Last updated: 2/28/2006
10.19. Use Of A Self-Defense Weapon
Start Your Free Trial $ 13.99What you get:
- Instant access to fillable Microsoft Word or PDF forms.
- Minimize the risk of using outdated forms and eliminate rejected fillings.
- Largest forms database in the USA with more than 80,000 federal, state and agency forms.
- Download, edit, auto-fill multiple forms at once in MS Word using our Forms Workflow Ribbon
- Trusted by 1,000s of Attorneys and Legal Professionals
Description
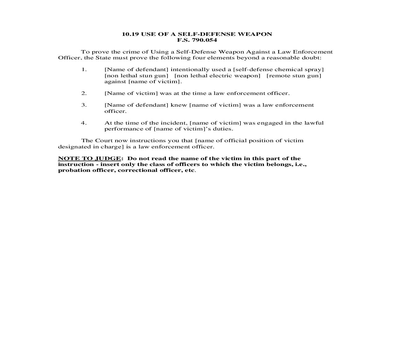
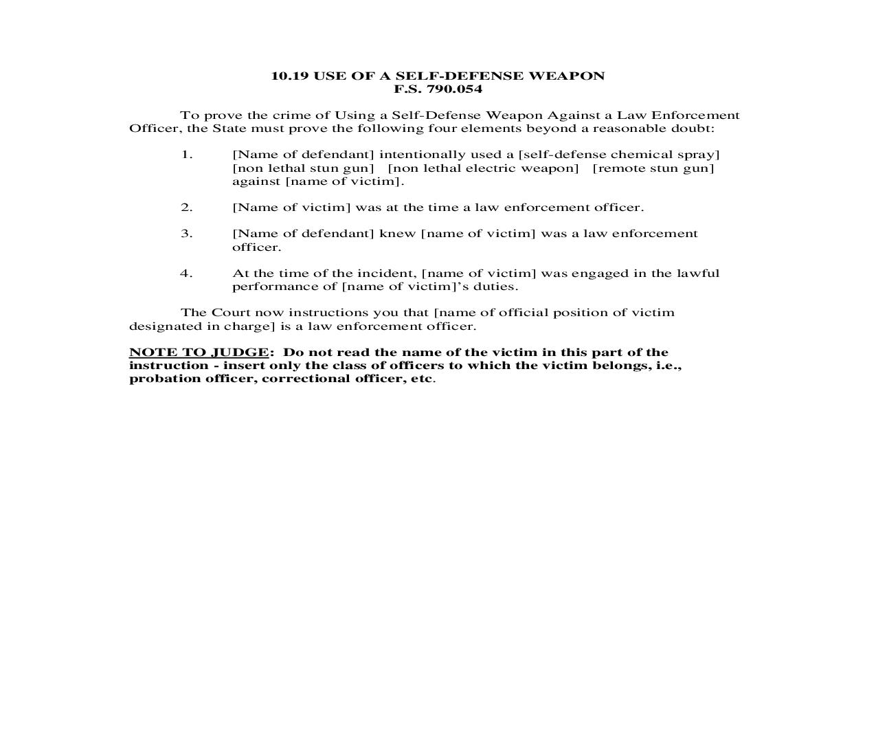
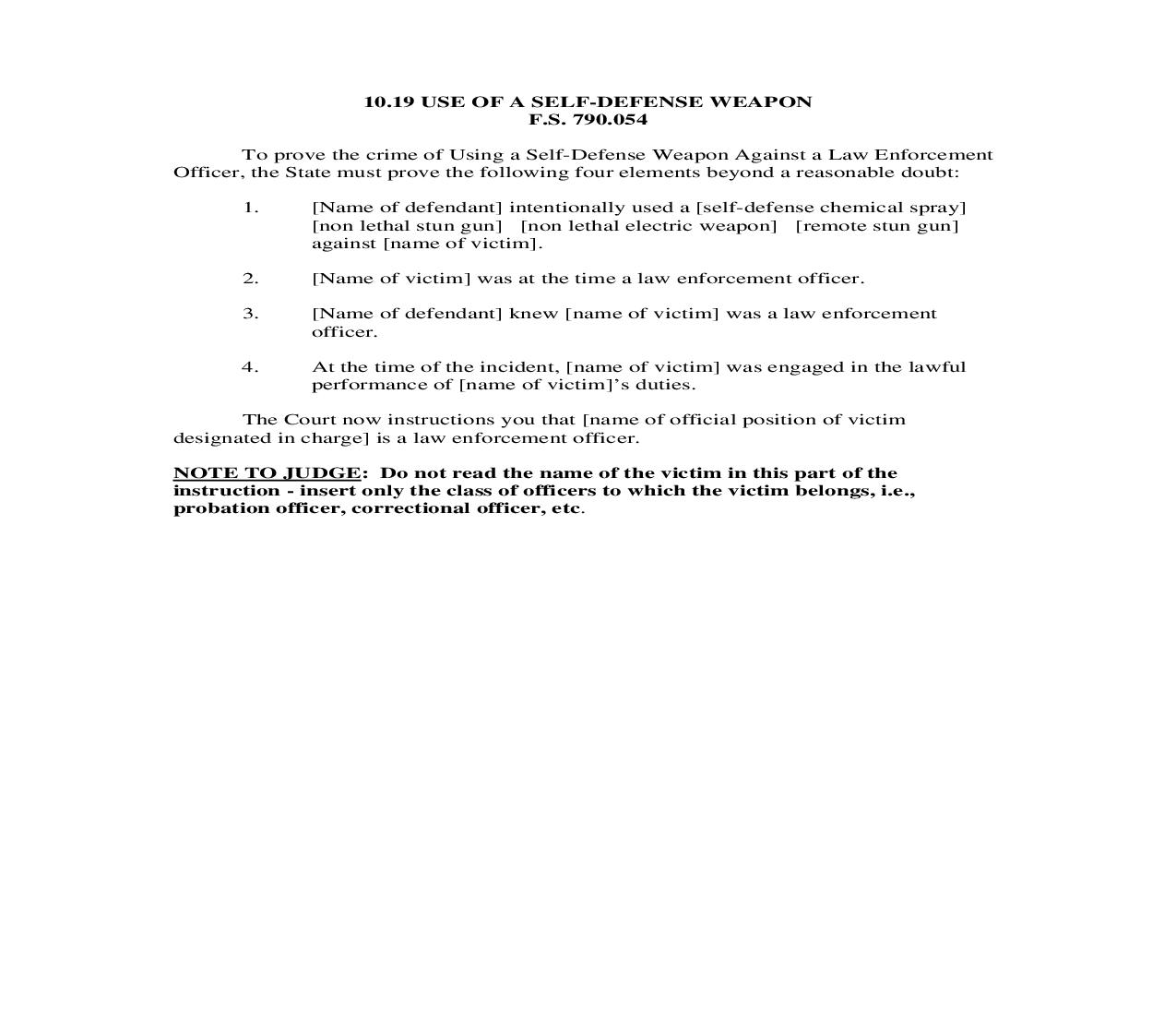
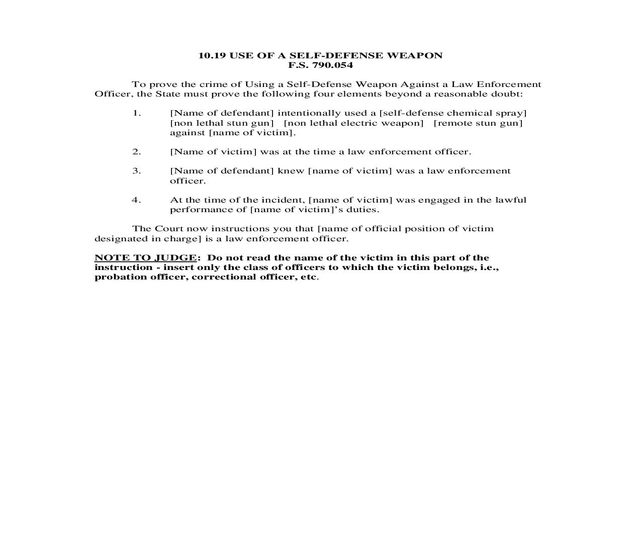
10.19 USE OF A SELF-DEFENSE WEAPON F.S. 790.054 To prove the crime of Using a Self-Defense Weapon Against a Law Enforcement Officer, the State mng four elemust prove the followients beyond a reasonable doubt: 1. [Name of defendant] intentionally used a ical spray ] [non lethal stun gun] non lethal electric weapo] n [remote stun gun] against [name of victim]. 2. [Name of victim] was at the time a law enforcement officer. 3. [Name of defendant] knew [name of victim] was a law enforcement officer. 4. At the time of the incident, [name of victim] was engaged in the lawful performance of [name of victim]s duties. The Court now instructions you that me of official position of victim designated in charge] is a law enforcement officer. NOTE TO JUDGE: Do not read the name of the victim in this part of the instruction - insert only the class of officers to which the victim belongs, i.e., probation officer, correctional officer, etc.





