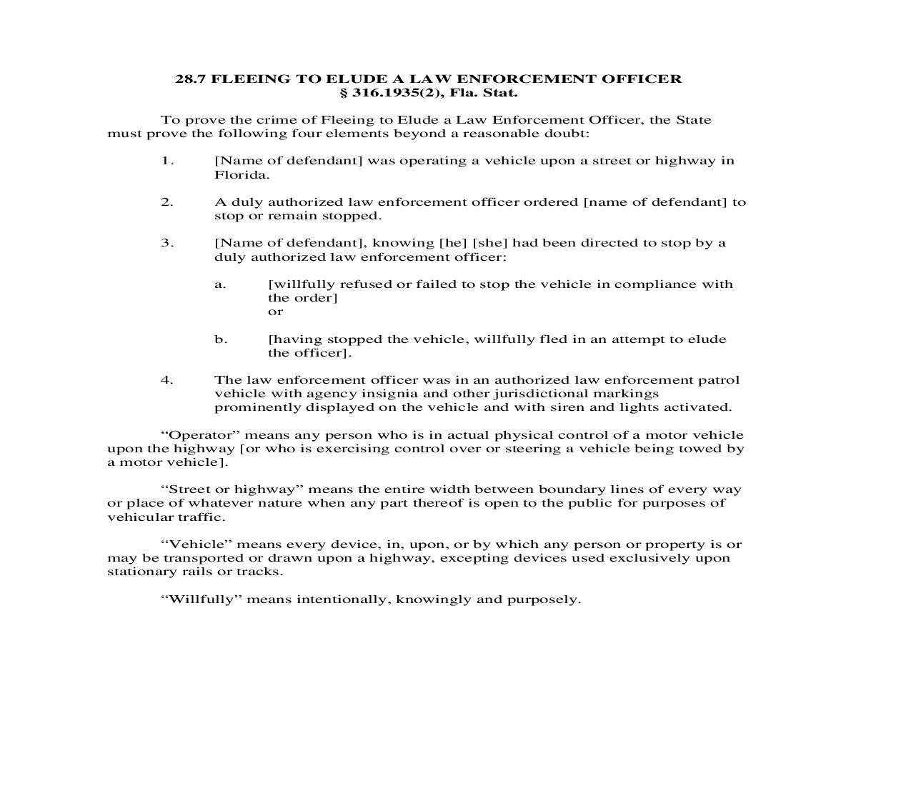
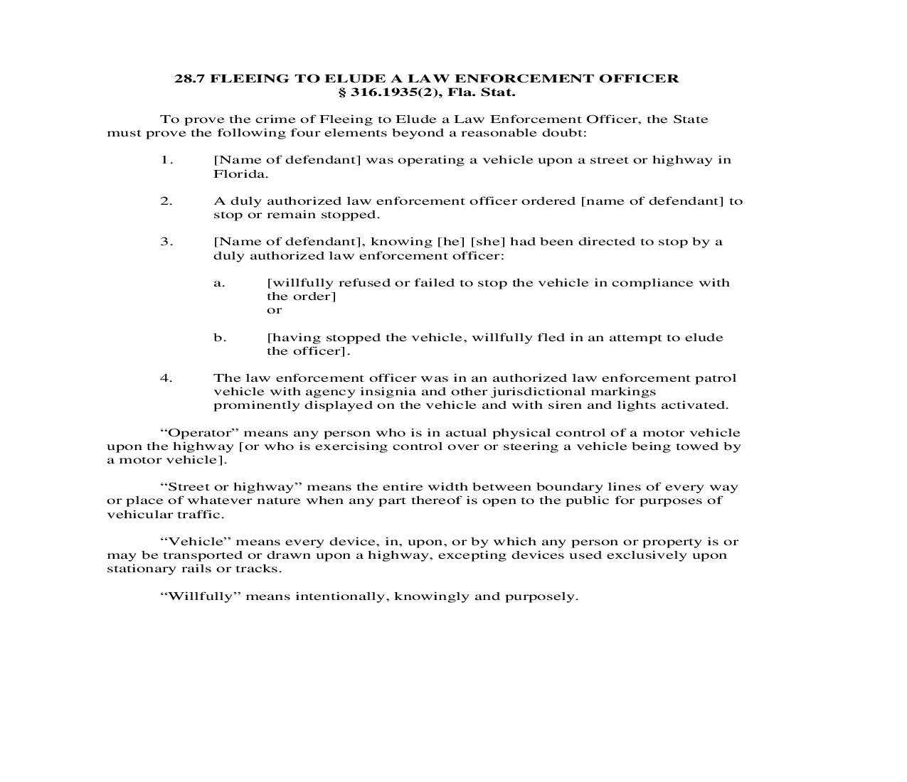
28.7 FLEEING TO ELUDE A LA W ENFORCEMENT OFFICER 316.1935(2), Fla. Stat. To prove the crime of Fleeing to Elude a Law Enforcement Officer, the State must prove the following four elements beyond a reasonable doubt: 1. [Name of defendant] was operating a vehicle upon a street or highway in Florida. 2. A duly authorized law enforcement officer ordered [name of defendant] to stop or remain stopped. 3. [Name of defendant], knowing [he] [she] had been directed to stop by a duly authorized law enforcement officer: a . willfully refused or failed to stop the vehicle in compliance with the order] or b. ped the vehicle, willfully fled in an attempt to elude the officer]. 4. The law enforcement officer was in an authorized law enforcement patrol vehicle with agency insignia and other jurisdictional markings prominently displayed on the vehicle and with siren and lights activated. Operator means any person who is in actual physical control of a motor vehicle upon the highway [or who is exercising control over or steering a vehicle being towed by a mor steering a vehicle being towed by otor vehicle]. Street or highway means the entire width between boundary lines of every way or place of whatever nature when any part thereof is open to the public for purposes of vehicular traffic. by which any person or property is or Vehicle means every device, in, upon, ormay, excepting devices used exclusively upon y be transported or drawn upon a highwastationary rails or tracks. Willfully means intentionally, knowingly and purposely.





