Last updated: 12/31/2025
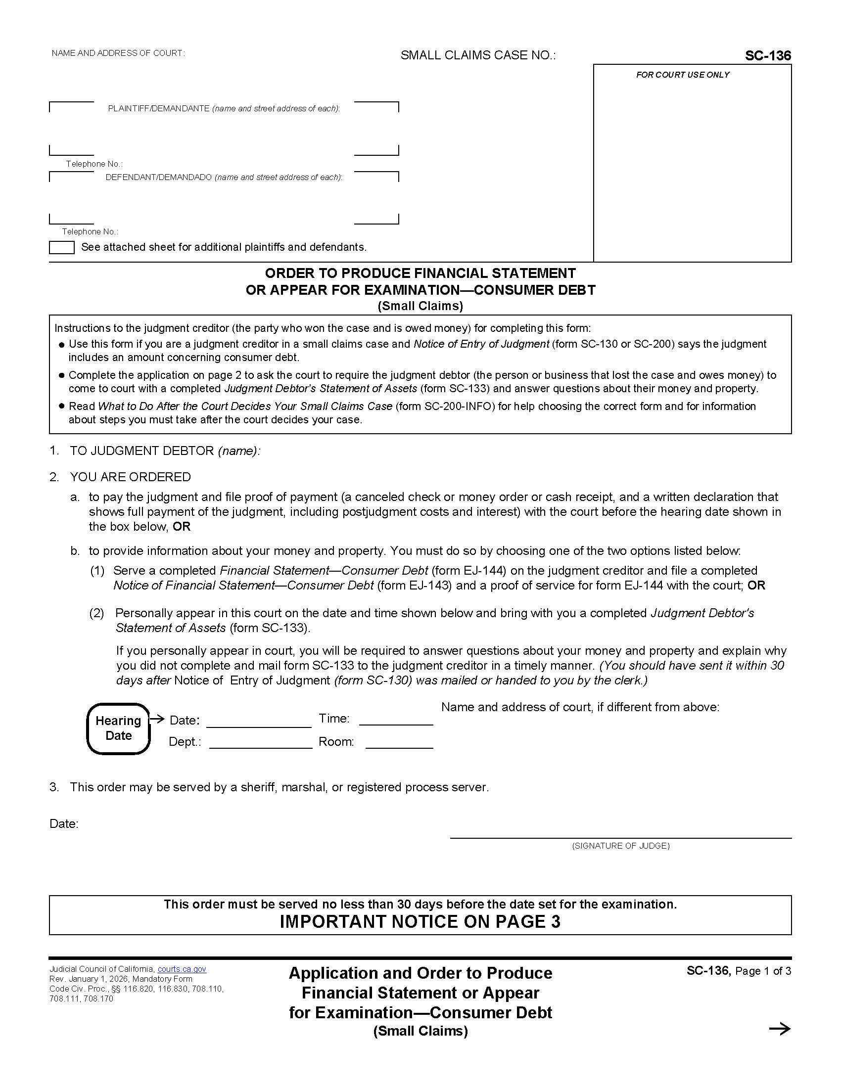
Application And Order To Produce Financial Statement Or Appear For Examination {SC-136}
Start Your Free Trial $ 14.00What you get:
- Instant access to fillable Microsoft Word or PDF forms.
- Minimize the risk of using outdated forms and eliminate rejected fillings.
- Largest forms database in the USA with more than 80,000 federal, state and agency forms.
- Download, edit, auto-fill multiple forms at once in MS Word using our Forms Workflow Ribbon
- Trusted by 1,000s of Attorneys and Legal Professionals
Description
SC-136 - ORDER TO PRODUCE FINANCIAL STATEMENT OR APPEAR FOR EXAMINATION—CONSUMER DEBT (Small Claims). Use this form if you are a judgment creditor in a small claims case and Notice of Entry of Judgment (form SC-130 or SC-200) says the judgment includes an amount concerning consumer debt. Complete the application on page 2 to ask the court to require the judgment debtor (the person or business that lost the case and owes money) to come to court with a completed Judgment Debtor's Statement of Assets (form SC-133) and answer questions about their money and property. Read What to Do After the Court Decides Your Small Claims Case (form SC-200-INFO) for help choosing the correct form and for information about steps you must take after the court decides your case. Form Adopted for Mandatory Use. Code of Civil Procedure, §§ 116.820, 116.830, 708.110, 708.111, 708.170. www.FormsWorkflow.com
Related forms
-
Additional Plaintiffs And Defendants (Small Claims)
California/Judicial Council/Small Claims/ -
Attorney-Client Fee Dispute (Attachment To Notice Of Entry Of Judgment)
California/Judicial Council/Small Claims/ -
Judgment Debtors Statement Of Assets (Small Claims)
California/Judicial Council/Small Claims/ -
Notice Of Appeal (Small Claims)
California/Judicial Council/Small Claims/ -
Notice Of Motion To Vacate Judgment And Declaration (Small Claims)
California/Judicial Council/Small Claims/ -
Request To Pay Judgment To Court (Small Claims)
California/Judicial Council/Small Claims/ -
Small Claims Subpoena For Personal Appearance And Production Of Documents
California/Judicial Council/Small Claims/ -
Request To Amend Claim Before Hearing (Small Claims)
California/Judicial Council/Small Claims/ -
Proof Of Mailing (Substituted Service) (Small Claims)
California/Judicial Council/Small Claims/ -
Proof Of Service (Small Claims)
California/Judicial Council/Small Claims/ -
Other Plaintiffs Or Defendants (Small Claims)
California/Judicial Council/Small Claims/ -
Response To Request To Make Payments (Small Claims)
California/Judicial Council/Small Claims/ -
Decision On Attorney-Client Fee Dispute (Small Claims)
California/Judicial Council/Small Claims/ -
Clerks Certificate Of Mailing
California/Judicial Council/Small Claims/ -
Attachment To Order On Declaration Of Default In Payments
California/Judicial Council/Small Claims/ -
Petition For Writ (Small Claims)
California/Judicial Council/Small Claims/ -
Information On Writ Proceedings In Small Claims Cases
California/Judicial Council/Small Claims/ -
Other Plaintiffs Or Defendants (Attachment To Plaintiffs Claim And Order)
California/Judicial Council/Small Claims/ -
COVID-19 Rental Debt In Small Claims Court
California/1 Judicial Council/Small Claims/ -
Other Plaintiffs Or Defendents (COVID-19 Rental Debt)
California/1 Judicial Council/Small Claims/ -
Fictitious Business Name (Small Claims)
California/Judicial Council/Small Claims/ -
What Is Proof Of Service (Small Claims)
California/Judicial Council/Small Claims/ -
Request To Make Payments (Small Claims)
California/Judicial Council/Small Claims/ -
Response To Declaration Of Default In Payment Of Judgment
California/Judicial Council/Small Claims/ -
Plaintiffs Claim And Order To Go To Small Claims Court
California/Judicial Council/Small Claims/ -
Information For The Small Claims Plaintiff
California/Judicial Council/Small Claims/ -
Attorney Fee Dispute (After Arbitration) (Attachment To Claim And Order To Go To Small Claims Court)
California/Judicial Council/Small Claims/ -
Plaintiffs Claim And ORDER To Go To Small Claims Court (COVID-19 Rental Debt)
California/1 Judicial Council/Small Claims/ -
Notice Of Entry Of Judgment (Small Claims)
California/Judicial Council/Small Claims/ -
Application And Order To Produce Statement Of Assets
California/Judicial Council/Small Claims/ -
Notice Of Entry Of Judgment (Small Claims)
California/Judicial Council/Small Claims/ -
How To Serve A Business
California/Judicial Council/Small Claims/ -
Request For Court Order And Answer (Small Claims)
California/Judicial Council/Small Claims/ -
Order On Request For Court Order (Small Claims)
California/Judicial Council/Small Claims/ -
Request To Correct Or Cancel Judgment And Answer (Small Claims)
California/Judicial Council/Small Claims/ -
Order On Request To Correct Or Cancel Judgment (Small Claims)
California/Judicial Council/Small Claims/ -
Proof Of Service By Mail (Small Claims)
California/Judicial Council/Small Claims/ -
Defendents Claim And Order To Go To Small Claims Court (Small Claims)
California/Judicial Council/Small Claims/ -
Request To Postpone Trial (Small Claims)
California/Judicial Council/Small Claims/ -
Order On Request To Postpone Trial (Small Claims)
California/Judicial Council/Small Claims/ -
What To Do After The Court Decides Your Small Claims Case
California/Judicial Council/Small Claims/ -
Order On Request To Make Payments (Small Claims)
California/Judicial Council/Small Claims/ -
Declaration Of Default In Payment Of Judgment
California/Judicial Council/Small Claims/ -
Order On Declaration Of Default In Payments
California/Judicial Council/Small Claims/ -
Acknowledgment Of Satisfaction Of Judgment
California/Judicial Council/Small Claims/ -
Authorization To Appear (Small Claims)
California/Judicial Council/Small Claims/ -
Application And Order To Produce Financial Statement Or Appear For Examination
California/Judicial Council/Small Claims/
Form Preview
Contact Us
Success: Your message was sent.
Thank you!




