Last updated: 2/6/2026
Petition For Discharge Of Guardian (Full Waiver By Ward) {G-6.022}
Start Your Free Trial $ 12.00What you get:
- Instant access to fillable Microsoft Word or PDF forms.
- Minimize the risk of using outdated forms and eliminate rejected fillings.
- Largest forms database in the USA with more than 80,000 federal, state and agency forms.
- Download, edit, auto-fill multiple forms at once in MS Word using our Forms Workflow Ribbon
- Trusted by 1,000s of Attorneys and Legal Professionals
Description
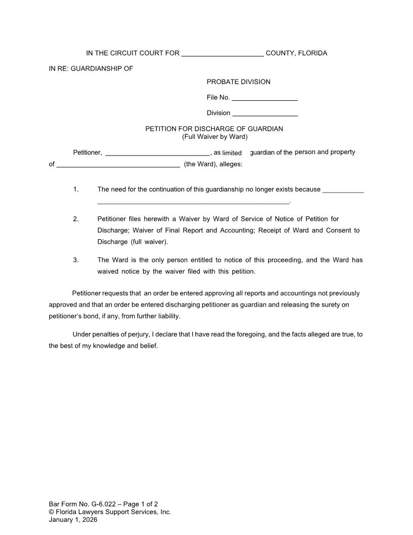
G-6.022 - PETITION FOR DISCHARGE OF GUARDIAN (Full Waiver by Ward). This FLSSI form is used in the Circuit Court for a specific county in Florida when the guardian believes that the need for the guardianship no longer exists. The petitioner, who is the guardian, alleges that the continuation of the guardianship is no longer necessary. The petitioner also files a Waiver by Ward of Service of Notice of Petition for Discharge, Waiver of Final Report and Accounting, Receipt of Ward, and Consent to Discharge, indicating that the ward has waived their right to notice and has given their consent to the discharge. The petitioner requests the court to approve any pending reports and accountings and to enter an order discharging the petitioner as guardian and releasing the surety on the petitioner's bond. The form includes a declaration under penalties of perjury and provides spaces for the petitioner's signature, attorney's information (if applicable), and contact details © Florida Lawyers Support Services, Inc. January 1, 2026 www.FormsWorkflow.com
Related forms
-
Final Report Of Guardian Of The Property
Florida/FLSSI/FLSSI Guardianship/Termination Of Guardianship/ -
Notice Of Discharge Of Guardian Of Person Upon Death Of Ward
Florida/FLSSI/FLSSI Guardianship/Termination Of Guardianship/ -
Notice Of Final Report And Accounting And Petition For Discharge
Florida/FLSSI/FLSSI Guardianship/Termination Of Guardianship/ -
Notice Of Resignation Of Guardian
Florida/FLSSI/FLSSI Guardianship/Termination Of Guardianship/ -
Order Approving Distribution And Authorizing Discharge Of Guardian (By Waiver)
Florida/FLSSI/FLSSI Guardianship/Termination Of Guardianship/ -
Order Approving Distribution And Authorizing Discharge Of Guardian
Florida/FLSSI/FLSSI Guardianship/Termination Of Guardianship/ -
Order Authorizing Discharge Of Guardian Of Person (Successor Guardian)
FLSSI Guardianship/Termination Of Guardianship/ -
Order Authorizing Discharge Of Guardian Of Person (Sui Juris or Restored)
FLSSI Guardianship/Termination Of Guardianship/ -
Order Of Discharge Of Guardian Of Person
FLSSI Guardianship/6 Termination Of Guardianship/ -
Order Of Discharge Of Guardian Of Property
FLSSI Guardianship/Termination Of Guardianship/ -
Order On Resignation Of Guardian (Additional Notice Required)
Florida/FLSSI/FLSSI Guardianship/Termination Of Guardianship/ -
Order On Resignation Of Guardian (No Additional Notice Required)
Florida/FLSSI/FLSSI Guardianship/Termination Of Guardianship/ -
Order Removing Guardian
Florida/FLSSI/FLSSI Guardianship/Termination Of Guardianship/ -
Petition For Discharge Of Guardian (Depository - Waiver By Ward And Consent)
Florida/FLSSI/FLSSI Guardianship/Termination Of Guardianship/ -
Petition For Discharge Of Guardian (Full Waiver By Ward)
FLSSI Guardianship/Termination Of Guardianship/ -
Petition For Discharge Of Guardian (Waiver By Ward Consent To Distribution)
Florida/FLSSI/FLSSI Guardianship/Termination Of Guardianship/ -
Petition For Discharge Of Guardian
Florida/FLSSI/FLSSI Guardianship/Termination Of Guardianship/ -
Petition For Discharge Of Guardian Depository
Florida/FLSSI/FLSSI Guardianship/Termination Of Guardianship/ -
Petition For Discharge Of Guardian Of Person
FLSSI Guardianship/6 Termination Of Guardianship/ -
Petition To Remove Guardian
Florida/FLSSI/FLSSI Guardianship/Termination Of Guardianship/ -
Proof Of Service Notice Final Report Accounting Petition For Discharge
FLSSI Guardianship/6 Termination Of Guardianship/ -
Receipt
Florida/FLSSI/FLSSI Guardianship/Termination Of Guardianship/ -
Receipt Of Ward And Consent To Discharge
Florida/FLSSI/FLSSI Guardianship/Termination Of Guardianship/ -
Report Of Distribution
Florida/FLSSI/FLSSI Guardianship/Termination Of Guardianship/ -
Resignation Of Guardian
Florida/FLSSI/FLSSI Guardianship/Termination Of Guardianship/ -
Resignation of Guardian of Person
FLSSI Guardianship/Termination Of Guardianship/ -
Waiver By Personal Representative Objections Notice Hearing For Discharge Final Report
Florida/FLSSI/FLSSI Guardianship/Termination Of Guardianship/ -
Waiver Of Notice-Hearing-Objections To Petition For Discharge Final Report
Florida/FLSSI/FLSSI Guardianship/Termination Of Guardianship/ -
Waiver Of Service Of Notice Of Petition For Discharge And Final Report
Florida/FLSSI/FLSSI Guardianship/Termination Of Guardianship/ -
Waiver Service Of Notice-Discharge-Final Report-Receipt Of Ward-Consent To Distribution
Florida/FLSSI/FLSSI Guardianship/Termination Of Guardianship/
Form Preview
Contact Us
Success: Your message was sent.
Thank you!




