Last updated: 7/14/2025
Application For Payment Of Unclaimed Funds {23}
Start Your Free Trial $ 14.00What you get:
- Instant access to fillable Microsoft Word or PDF forms.
- Minimize the risk of using outdated forms and eliminate rejected fillings.
- Largest forms database in the USA with more than 80,000 federal, state and agency forms.
- Download, edit, auto-fill multiple forms at once in MS Word using our Forms Workflow Ribbon
- Trusted by 1,000s of Attorneys and Legal Professionals
Description
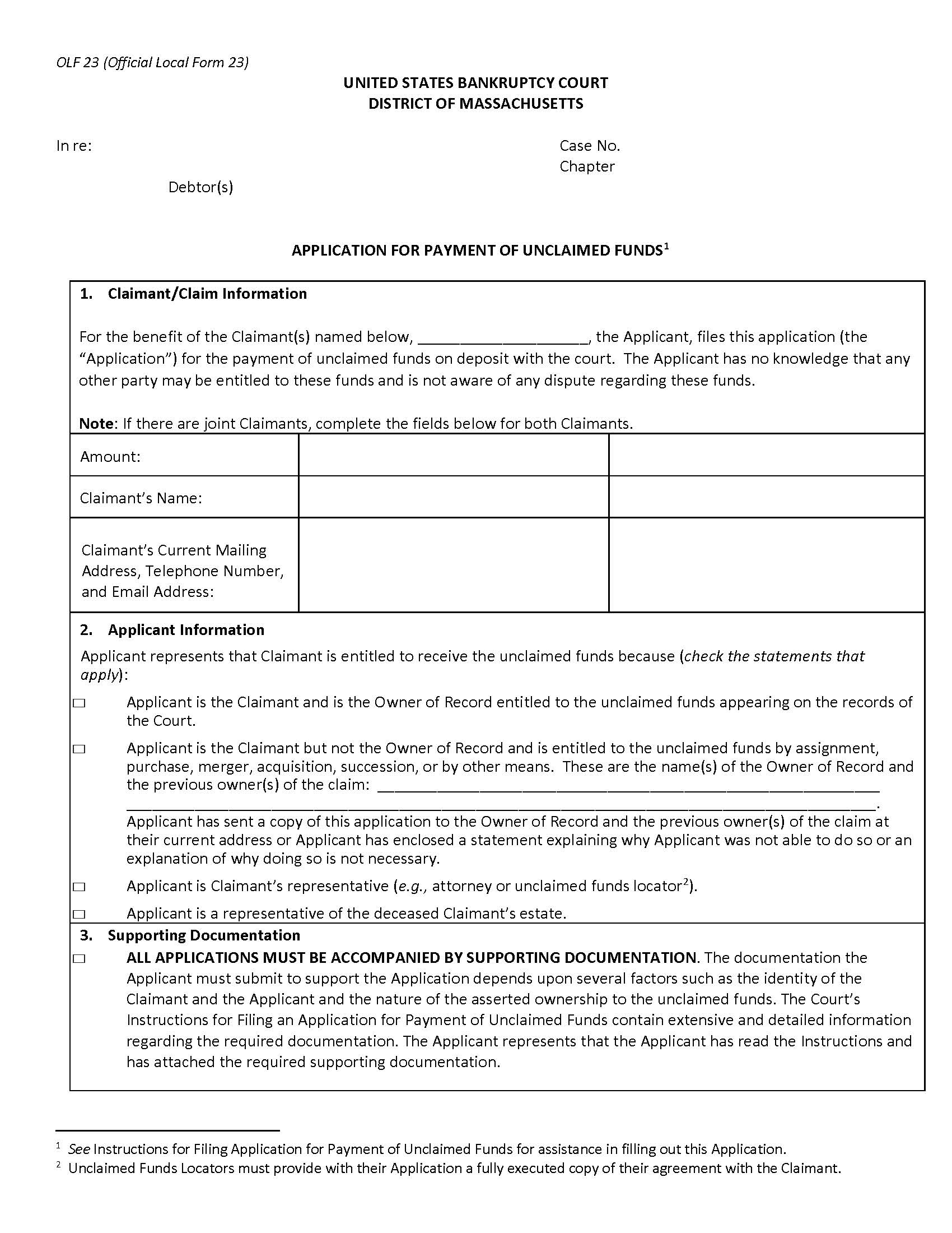
OLF 23 - APPLICATION FOR PAYMENT OF UNCLAIMED FUNDS. This form is used in the United States Bankruptcy Court for the District of Massachusetts by individuals or entities seeking to recover funds that have been left unclaimed in a bankruptcy case. These funds may have originated from undistributed dividends, uncashed checks, or other distributions held by the court on behalf of creditors, debtors, or other rightful parties. The applicant must provide detailed information about the claim, including the claimant’s name, the amount being claimed, and their current contact information. Depending on the applicant’s relationship to the funds—whether they are the original claimant, a legal representative, an heir, or someone who acquired the claim by assignment or purchase—they must provide corresponding supporting documentation proving their entitlement. The application must also include a certificate of service showing that the applicant mailed a copy of the application and supporting documents to the United States Attorney for the District of Massachusetts, as required by law. Applicants and co-applicants must declare under penalty of perjury that all submitted information is true and correct, and their signatures must be notarized. Any interested party has 21 days from service to file an objection. The completed form and attachments may be submitted either electronically by attorneys or by mail to the court’s Finance Department. www.FormsWorkflow.com





