California
Judicial Council
Probate Guardianship-Conservatorship
200 Ratings
Last updated: 5/29/2015
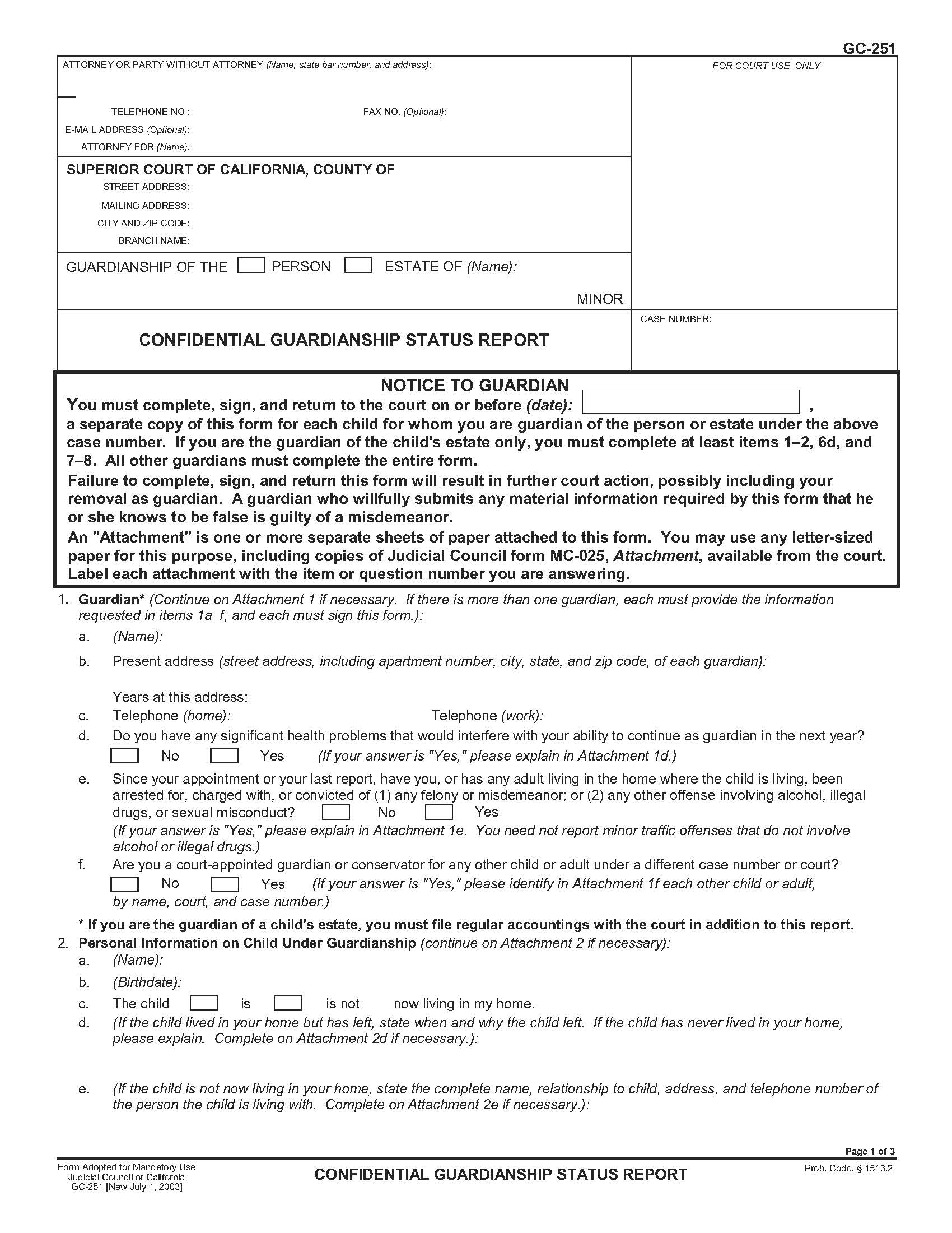
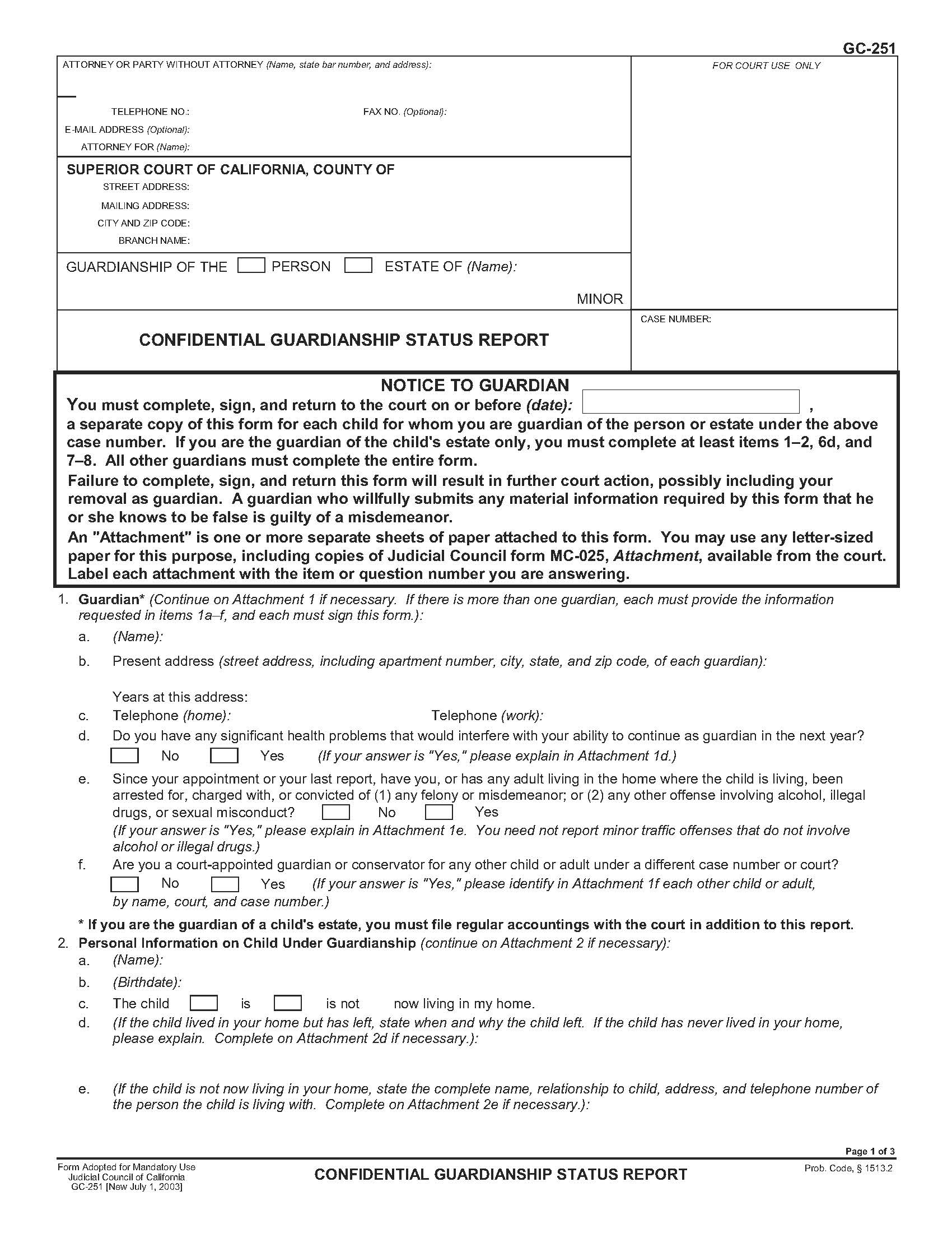
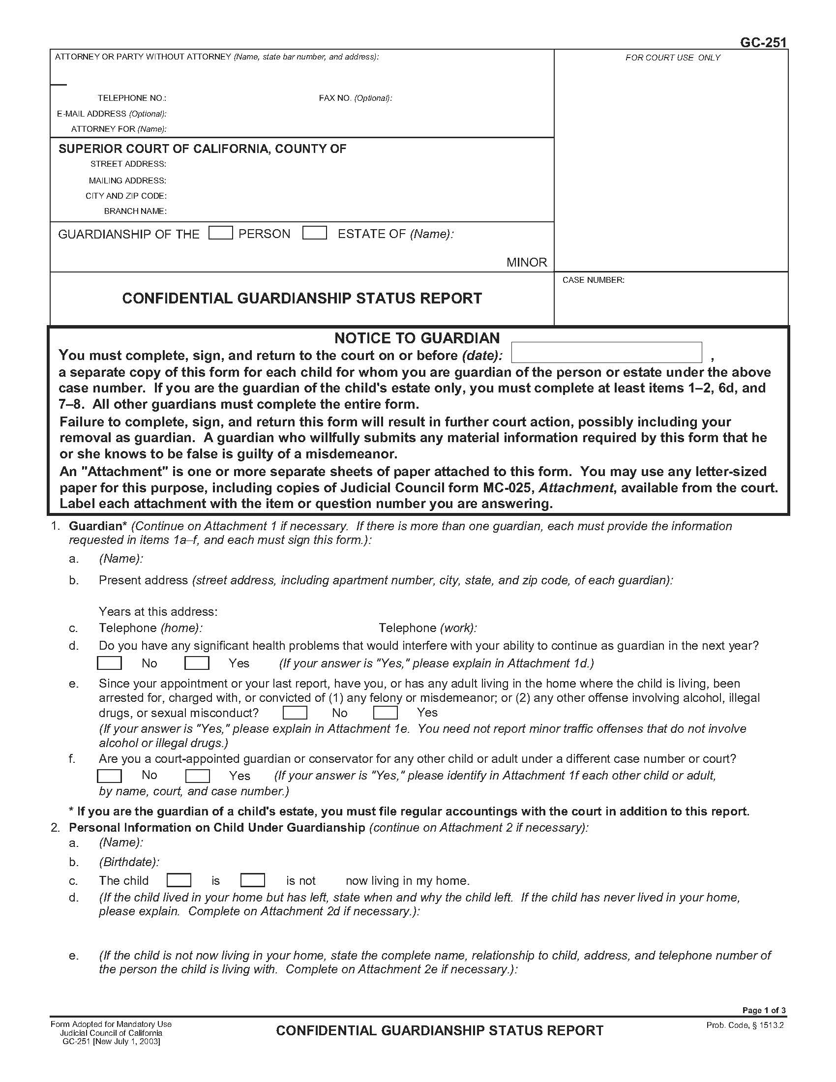
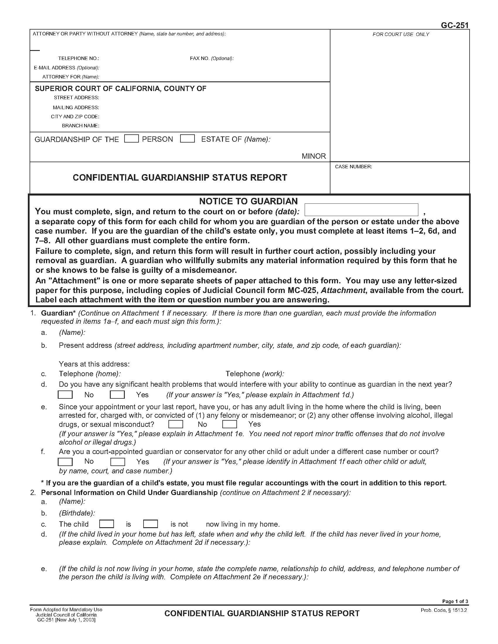
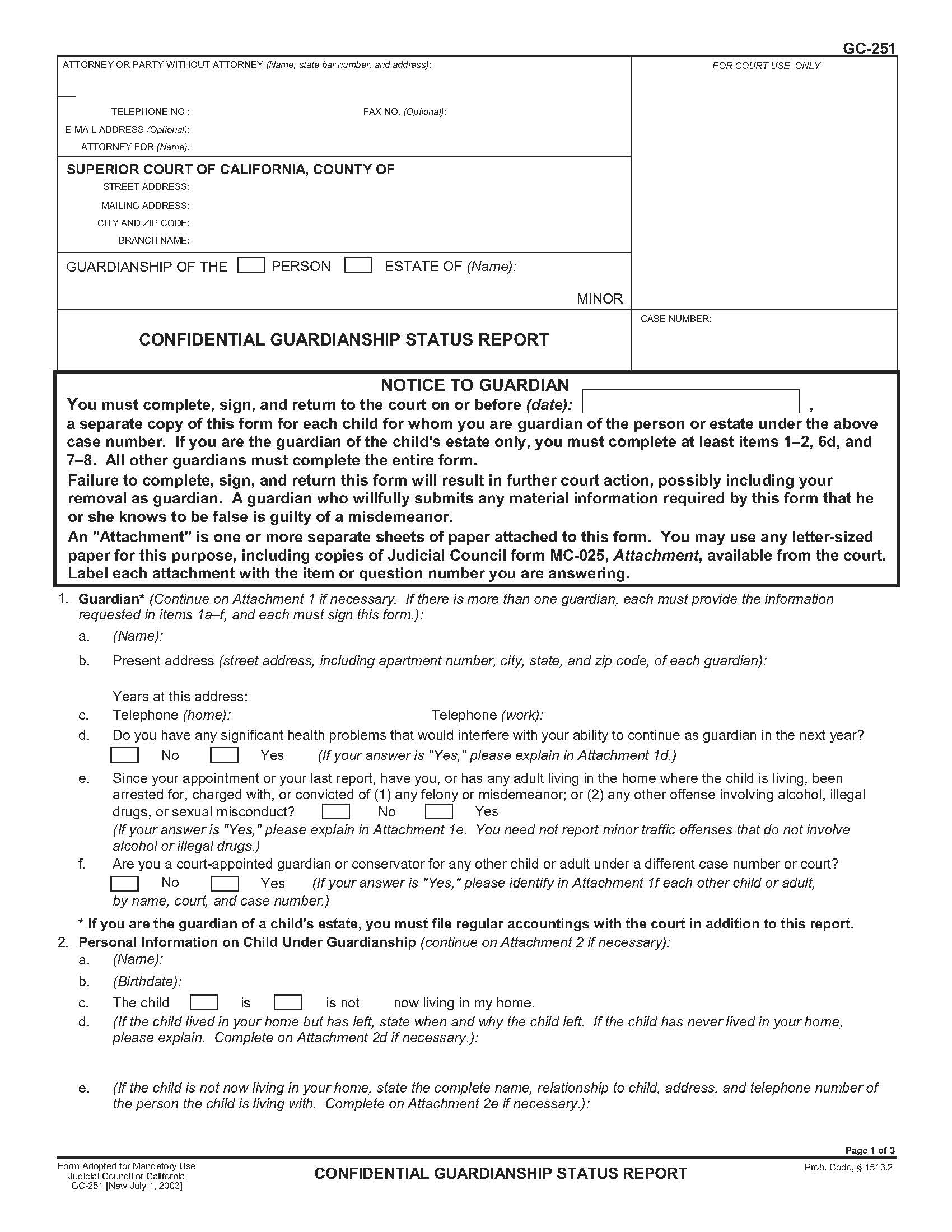
Confidential Guardianship Status Report {GC-251}
Start Your Free Trial $ 13.99What you get:
- Instant access to fillable Microsoft Word or PDF forms.
- Minimize the risk of using outdated forms and eliminate rejected fillings.
- Largest forms database in the USA with more than 80,000 federal, state and agency forms.
- Download, edit, auto-fill multiple forms at once in MS Word using our Forms Workflow Ribbon
- Trusted by 1,000s of Attorneys and Legal Professionals
Description
GC-251, CONFIDENTIAL GUARDIANSHIP STATUS REPORT, this form is used to give the court specific information about the guardianship. This information is confidential between you and the court. Form Adopted for Mandatory Use, Judicial Council of California, GC-251 [New July 1, 2003] Prob. Code, § 1513.2. www.FormsWorkflow.com
Related forms
-
Attachment Requesting Special Orders Regarding A Major Neurocognitive Disorder
California/Judicial Council/Probate Guardianship-Conservatorship/ -
Duties Of Guardian (Probate)
California/Judicial Council/Probate Guardianship-Conservatorship/ -
Ex Parte Petition For Approval Of Sale Of Personal Property And Order
California/Judicial Council/Probate Guardianship-Conservatorship/ -
Ex Parte Petition For Authority To Sell Securities And Order
California/Judicial Council/Probate Guardianship-Conservatorship/ -
Inventory And Appraisal Attachment
California/Judicial Council/Probate Guardianship-Conservatorship/ -
Order Dispensing With Notice-Guardianship Or Conservatorship
California/Judicial Council/Probate Guardianship-Conservatorship/ -
Order Fixing Residence Outside The State Of California
California/Judicial Council/Probate Guardianship-Conservatorship/ -
Order Prescribing Notice (Probate)
California/Judicial Council/Probate Guardianship-Conservatorship/ -
Order Terminating Guardianship
California/Judicial Council/Probate Guardianship-Conservatorship/ -
Petition For Appointment Of Guardian Of Minor
California/Judicial Council/Probate Guardianship-Conservatorship/ -
Petition For Appointment Of Probate Conservator
California/Judicial Council/Probate Guardianship-Conservatorship/ -
Petition For Exclusive Authority To Give Consent For Medical Treatment
California/Judicial Council/Probate Guardianship-Conservatorship/ -
Petition For Termination Of Guardianship
California/Judicial Council/Probate Guardianship-Conservatorship/ -
Petition To Fix Residence Outside The State Of California
California/Judicial Council/Probate Guardianship-Conservatorship/ -
Confidential Guardianship Status Report
California/Judicial Council/Probate Guardianship-Conservatorship/ -
Consent Of Proposed Guardian Nomination Of Guardian And Consent To Appointment
California/Judicial Council/Probate Guardianship-Conservatorship/ -
Attachment To Notice Of Hearing Proof Of Personal Service (Probate-Guardianships And Conservatorships)
California/Judicial Council/Probate Guardianship-Conservatorship/ -
Attachment To Notice Of Hearing Proof Of Service By Mail (Probate-Guardianships And Conservatorships)
California/Judicial Council/Probate Guardianship-Conservatorship/ -
Clerks Certificate Of Posting Notice Of Hearing-Guardianship Or Conservatorship (Probate-Guardianships)
California/Judicial Council/Probate Guardianship-Conservatorship/ -
Notice Of Hearing-Guardianship Or Conservatorship (Probate-Guardianships Or Convservatorships)
California/Judicial Council/Probate Guardianship-Conservatorship/ -
Notice Of Opening Or Changing A Guardianship Or Conservatorship Account Or Safe-Deposit Box (Probate-Guardianships)
California/Judicial Council/Probate Guardianship-Conservatorship/ -
Proof Of Personal Service Of Notice Of Hearing-Guardianship Or Conservatorship (Probate-Guardianships)
California/Judicial Council/Probate Guardianship-Conservatorship/ -
Order Appointing Probate Conservator (Probate-Guardianships And Conservatorships)
California/Judicial Council/Probate Guardianship-Conservatorship/ -
Order Authorizing Conservator To Give Consent For Medical Treatment
California/Judicial Council/Probate Guardianship-Conservatorship/ -
Order Appointing Legal Counsel
California/Judicial Council/Probate Guardianship-Conservatorship/ -
Application For Appointment Of Counsel
California/Judicial Council/Probate Guardianship-Conservatorship/ -
Petition For Appointment Of Guardian Of The Person
California/Judicial Council/Probate Guardianship-Conservatorship/ -
Petition For Appointment Of Temporary Guardian Of The Person
California/Judicial Council/Probate Guardianship-Conservatorship/ -
Forms You Need to Ask the Court to Appoint a Guardian of the Person
California/Judicial Council/Probate Guardianship-Conservatorship/ -
What Is Proof of Service In A Guardianship
California/Judicial Council/Probate Guardianship-Conservatorship/ -
Additional Property Received During Period Of Account-Standard And Simplified Accounts
California/Judicial Council/Probate Guardianship-Conservatorship/ -
Attachment To Notice Of Filing Of Inventory And Appraisal
California/Judicial Council/Probate Guardianship-Conservatorship/ -
Cash Assets On Hand At Beginning Of Account Period
California/Judicial Council/Probate Guardianship-Conservatorship/ -
Distribution To Conservatee Or Ward-Standard And Simplified Accounts
California/Judicial Council/Probate Guardianship-Conservatorship/ -
Net Income From A Trade Or Business-Standard Account
California/Judicial Council/Probate Guardianship-Conservatorship/ -
Summary Of Account-Standard And Simplified Accounts
California/Judicial Council/Probate Guardianship-Conservatorship/ -
Net Loss From A Trade Or Business-Standard Account
California/Judicial Council/Probate Guardianship-Conservatorship/ -
Other Charges-Standard And Simplified Accounts
California/Judicial Council/Probate Guardianship-Conservatorship/ -
Non-Cash Assets On Hand At Beginning Of Account Period-Standard And Simplified Accounts
California/Judicial Council/Probate Guardianship-Conservatorship/ -
Non-Cash Assets On Hand At End Of Account Period-Standard And Simplified Accounts
California/Judicial Council/Probate Guardianship-Conservatorship/ -
Notice Of Filing Of Inventory And Appraisal And How To Object
California/Judicial Council/Probate Guardianship-Conservatorship/ -
Objections To Inventory And Appraisal Of Conservator Or Guardian
California/Judicial Council/Probate Guardianship-Conservatorship/ -
Other Credits-Standard And Simplified Accounts
California/Judicial Council/Probate Guardianship-Conservatorship/ -
Schedule A And C Receipts And Disbursements Worksheet-Standard Account
California/Judicial Council/Probate Guardianship-Conservatorship/ -
Schedule A Receipts Dividends-Standard Account
California/Judicial Council/Probate Guardianship-Conservatorship/ -
Schedule A Receipts Interest-Standard Account
California/Judicial Council/Probate Guardianship-Conservatorship/ -
Schedule A Receipts Other Receipts-Standard Account
California/Judicial Council/Probate Guardianship-Conservatorship/ -
Schedule A Receipts Pensions Annuities And Other Regular Periodic Payments-Standard Account
California/Judicial Council/Probate Guardianship-Conservatorship/ -
Schedule A Receipts Rent-Standard Account
California/Judicial Council/Probate Guardianship-Conservatorship/ -
Schedule A Receipts Social Security Veterans Benefits Other Public Benefits-Standard Account
California/Judicial Council/Probate Guardianship-Conservatorship/ -
Schedule A Receipts-Simplified Account
California/Judicial Council/Probate Guardianship-Conservatorship/ -
Schedule B Gains On Sales-Standard And Simplified Accounts
California/Judicial Council/Probate Guardianship-Conservatorship/ -
Schedule C Disbursements Conservatees Caregiver Expenses-Standard Account
California/Judicial Council/Probate Guardianship-Conservatorship/ -
Schedule C Disbursements Conservatees Residential Or Long-Term Care Facility Living Expenses-Standard Account
California/Judicial Council/Probate Guardianship-Conservatorship/ -
Schedule C Disbursements Fiduciary And Attorneys Fees Standard Account
California/Judicial Council/Probate Guardianship-Conservatorship/ -
Schedule C Disbursements General Administration Expenses-Standard Account
California/Judicial Council/Probate Guardianship-Conservatorship/ -
Schedule C Disbursements Investment Expenses-Standard Account
California/Judicial Council/Probate Guardianship-Conservatorship/ -
Schedule C Disbursements Investments Medical Expenses-Standard Account
California/Judicial Council/Probate Guardianship-Conservatorship/ -
Schedule C Disbursements Living Expenses-Standard Account
California/Judicial Council/Probate Guardianship-Conservatorship/ -
Schedule C Disbursements Other Expenses-Standard Account
California/Judicial Council/Probate Guardianship-Conservatorship/ -
Schedule C Disbursements Property Sale Expenses-Standard Account
California/Judicial Council/Probate Guardianship-Conservatorship/ -
Schedule C Disbursements Rental Property Expenses-Standard Account
California/Judicial Council/Probate Guardianship-Conservatorship/ -
Schedule C Disbursements Wards Education Expenses-Standard Account
California/Judicial Council/Probate Guardianship-Conservatorship/ -
Schedule C Disbursements-Simplified Account
California/Judicial Council/Probate Guardianship-Conservatorship/ -
Schedule D Loses On Sales-Standard And Simplified Accounts
California/Judicial Council/Probate Guardianship-Conservatorship/ -
Schedule E Cash Assets On Hand At End Of Account Period
California/Judicial Council/Probate Guardianship-Conservatorship/ -
Schedule F Changes In Form Of Assets-Standard And Simplifie Acounts
California/Judicial Council/Probate Guardianship-Conservatorship/ -
Schedule G Liabilities At End Of Account Period-Standard And Simplified Accounts
California/Judicial Council/Probate Guardianship-Conservatorship/ -
Petition For Appointment Of Temporary Guardian
California/Judicial Council/Probate Guardianship-Conservatorship/ -
Petition For Appointment Of Temporary Conservator
California/Judicial Council/Probate Guardianship-Conservatorship/ -
Declaration Continuation Page (Probate-Guardianships And Conservatorships)
California/Judicial Council/Probate Guardianship-Conservatorship/ -
Declaration In Support Of Ex Parte Application For Good Cause Exception
California/Judicial Council/Probate Guardianship-Conservatorship/ -
Ex Parte Application For Good Cause Exception To Notice Of Hearing
California/Judicial Council/Probate Guardianship-Conservatorship/ -
Order On Ex-Parte Application For Good Cause Exception
California/Judicial Council/Probate Guardianship-Conservatorship/ -
Notice Of Taking Possession Or Control Of An Asset Of Minor
California/Judicial Council/Probate Guardianship-Conservatorship/ -
Order Appointing Temporary Guardian (Probate-Guardianships And Conservatorships)
California/Judicial Council/Probate Guardianship-Conservatorship/ -
Order Appointing Temporary Conservator
California/Judicial Council/Probate Guardianship-Conservatorship/ -
Professional Fiduciary Attachment To Petition For Appointment Of Guardian Or Conservator
California/Judicial Council/Probate Guardianship-Conservatorship/ -
Confidential Conservator Screening Form
California/Judicial Council/Probate Guardianship-Conservatorship/ -
Confidential Guardian Screening Form
California/Judicial Council/Probate Guardianship-Conservatorship/ -
Ex Parte Order Authorizing Disclosure Of (Proposed) Conservatees Health Information
California/Judicial Council/Probate Guardianship-Conservatorship/ -
Duties Of Conservator And Acknowledgment Of Receipt Of Handbook For Conservators
California/Judicial Council/Probate Guardianship-Conservatorship/ -
Letters Of Conservatorship
California/Judicial Council/Probate Guardianship-Conservatorship/ -
Letters Of Temporary Guardianship Or Conservatorship
California/Judicial Council/Probate Guardianship-Conservatorship/ -
Schedule D Losses On Sales-Standard And Simplified Accounts
California/Judicial Council/Probate Guardianship-Conservatorship/ -
Conservatorship Registrants Acknowledgment Of Receipt Of Handbook For Conservators
California/Judicial Council/Probate Guardianship-Conservatorship/ -
Conservatorship Registration Cover Sheet And Attestation Of Conservatees Non-Residence
California/Judicial Council/Probate Guardianship-Conservatorship/ -
Notice Of Intent To Register Conservatorship
California/Judicial Council/Probate Guardianship-Conservatorship/ -
Citation For Conservatorship
California/Judicial Council/Probate Guardianship-Conservatorship/ -
Petition For Special Immigrant Juvenile Findings
California/Judicial Council/Probate Guardianship-Conservatorship/ -
Petition To Extend Guardianship Of The Person
California/Judicial Council/Probate Guardianship-Conservatorship/ -
Order Appointing Guardian Or Extending Guardianship Of The Person
California/Judicial Council/Probate Guardianship-Conservatorship/ -
Letters Of Guardianship
California/Judicial Council/Probate Guardianship-Conservatorship/ -
Final Order Confirming Transfer (California Conservatorship Jurisdiction Act)
California/Judicial Council/Probate Guardianship-Conservatorship/ -
Provisional Order For Transfer (California Conservatorship Jurisdiction Act)
California/Judicial Council/Probate Guardianship-Conservatorship/ -
Request And Order For Waiver Of Accounting
California/1 Judicial Council/Probate Guardianship-Conservatorship/ -
Certification Of Attorney Qualifications
California/Judicial Council/Probate Guardianship-Conservatorship/ -
Petition For Transfer Orders (California Conservatorship Jurisdiction Act)
California/Judicial Council/Probate Guardianship-Conservatorship/ -
Duties Of Guardian (Probate) Espanol (Spanish)
California/1 Judicial Council/Probate Guardianship-Conservatorship/ -
Child Information Attachment To Probate Guardianship Petition
California/Judicial Council/Probate Guardianship-Conservatorship/ -
Information On Probate Guardianships Of The Person
California/Judicial Council/Probate Guardianship-Conservatorship/ -
Objection To Petition For Appointment Of Guardian
California/Judicial Council/Probate GuardianshipConservatorship/ -
Comparison Of Guardians With Other Nonparent Caregivers
California/Judicial Council/Probate GuardianshipConservatorship/ -
Information On Probate Guardianship Of The Estate
California/Judicial Council/Probate GuardianshipConservatorship/ -
Order Appointing Court Investigator
California/Judicial Council/Probate Guardianship-Conservatorship/ -
Order Appointing Court Investigator (Review And Successor Conservator Investigations)
California/Judicial Council/Probate Guardianship-Conservatorship/ -
Confidential Supplemental Information (Probate Conservatorship)
California/Judicial Council/Probate Guardianship-Conservatorship/ -
Confidential Declaration On Medical Ability To Attend Hearing-Probate Conservatorship
California/Judicial Council/Probate GuardianshipConservatorship/ -
Confidential Conservatorship Care Plan-Part 2 (Medical Information)
California/Judicial Council/Probate GuardianshipConservatorship/ -
Confidential Capacity Assessment And Declaration-Probate Conservatorship
California/Judicial Council/Probate Guardianship-Conservatorship/ -
Everyday Activities Attachment To Confidential Capacity Assessment And Declaration-Probate Conservatorship
California/Judicial Council/Probate Guardianship-Conservatorship/ -
Confidential Conservatorship Care Plan-Part 1
California/Judicial Council/Probate Guardianship-Conservatorship/ -
Notice Before Proposed Change Of Residence Of Conservatee Or Ward
California/Judicial Council/Probate Guardianship-Conservatorship/ -
Attachment To Notice Before Proposed Change Of Residence Of Conservatee Or Ward
California/Judicial Council/Probate Guardianship-Conservatorship/ -
Notice After Change Of Residence Of Conservatee Or Ward
California/Judicial Council/Probate Guardianship-Conservatorship/ -
Attachment To Notice After Change Of Residence Of Conservatee Or Ward
California/Judicial Council/Probate Guardianship-Conservatorship/ -
Provisional Order Accepting Transfer (California Conservatorship Jurisdiction Act)
California/Judicial Council/Probate Guardianship-Conservatorship/ -
Notice Of Conservatees Death
California/Judicial Council/Probate Guardianship-Conservatorship/ -
Ex Parte Application For Order Authorizing Completion Of Capacity Declaration-HIPPA
California/Judicial Council/Probate Guardianship-Conservatorship/ -
Ex Parte Order Re Completion Of Capacity Declartion-HIPPA
California/Judicial Council/Probate Guardianship-Conservatorship/ -
Notice Of Conservatees Rights
California/Judicial Council/Probate Guardianship-Conservatorship/ -
Attachment To Notice Of Conservatees Rights
California/Judicial Council/Probate Guardianship-Conservatorship/ -
Personalized Information For Conservatee-Probate
California/Judicial Council/Probate GuardianshipConservatorship/ -
Petition For Orders Accepting Transfer (California Conservatorship Jurisdiction Act)
California/Judicial Council/Probate Guardianship-Conservatorship/ -
Final Order Accepting Transfer (California Conservatorship Jurisdiction Act)
California/Judicial Council/Probate Guardianship-Conservatorship/
Form Preview
Sorry, we couldn't download the pdf file.
Our Products
Contact Us
Success: Your message was sent.
Thank you!




