Last updated: 9/10/2012
Order Certifying No Incarceration
Start Your Free Trial $ 12.99What you get:
- Instant access to fillable Microsoft Word or PDF forms.
- Minimize the risk of using outdated forms and eliminate rejected fillings.
- Largest forms database in the USA with more than 80,000 federal, state and agency forms.
- Download, edit, auto-fill multiple forms at once in MS Word using our Forms Workflow Ribbon
- Trusted by 1,000s of Attorneys and Legal Professionals
Description
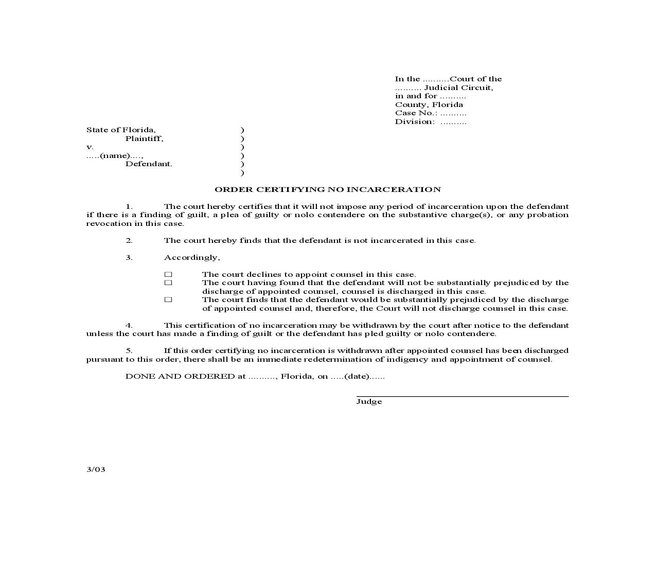
In the ..........Court of the .......... Judicial Circuit, in and for .......... County, Florida Case No.: .......... Division: .......... State of Florida, Plaintiff, v. .....(name)...., Defendant. ) ) ) ) ) ) ORDER CERTIFYING NO INCARCERATION 1. The court hereby certifies that it will not impose any period of incarceration upon the defendant if there is a finding of guilt, a plea of guilty or nolo contendere on the substantive charge(s), or any probation revocation in this case. 2. 3. The court hereby finds that the defendant is not incarcerated in this case. Accordingly, G G G The court declines to appoint counsel in this case. The court having found that the defendant will not be substantially prejudiced by the discharge of appointed counsel, counsel is discharged in this case. The court finds that the defendant would be substantially prejudiced by the discharge of appointed counsel and, therefore, the Court will not discharge counsel in this case. 4. This certification of no incarceration may be withdrawn by the court after notice to the defendant unless the court has made a finding of guilt or the defendant has pled guilty or nolo contendere. 5. If this order certifying no incarceration is withdrawn after appointed counsel has been discharged pursuant to this order, there shall be an immediate redetermination of indigency and appointment of counsel. DONE AND ORDERED at .........., Florida, on .....(date)...... Judge 3/03 American LegalNet, Inc. www.USCourtForms.com





