Last updated: 11/3/2025
Order Of Reference To Mediation
Start Your Free Trial $ 14.00What you get:
- Instant access to fillable Microsoft Word or PDF forms.
- Minimize the risk of using outdated forms and eliminate rejected fillings.
- Largest forms database in the USA with more than 80,000 federal, state and agency forms.
- Download, edit, auto-fill multiple forms at once in MS Word using our Forms Workflow Ribbon
- Trusted by 1,000s of Attorneys and Legal Professionals
Description
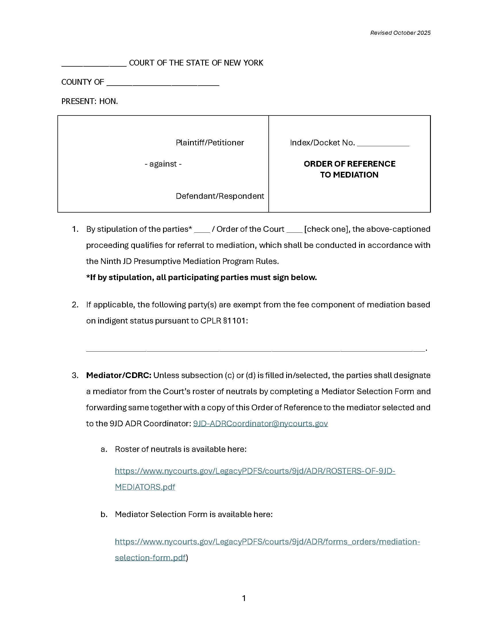
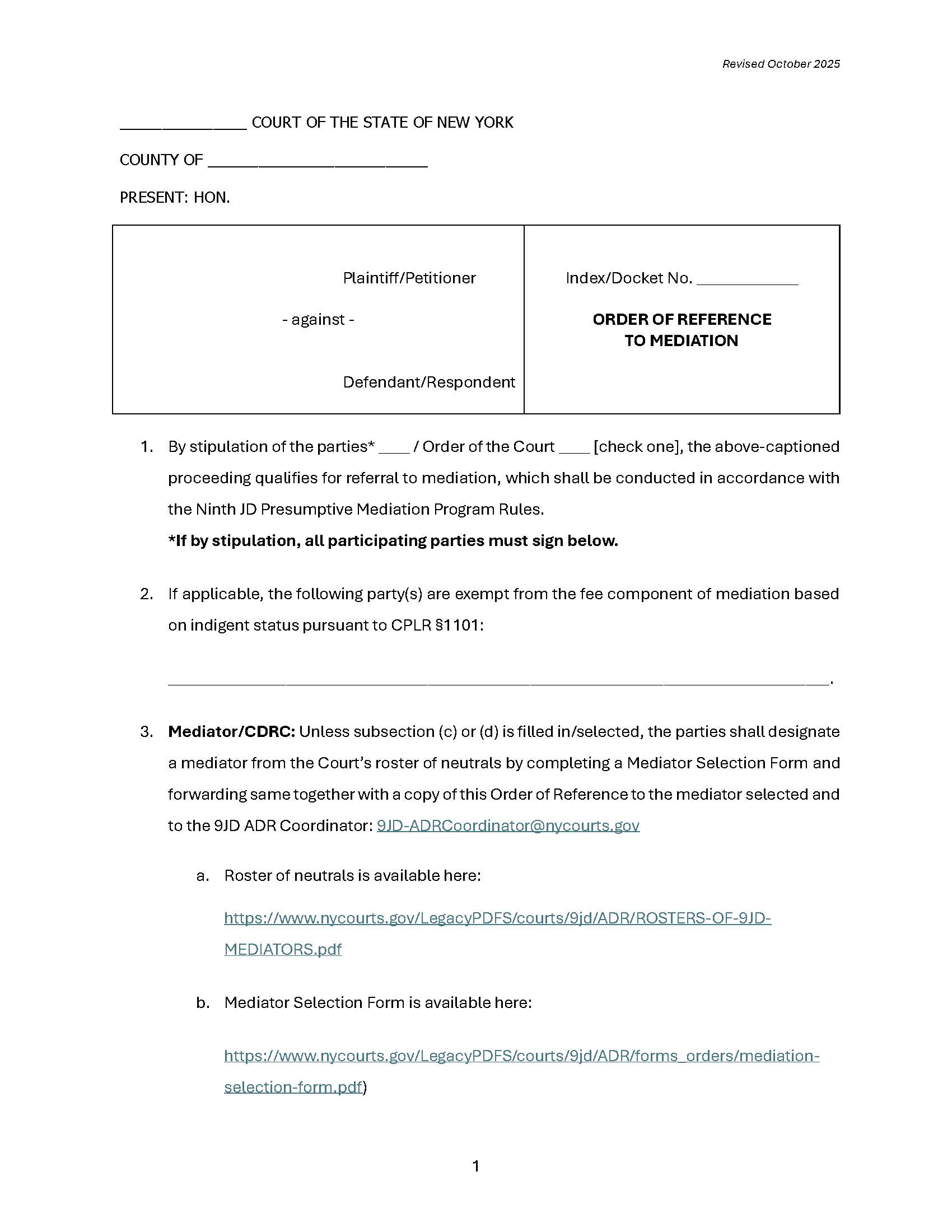
ORDER OF REFERENCE TO MEDIATION. This form is used to refer a case to mediation under the Ninth Judicial District’s Presumptive Mediation Program. This order may be issued either by stipulation of the parties or by directive of the court, and it sets out the framework for how mediation will proceed. It identifies whether any party is exempt from fees due to indigent status, specifies whether the parties must select a mediator from the court’s roster of neutrals or if one has been appointed by the court, and provides the option to refer the case to a local Community Dispute Resolution Center (CDRC). The order requires the parties to promptly contact the mediator, arrange for an initial session within 30 days of acceptance, and complete mediation within 45 days unless otherwise permitted. It also mandates the exchange of required information based on case type, participation in good faith negotiations, and submission of a post-mediation survey. Importantly, it outlines that mediation is confidential, the mediator does not serve as legal counsel to either party, and all parties and attorneys must follow the program’s rules. www.FormsWorkflow.com
Related forms
-
Commercial Division Attorneys Certification
New York/Local County/Westchester/ -
Summary Jury Trial Stipulation Packet (Judge Lefkowitz)
New York/3 Local County/Westchester/ -
Findings Of Fact Conclusions Of Law And Judgment (Judge DiBella)
New York/3 Local County/Westchester/ -
Order Granting Application To Retain Professional(s) (Judge DiBella)
New York/3 Local County/Westchester/ -
Statement Of Death
New York/3 Local County/Westchester/ -
Guardians Final Accounting (Incapacitated Person)
New York/3 Local County/Westchester/ -
Notice Of Final Accounting
New York/3 Local County/Westchester/ -
Guardians Initial Report (Incapacitated Person)
New York/3 Local County/Westchester/ -
Guardians Annual Accounting (Incapacitated Person)
New York/3 Local County/Westchester/ -
Exparte Order Discharging Guardian And Surety (Judge DiBella)
New York/3 Local County/Westchester/ -
Application To Activate Standby Guardian (Judge DiBella)
New York/3 Local County/Westchester/ -
Application To Retain Professional(s) (Judge DiBella)
New York/3 Local County/Westchester/ -
Order Activating Standby Guardian (Judge DiBella)
New York/3 Local County/Westchester/ -
Simplified Accounting Questionnaire (Liquid Assests Less Than 20000 Incapacitated Person)
New York/3 Local County/Westchester/ -
Statement Of Real Property
New York/3 Local County/Westchester/ -
Attorney Affirmation (Residential Foreclosure Case)
New York/3 Local County/Westchester/ -
Filing Department Requisition Form
New York/3 Local County/Westchester/ -
Redaction Request In Accordance With Public Officers Law 96-g
New York/3 Local County/Westchester/ -
Interpreter Request For Civil Proceedings
New York/3 Local County/Westchester/ -
Notice Of Petition And Verified Petition
New York/3 Local County/Westchester/ -
Affidavit In Opposition
New York/3 Local County/Westchester/ -
Application For Index Number
New York/Local County/Westchester/ -
Affirmation Of Service
New York/3 Local County/Westchester/ -
Notification Letter Or Postcard
New York/3 Local County/Westchester/ -
Affidavit Of Service By Personal Delivery
New York/3 Local County/Westchester/ -
Notice Of Entry (Judgment Of Divorce)
New York/3 Local County/Westchester/ -
Affidavit Of Service Of Judgment Of Divorce With Notice Of Entry
New York/3 Local County/Westchester/ -
Summons With Notice And Combined Notice Af Appearance
New York/3 Local County/Westchester/ -
Combined Findings Of Fact Conclusions Of Law Judgment Divorce With Children
New York/3 Local County/Westchester/ -
Combined Findings Of Fact Conclusions Of Law Judgment Divorce No Children
New York/3 Local County/Westchester/ -
Joint Affidavit Of The Facts And Agreement (With No Children)
New York/3 Local County/Westchester/ -
Trial Readiness Stipulation And Order
New York/3 Local County/Westchester/ -
Preliminary Conference Stipulation Order Medical Dental Podiatric Malpractice Actions
New York/3 Local County/Westchester/ -
Central Pre-Trial Alternative Dispute Resolution Program Form (Judge Lefkowitz)
New York/3 Local County/Westchester/ -
Mediation Opt-Out Form-Court Order
New York/3 Local County/Westchester/ -
Mediation Fee Agreement
New York/3 Local County/Westchester/ -
Referral To Child Permanency Mediation
New York/3 Local County/Westchester/ -
9th JD Mediation Participant Statement Of Understanding
New York/3 Local County/Westchester/ -
Post-Mediation Survey
New York/3 Local County/Westchester/ -
Confidential Mediation Report
New York/3 Local County/Westchester/ -
Mediator Selection Form
New York/3 Local County/Westchester/ -
Withdrawal Of Infants Funds (Judge Lubell)
New York/3 Local County/Westchester/ -
Presumptive ADR Stipulation And Order Of Reference
New York/3 Local County/Westchester/ -
Checklist For Wrongful Death Compromise Motion
New York/Local County/Westchester/ -
Medicaid And Public Assistance Lien Search
New York/Local County/Westchester/ -
Medicaid And Public Assistance Lien Review-Deferral-Reduction Request
New York/Local County/Westchester/ -
Stipulation Of Settlement (Infant Compromise Order)
New York/Local County/Westchester/ -
Auto - Alternative Dispute Resolution Part (Judge Lefkowitz)
New York/Local County/Westchester/ -
Affidavit Of Termination Of Registered Domestic Partnership
New York/Local County/Westchester/ -
Affirmation Of Service Of Initiating Papers
New York/3 Local County/Westchester/ -
Report Of Mediator
New York/3 Local County/Westchester/ -
Preliminary Conference Stipulation
New York/3 Local County/Westchester/ -
Acknowledgment Receipt Of Order And Deposit For The Benefit Of An Infant
New York/Local County/Westchester/ -
Withdrawal Of Infants Funds (Packet)
New York/3 Local County/Westchester/ -
Order To Show Cause For Infant (Incompetent Person) Compromise
New York/3 Local County/Westchester/ -
Consent To Minors Change Of Name
New York/3 Local County/Westchester/ -
Order Of Reference To Mediation
New York/3 Local County/Westchester/
Form Preview
Contact Us
Success: Your message was sent.
Thank you!




