Last updated: 11/5/2025
Order Granting Bail For Abuse Cases {OP2022-1}
Start Your Free Trial $ 16.00What you get:
- Instant access to fillable Microsoft Word or PDF forms.
- Minimize the risk of using outdated forms and eliminate rejected fillings.
- Largest forms database in the USA with more than 80,000 federal, state and agency forms.
- Download, edit, auto-fill multiple forms at once in MS Word using our Forms Workflow Ribbon
- Trusted by 1,000s of Attorneys and Legal Professionals
Description
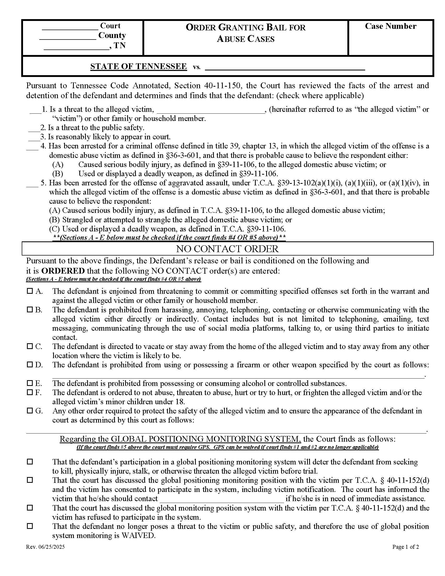
ORDER GRANTING BAIL FOR ABUSE CASES. This form is used in Tennessee courts when a defendant has been arrested for a domestic violence-related offense or other crimes involving abuse. The form allows the court to determine whether the defendant poses a threat to the alleged victim, other family members, or public safety, and whether they are likely to appear in court. Based on these findings, the court can impose specific conditions on the defendant’s release. These conditions may include a no-contact order, which prohibits the defendant from communicating with or approaching the victim, as well as restrictions on firearms, alcohol, and controlled substances. Additionally, the court may require the defendant to participate in a global positioning monitoring system (GPS tracking) to ensure compliance with protective measures. If the court finds that the defendant presents an ongoing threat, it may extend a 12-hour or additional hold period before releasing them on bail. The form also includes a notice warning the defendant that violating any of the imposed conditions could result in contempt of court, misdemeanor charges, or even a felony offense if they cause harm to the victim while under this order. www.FormsWorkflow.com





