Last updated: 2/28/2006
11.13. Voyeurism
Start Your Free Trial $ 13.99What you get:
- Instant access to fillable Microsoft Word or PDF forms.
- Minimize the risk of using outdated forms and eliminate rejected fillings.
- Largest forms database in the USA with more than 80,000 federal, state and agency forms.
- Download, edit, auto-fill multiple forms at once in MS Word using our Forms Workflow Ribbon
- Trusted by 1,000s of Attorneys and Legal Professionals
Description
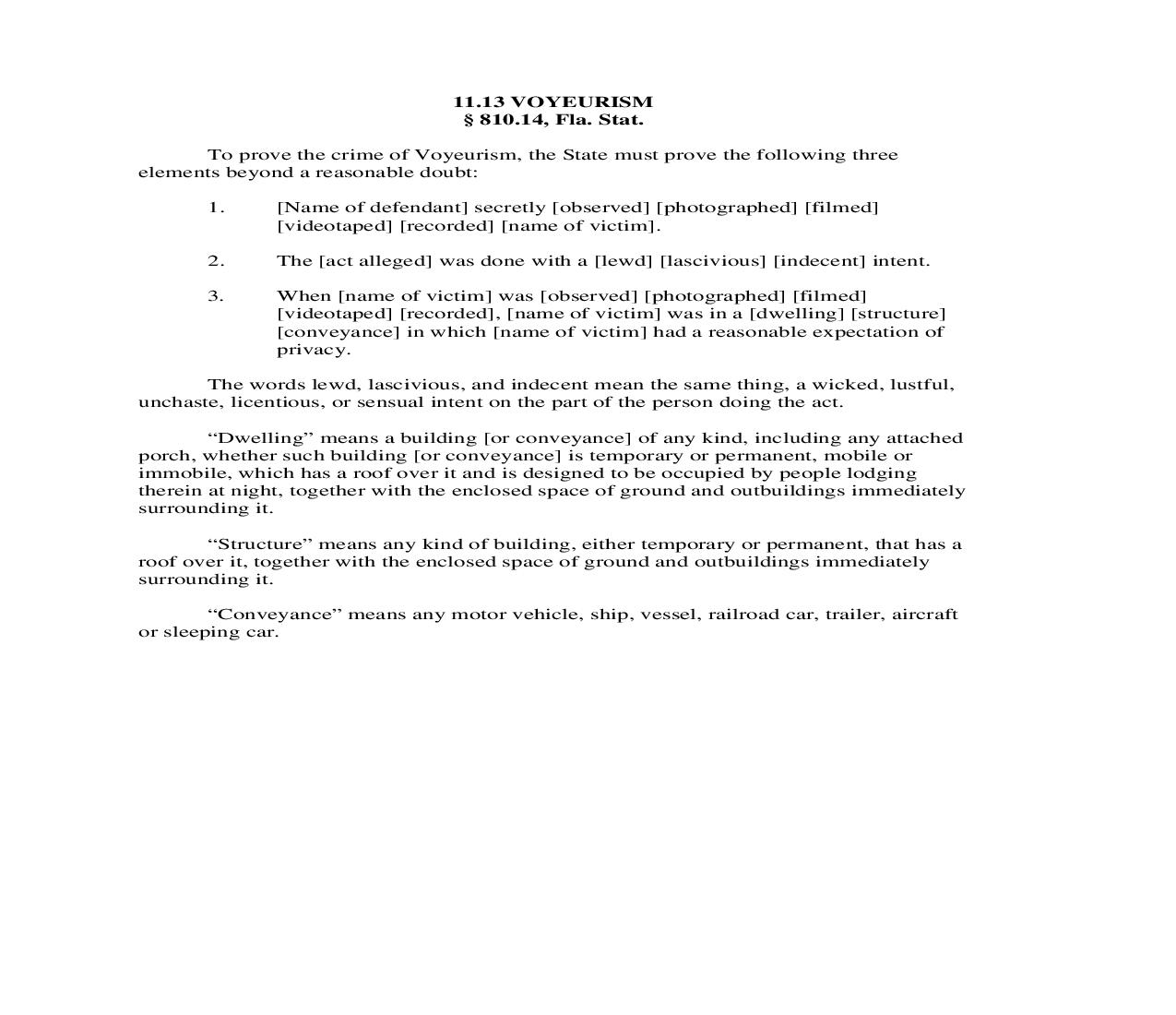
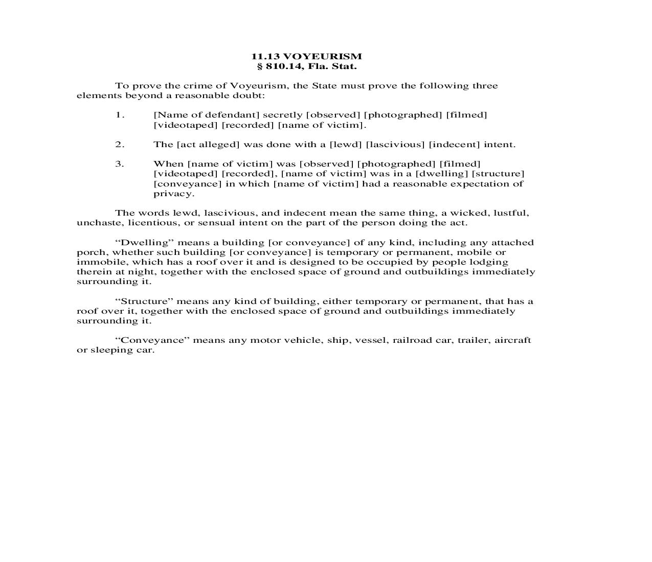
11.13 VOYEURISM 810.14, Fla. Stat. To prove the crime of Voyeurism,e State m th ust prove the following three elements beyond a reasonable doubt: 1. [Name of defendant] secretly [observed] [photographed] [filmed] [videotaped] [recorded] [name of victim]. 2. The [act alleged] was done with a [lewd] [lascivious] [indecent] intent. 3. When [name of victim] was [observed] [photographed] [filmed] [videotaped] [recorded], [name of victim was in a ] [dwelling] [structure] [conveyance] in which [name of victim] had a reasonable expectation of privacy. The words lewd, lascivious, and indecent mean the same thing, a wicked, lustful, unchaste, licentious, or sensual intent on the part of the person doing the act. Dwelling means a building [or conveyance] of any kind, including any attached porch, whether such building [or conveyance] is temporary or permanent, mobile or immobile, which has a roof over it and is designed to be occupied by people lodging therein at night, together with the enclosed space of ground and outbuildings immediately surrounding it. Structure means any kind of building, either temporary or permanent, that has a roof over it, together with the enclosed space of ground and outbuildings immediately surrounding it. Conveyance means any motor vehicle, ship, vessel, railroad car, trailer, aircraft or sleeping car.





