Last updated: 2/28/2006
21.4. False Reports Of Commissions Of Crime
Start Your Free Trial $ 13.99What you get:
- Instant access to fillable Microsoft Word or PDF forms.
- Minimize the risk of using outdated forms and eliminate rejected fillings.
- Largest forms database in the USA with more than 80,000 federal, state and agency forms.
- Download, edit, auto-fill multiple forms at once in MS Word using our Forms Workflow Ribbon
- Trusted by 1,000s of Attorneys and Legal Professionals
Description
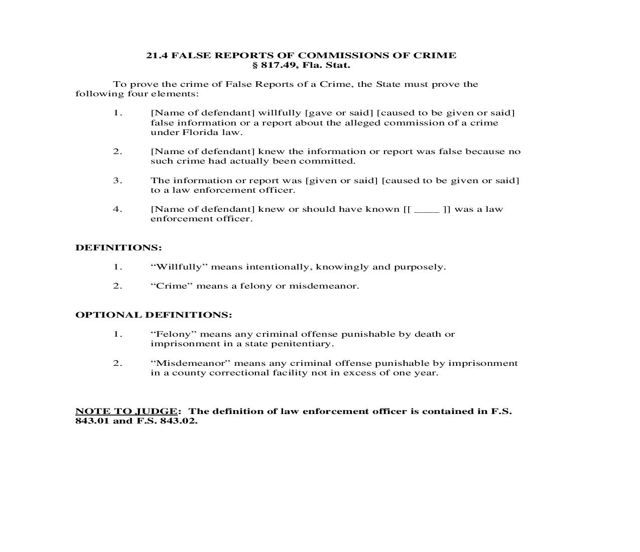
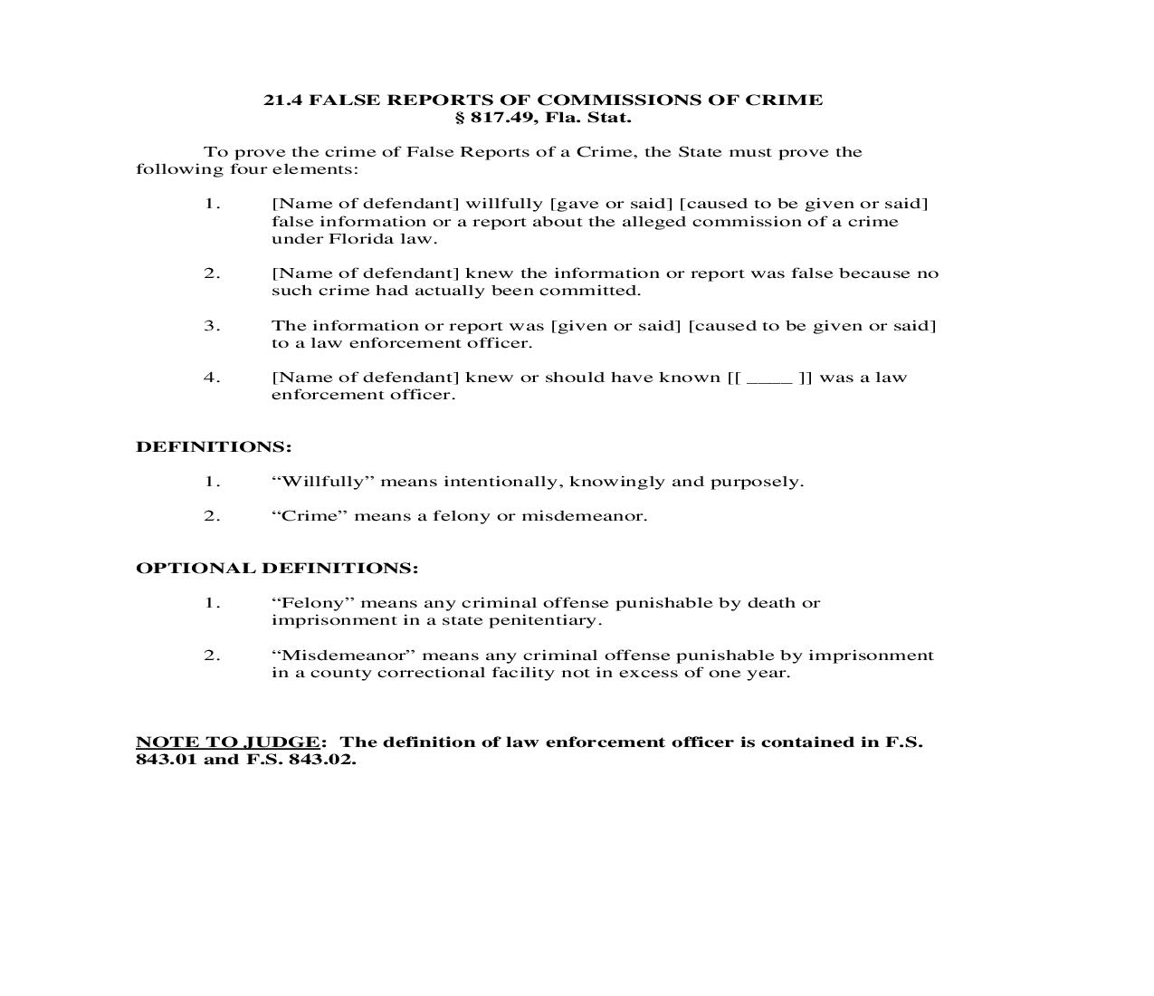
21.4 FALSE REPORTS OF COMMISSIONS OF CRIME 817.49, Fla. Stat. To prove the crime of Faof a Crimlse Reports e, the State must prove the following four elements: 1. [Name of defendant] willfully [gave or said] [caused to be given or said] false information or a report about the alleged commission of a crime under Florida law. 2. [Name of defendant] knew the information or report was false because no such crime had actually been committed. 3. The information or report was [given or said] [caused to be given or said] to a law enforcement officer. 4. [Name of defendant] knew or should have known [[ ____ ]] was a law enforcement officer. DEFINITIONS: 1. Willfully means intentionally, knowingly and purposely. 2. Crime means a felony or misdemeanor. OPTIONAL DEFINITIONS: 1. Felony means any criminal offense punishable by death or imprisonment in a state penitentiary. 2. Misdemeanor means any criminal offense punishable by imprisonment in a county correctional facility not in excess of one year. NOTE TO JUDGE: The definition of law enforcement officer is contained in F.S. 843.01 and F.S. 843.02.





