Last updated: 2/28/2006
23.5. Prostitution
Start Your Free Trial $ 13.99What you get:
- Instant access to fillable Microsoft Word or PDF forms.
- Minimize the risk of using outdated forms and eliminate rejected fillings.
- Largest forms database in the USA with more than 80,000 federal, state and agency forms.
- Download, edit, auto-fill multiple forms at once in MS Word using our Forms Workflow Ribbon
- Trusted by 1,000s of Attorneys and Legal Professionals
Description
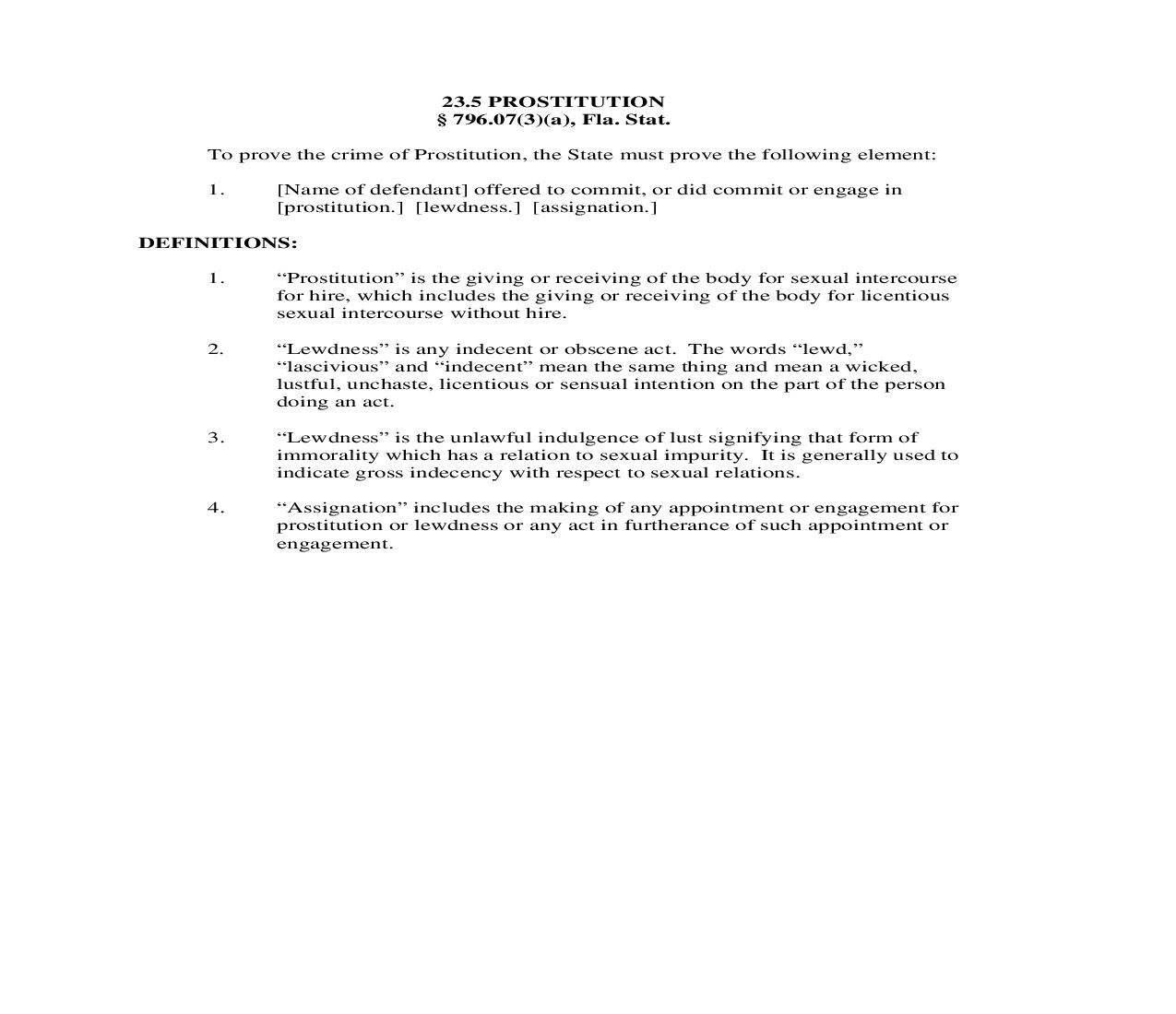
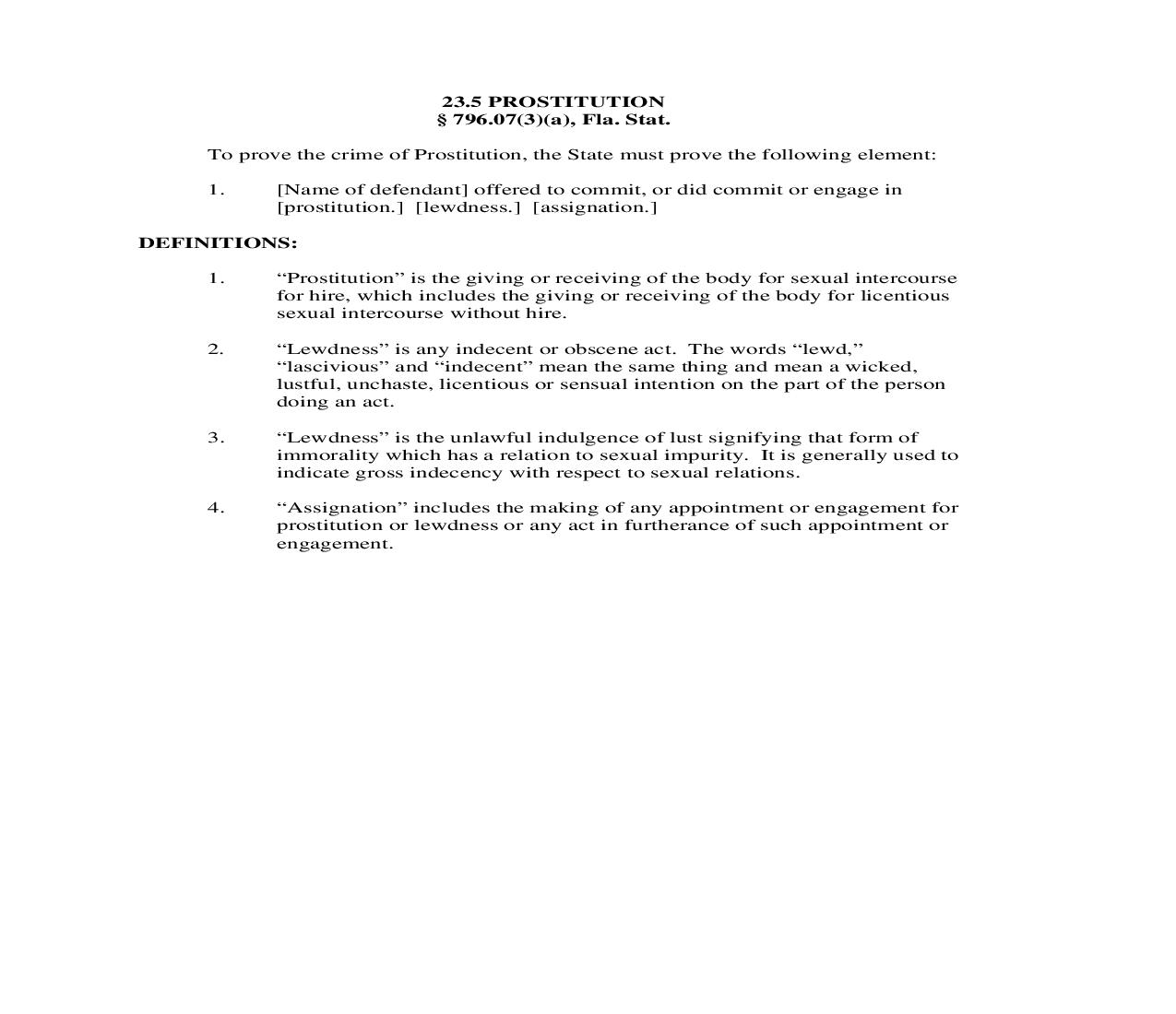
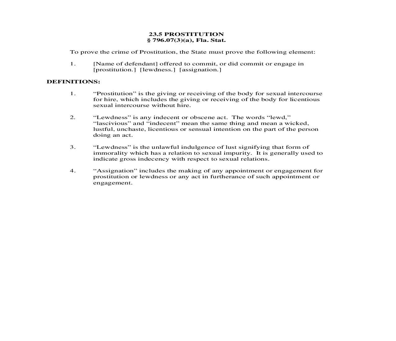
23.5 PROSTITUTION 796.07(3)(a), Fla. Stat. To prove the crime of Prostitution, thState me ust prove the following element: 1. [Name of defendant] offered to commit, or did commit or engage in [prostitution.] [lewdness.] [assignation.] DEFINITIONS: 1. Prostitution is the giving or receiving of the body for sexual intercourse for hire, which includes the giving or receiving of the body for licentious sexual intercourse without hire. 2. Lewdness is any indecent or obscene act. The words lewd, lascivious and indecent mean the same thing and mean a wicked, lustful, unchaste, licentious or sensual intention on the part of the person doing an act. 3. Lewdness is the unlawfnce of lust signifying that forul indulge m of immorality which has a relation to simexual purity. It is generally used to indicate gross indecency with respect to sexual relations. 4. Assignation includes the making of any appointment or engagement for prostitution or lewdness or any act in furtherance of such appointment or engagement.





