Last updated: 11/8/2010
Order Allowing Community Restitution Work In Lieu Of Payment Incarceration Criminal Or Infraction {CrRLJ 07.0600}
Start Your Free Trial $ 13.99What you get:
- Instant access to fillable Microsoft Word or PDF forms.
- Minimize the risk of using outdated forms and eliminate rejected fillings.
- Largest forms database in the USA with more than 80,000 federal, state and agency forms.
- Download, edit, auto-fill multiple forms at once in MS Word using our Forms Workflow Ribbon
- Trusted by 1,000s of Attorneys and Legal Professionals
Description
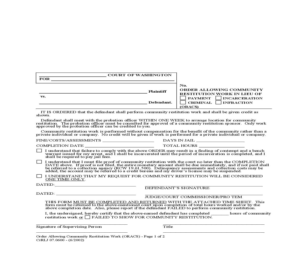
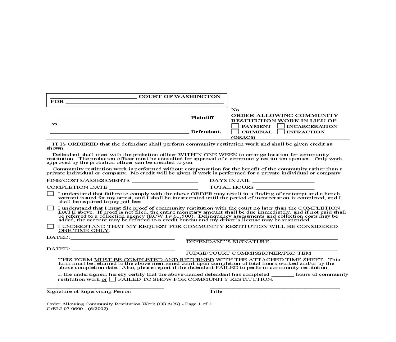
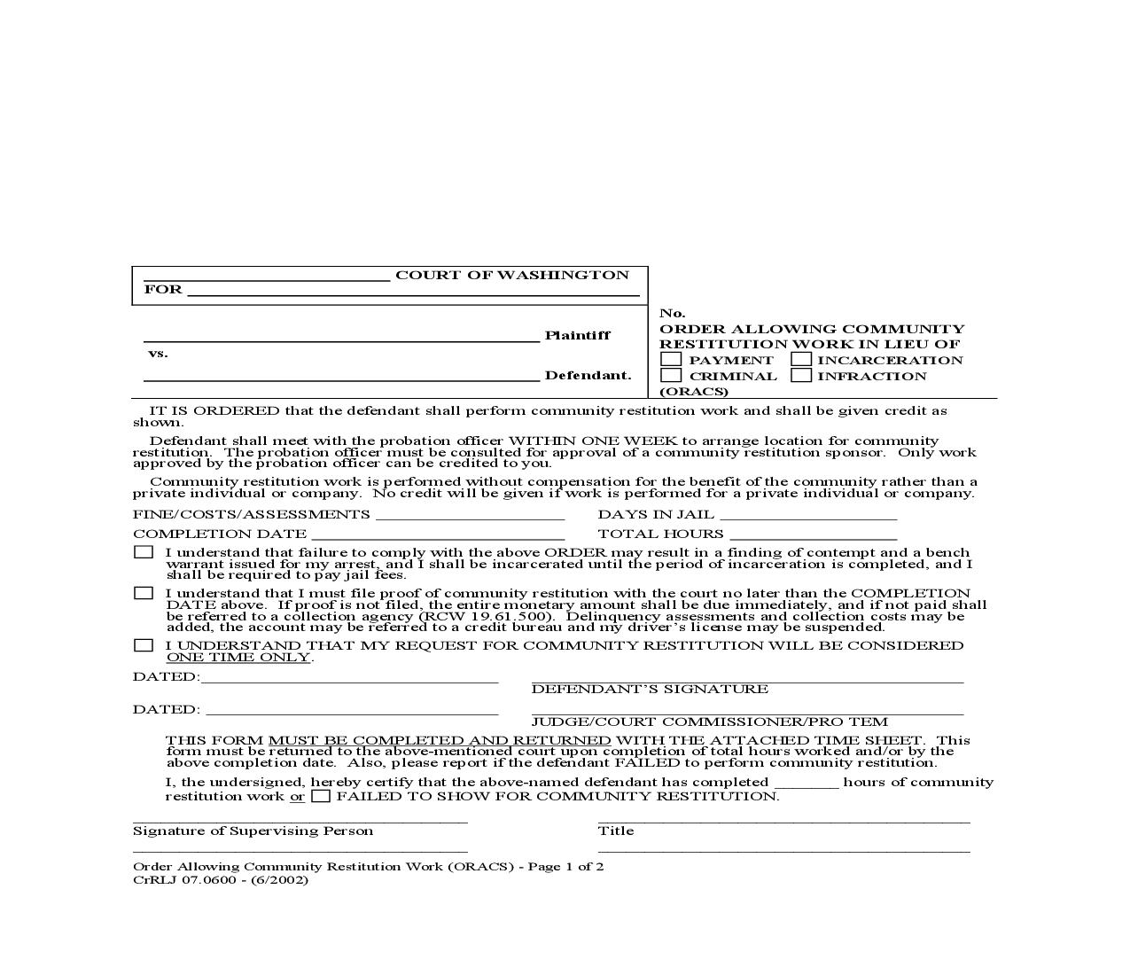
COURT COUNTY .OF. . . . . . . . . . . . . . . . . . . . . . . . . . . . . . . . . . . . . . . . . . ......... .. : : Plaintiff(s) -against: : : : Defendant(s) : ...................................................... COURT OF WASHINGTON Index No. Calendar No. JUDICIAL SUBPOENA THE PEOPLE OF THE STATE OF NEW YORK TO vs. Defendant. Plaintiff No. ORDER ALLOWING COMMUNITY RESTITUTION WORK IN LIEU OF PAYMENT CRIMINAL (ORACS) INCARCERATION INFRACTION FOR GREETINGS: IT IS ORDERED that the defendant shall perform community restitution work and shall be given credit as shown. WE COMMAND YOU, that all business and excuses being laid aside, you and each of you attend before , the Honorable meet with the probation officer WITHIN ONE WEEK to arrange location for community at the Court Defendant shall restitution. located at County of The probation officer must be consulted for approval of a community restitution sponsor. Only work approved in room by the probation officer can be credited to you. 20 , on the day of , , at o'clock in the noon, and at any recessed or Communitydate, to testify andperformed without compensation thisthe benefit of the community rather than a adjourned restitution work is give evidence as a witness in for action on the part of the private individual or company. No credit will be given if work is performed for a private individual or company. FINE/COSTS/ASSESSMENTS DAYS IN JAIL COMPLETION DATE TOTAL HOURS Your failure to comply with this subpoena is punishable as a contempt of court and will make you liable to I understand that failure to comply with the above ORDER may result in a finding of contempt and a bench the party on issued for my arrest, subpoena was issued for until the period of incarceration is completed, andsustained as a warrant whose behalf this and I shall be incarcerated a maximum penalty of $50 and all damages I result of your failureto pay jail fees. shall be required to comply. I understand that I must file proof of community restitution with the court no later than the COMPLETION DATE above. If proof is not filed, the entire monetary amount shall be due immediately, and if not paid shall Witness, Honorable one of the Justices of the be referred to a collection agency (RCW 19.61.500). Delinquency assessments, and collection costs may be added, may be referredday of to a credit bureau and20 driver's license may be suspended. Court in the account County, , my I UNDERSTAND THAT MY REQUEST FOR COMMUNITY RESTITUTION WILL BE CONSIDERED ONE TIME ONLY. DATED: DATED: DEFENDANT'S SIGNATURE (Attorney must sign above and type name below) JUDGE/COURT COMMISSIONER/PRO TEM Attorney(s) for THIS FORM MUST BE COMPLETED AND RETURNED WITH THE ATTACHED TIME SHEET. This form must be returned to the above-mentioned court upon completion of total hours worked and/or by the above completion date. Also, please report if the defendant FAILED to perform community restitution. I, the undersigned, hereby certify that the above-named defendant has completed _______ hours of community FAILED TO SHOW FOR COMMUNITY RESTITUTION. restitution work or ____________________________________ Signature of Supervising Person ____________________________________ ________________________________________ Title ________________________________________ Office and P.O. Address Order Allowing Community Restitution Work (ORACS) - Page 1 of 2 CrRLJ 07.0600 - (6/2002) Telephone No.: Facsimile No.: E-Mail Address: Mobile Tel. No.: American LegalNet, Inc. www.USCourtForms.com COURT COUNTY .OF. . . . . . . . . . . . . . . . . . . . . . . . . . . . . . . . . . . . . . . . . . ......... .. : : Agency Telephone Index No. Calendar No. Plaintiff(s) -against- : : : : JUDICIAL SUBPOENA Defendant(s) : ...................................................... THE PEOPLE OF THE STATE OF NEW YORK TO GREETINGS: WE COMMAND YOU, that all business and excuses being laid aside, you and each of you attend before , the Honorable at the Court located at County of in room , on the day of , 20 , at o'clock in the noon, and at any recessed or adjourned date, to testify and give evidence as a witness in this action on the part of the Your failure to comply with this subpoena is punishable as a contempt of court and will make you liable to the party on whose behalf this subpoena was issued for a maximum penalty of $50 and all damages sustained as a result of your failure to comply. Witness, Honorable Court in County, , one of the Justices of the day of , 20 (Attorney must sign above and type name below) Attorney(s) for Office and P.O. Address Telephone No.: Facsimile No.: E-Mail Address: Mobile Tel. No.: American LegalNet, Inc. www.USCourtForms.com





