Last updated: 2/28/2006
16.3. Child Abuse
Start Your Free Trial $ 13.99What you get:
- Instant access to fillable Microsoft Word or PDF forms.
- Minimize the risk of using outdated forms and eliminate rejected fillings.
- Largest forms database in the USA with more than 80,000 federal, state and agency forms.
- Download, edit, auto-fill multiple forms at once in MS Word using our Forms Workflow Ribbon
- Trusted by 1,000s of Attorneys and Legal Professionals
Description
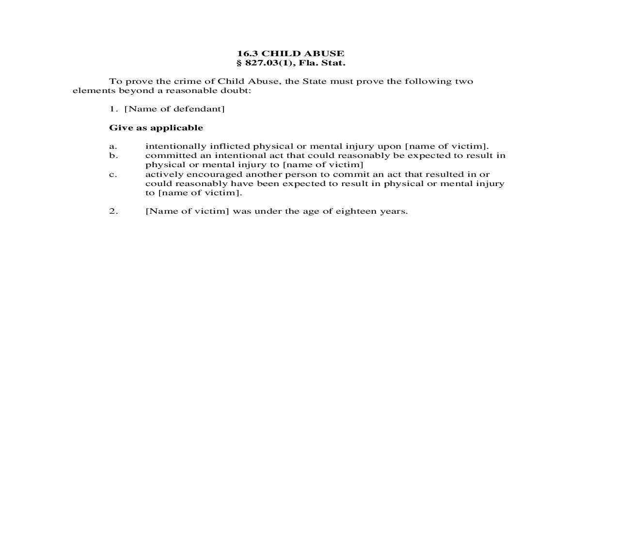
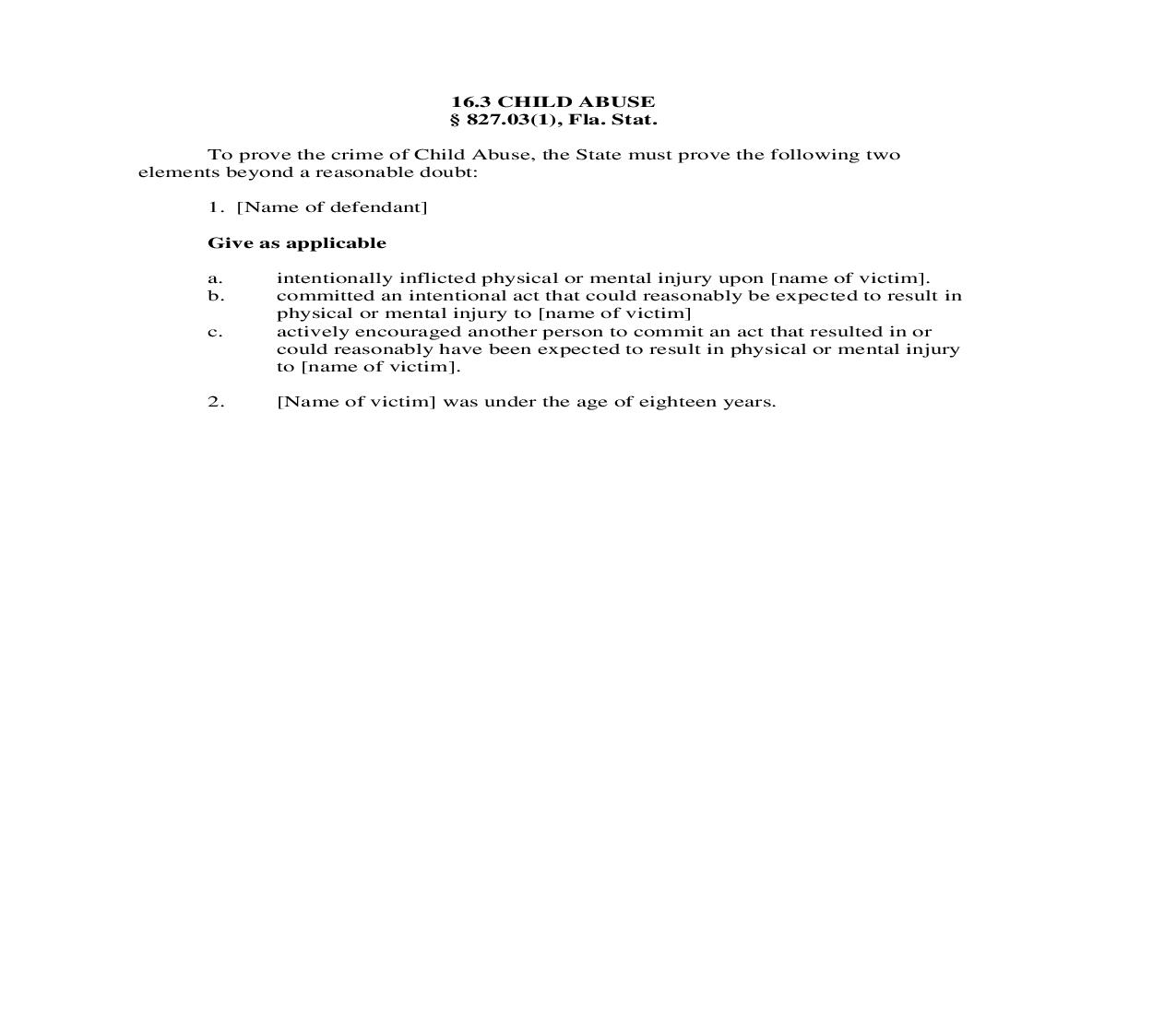
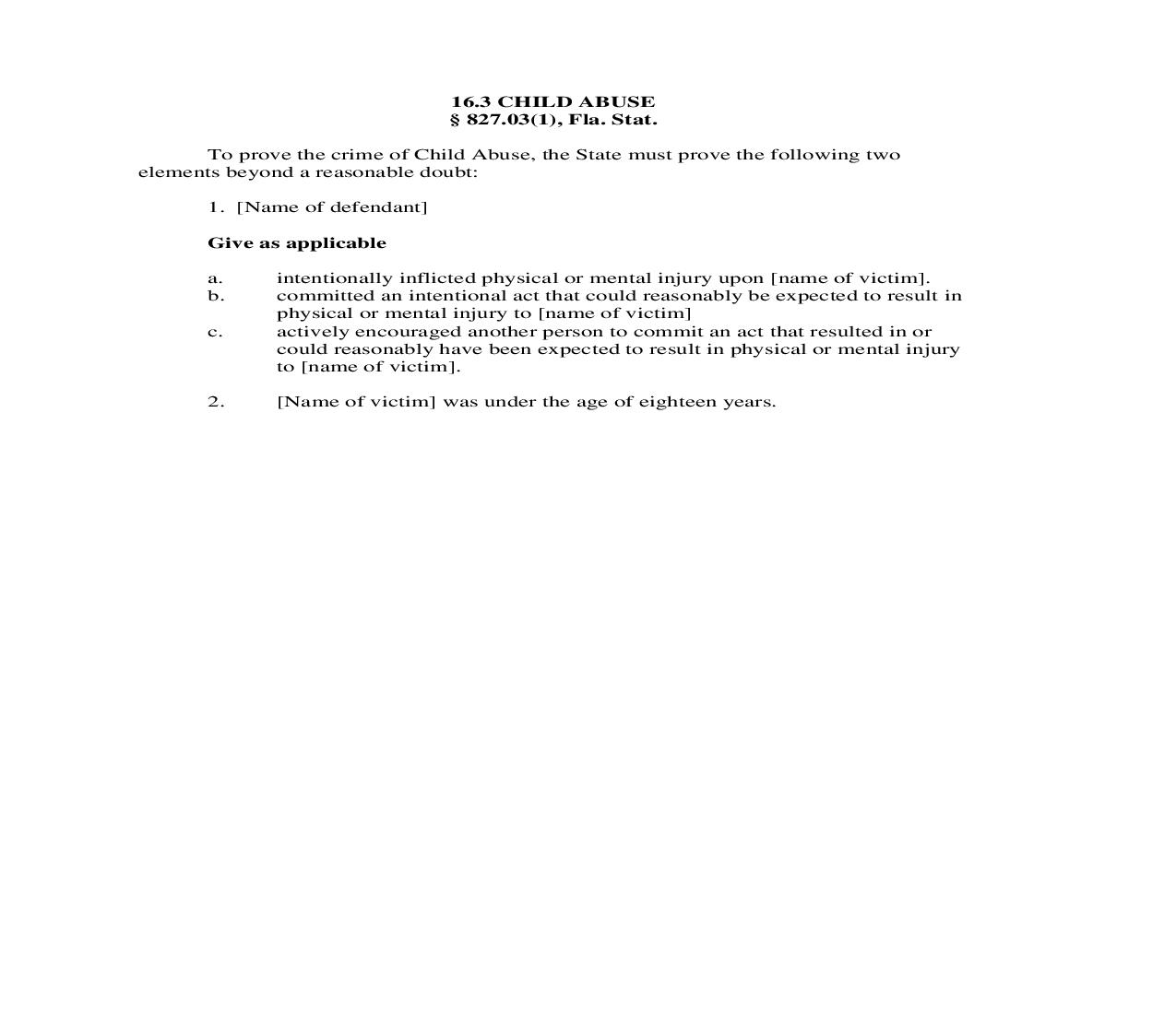
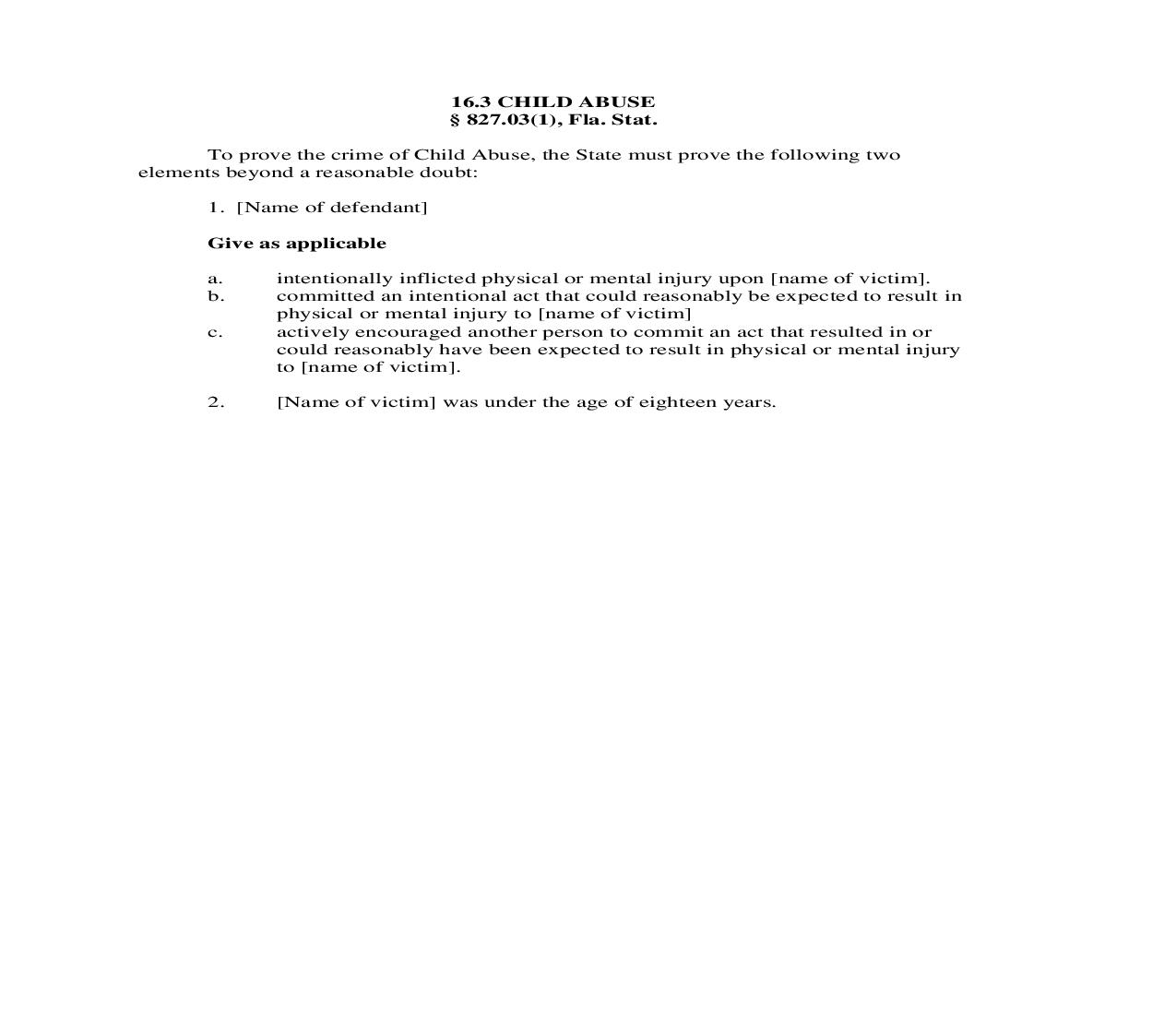
16.3 CHILD ABUSE 827.03(1), Fla. Stat. To prove the crime of Child Abuse, the State must prove the following two elements beyond a reasonable doubt: 1. [Name of defendant] Give as applicable a. intentionally inflicted physical or mental injury upon [name of victim]. b. committed an intentional act that could reasonably be expected to result in physical or mental injury to [name of victim ] c. actively encouraged another person to commit an act that resulted in or could reasonably have been expected to result in physical or mental injury to [name of victim]. 2. [Name of victim] was under the age of eighteen years.





