Last updated: 8/14/2025
Notice ToThe Judgment Debtor
Start Your Free Trial $ 13.99What you get:
- Instant access to fillable Microsoft Word or PDF forms.
- Minimize the risk of using outdated forms and eliminate rejected fillings.
- Largest forms database in the USA with more than 80,000 federal, state and agency forms.
- Download, edit, auto-fill multiple forms at once in MS Word using our Forms Workflow Ribbon
- Trusted by 1,000s of Attorneys and Legal Professionals
Description
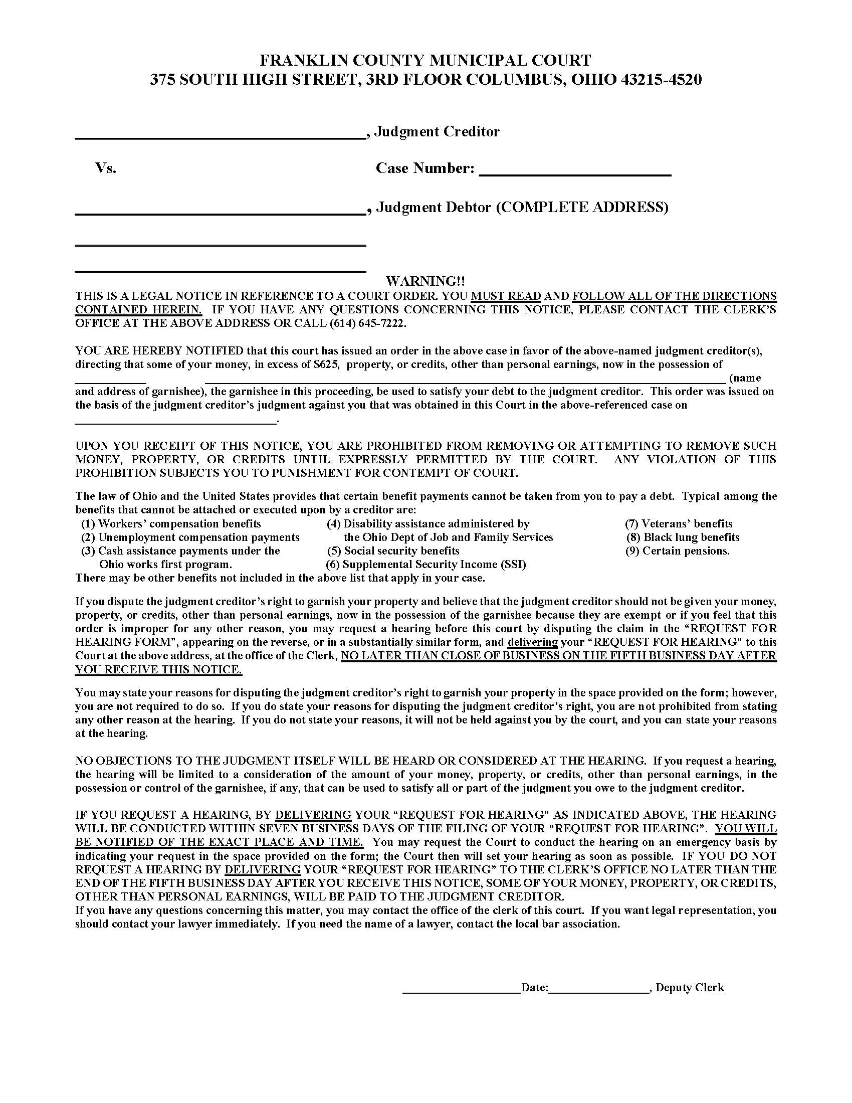
NOTICE TO THE JUDGMENT DEBTOR. This form is used by the Franklin County Municipal Court in Ohio to notify a judgment debtor that a court order has been issued allowing a judgment creditor to garnish the debtor’s money, property, or credits—other than personal earnings—currently in the possession of a garnishee. The notice explains the debtor’s legal obligations, lists certain types of funds that are exempt from garnishment under state and federal law, and warns against removing or attempting to remove the affected assets without court permission. It also informs the debtor of their right to dispute the garnishment by requesting a hearing within five business days of receiving the notice, using the “Request for Hearing on Garnishment of Property Other Than Personal Earnings” form provided. The hearing is limited to determining whether the funds or property in question can legally be used to satisfy the judgment, and not to contest the judgment itself. Failure to timely request a hearing results in the garnished funds or property being paid to the judgment creditor. www.FormsWorkflow.com





