Last updated: 2/28/2006
11.9. Exposure of Sexual Organs (In A Vulgar Or Indecent Manner)
Start Your Free Trial $ 13.99What you get:
- Instant access to fillable Microsoft Word or PDF forms.
- Minimize the risk of using outdated forms and eliminate rejected fillings.
- Largest forms database in the USA with more than 80,000 federal, state and agency forms.
- Download, edit, auto-fill multiple forms at once in MS Word using our Forms Workflow Ribbon
- Trusted by 1,000s of Attorneys and Legal Professionals
Description
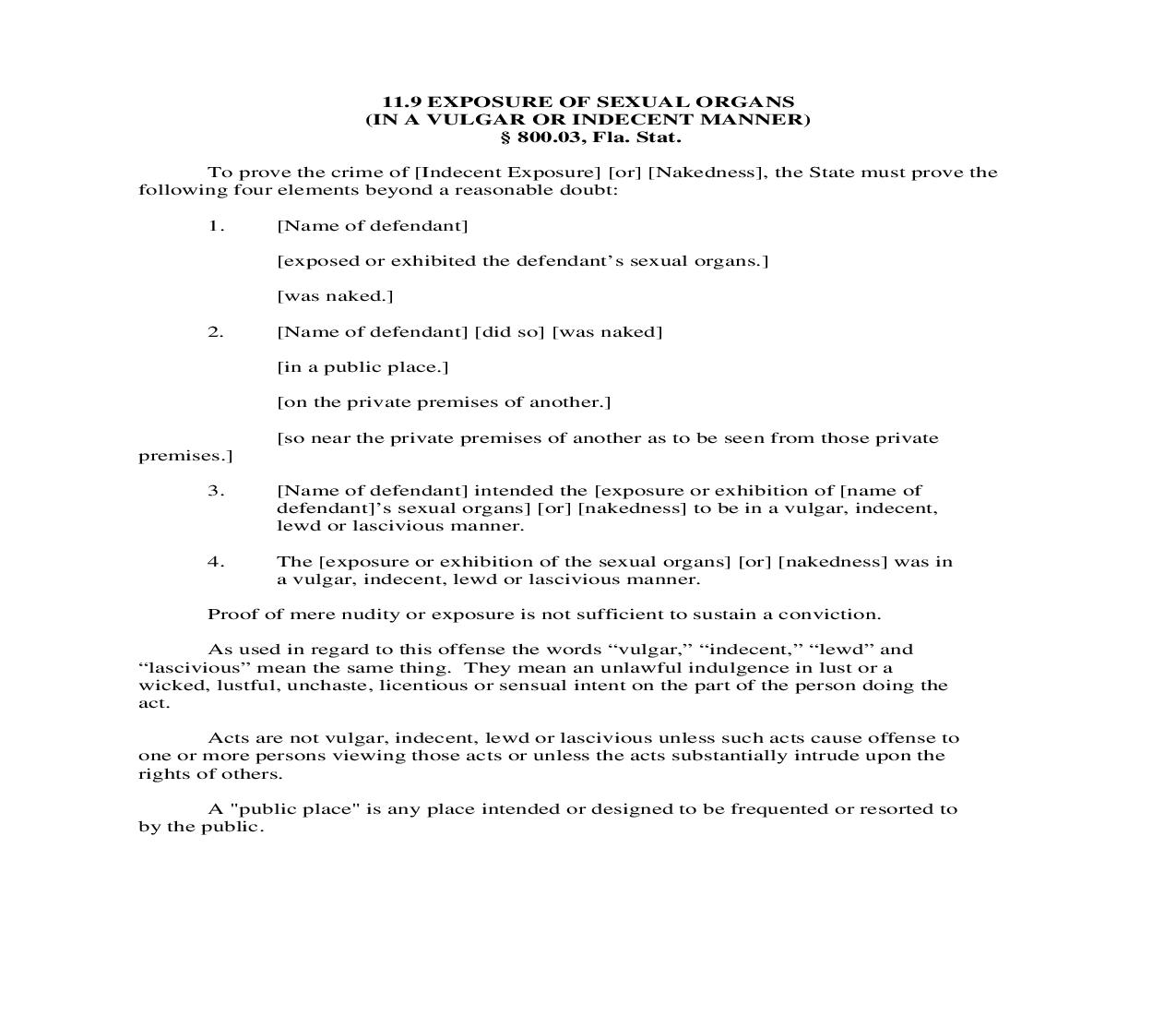
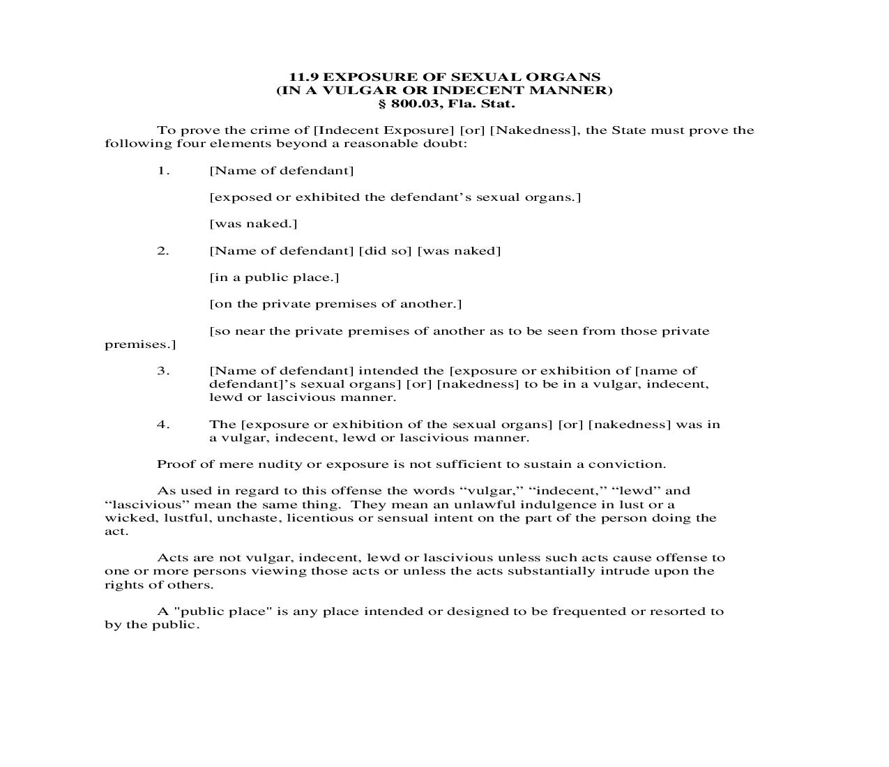
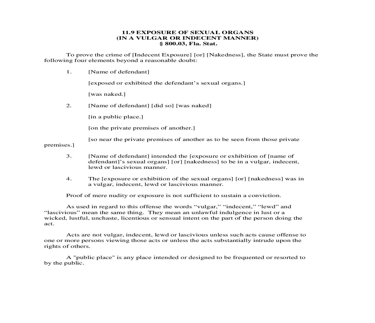
11.9 EXPOSURE OF SEXUAL ORGANS (IN A VULGAR OR INDECENT MANNER) 800.03, Fla. Stat. To prove the crime of [Indecent Exposure] [or] [Nakedness], the State must prove the following four elements beyond a reasonable doubt: 1. [Name of defendant] [exposed or exhibited the defendants sexual organs.] [was naked.] 2. [Name of defendant] [did so] [was naked] [in a public place.] [on the private premises of another.] her as to be seen fromises of anot those private [so near the private premises of anot 3. e of [Name of defendant] intended the [ex lewd or lascivious manner. 4. The [exposure or exhibition of the se a vulgar, indecent, lewd or lascivious manner. Proof of mere nudity or exposure is not sufficient to sustain a conviction. As used in regard to this offense the words vulgar, indecent, lewd and lascivious mean the same thing. They mean an unlawful indulgence in lust or a wicked, lustful, unchaste, licentious or sensual intent on the part of the person doing the act. sciviouActs are not vulgar, indecent, lewd or las unless such acts cause offense to one or munless the acts substaore persons viewing those acts or ntially intrude upon the rights of others. A "public place" is any place intended or designed to be frequented or resorted to by the public.





