Last updated: 7/11/2025
Submission Cover Sheet {WAKE-DOM-22}
Start Your Free Trial $ 5.99What you get:
- Instant access to fillable Microsoft Word or PDF forms.
- Minimize the risk of using outdated forms and eliminate rejected fillings.
- Largest forms database in the USA with more than 80,000 federal, state and agency forms.
- Download, edit, auto-fill multiple forms at once in MS Word using our Forms Workflow Ribbon
- Trusted by 1,000s of Attorneys and Legal Professionals
Description
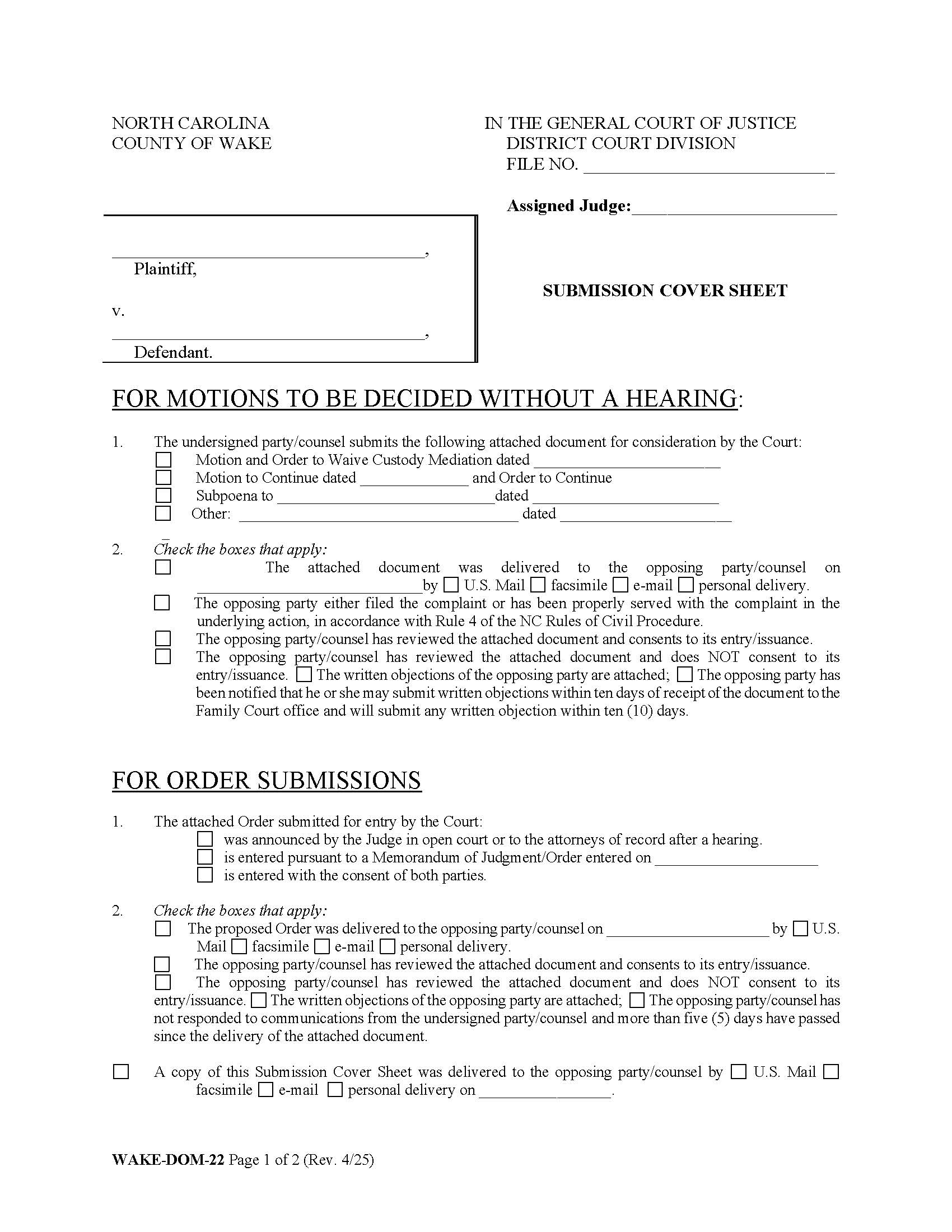
WAKE-DOM-22 - SUBMISSION COVER SHEET. This form is used in the Wake County District Court Division of North Carolina to submit motions or proposed orders for the judge's consideration without the need for a hearing. It allows a party or their attorney to formally present documents such as motions to waive custody mediation, motions to continue, subpoenas, or other legal filings to the court. The form ensures that proper notice has been given to the opposing party or their counsel by indicating how and when the documents were delivered (e.g., by mail, email, fax, or personal delivery). It also clarifies whether the opposing party consents or objects to the proposed motion or order and provides options for them to file objections, if any, within a specified timeframe. When submitting an order, the form indicates whether it results from a judge’s ruling in court, a previously filed memorandum, or the mutual consent of both parties. www.FormsWorkflow.com
Related forms
-
Motion And Order Extending Completion Date For Mediation
North Carolina/Local County/Wake (District 10)/ -
Motion To Continue And Order
North Carolina/Local County/Wake (District 10)/ -
Abuse Neglect Dependency Information Sheet
North Carolina/Local County/Wake (District 10)/ -
Acknowledgement For Inclusion On The Juvenile Abuse Neglect Dependency Court Appointed List(s)
North Carolina/Local County/Wake (District 10)/ -
Certification Of Initial Disclosure (Support)
North Carolina/Local County/Wake (District 10)/ -
Factors For Consideration In Custody And Visitation
North Carolina/Local County/Wake (District 10)/ -
Motion And Order To Continue
North Carolina/Local County/Wake (District 10)/ -
Motion And Order To Extend Time To File Order
North Carolina/Local County/Wake (District 10)/ -
Motion And Order To Withdraw
North Carolina/Local County/Wake (District 10)/ -
Motion For Appontment Of Guardian Ad Litem For A Parent
North Carolina/Local County/Wake (District 10)/ -
Motion To Continue
North Carolina/Local County/Wake (District 10)/ -
Notice Of Unavailability For Appointment To Juvenile Abuse Neglect Dependency Cases
North Carolina/Local County/Wake (District 10)/ -
Order For Peremptory Setting
North Carolina/Local County/Wake (District 10)/ -
Order To Appear And Show Cause
North Carolina/Local County/Wake (District 10)/ -
Request For Peremptory Setting
North Carolina/Local County/Wake (District 10)/ -
Request For Special Juvenile Session
North Carolina/Local County/Wake (District 10)/ -
Financial Affidavit
North Carolina/Local County/Wake (District 10)/ -
Employer Information Sheet
North Carolina/Local County/Wake (District 10)/ -
Affidavit (Employer Wage Affidavit)
North Carolina/Local County/Wake (District 10)/ -
Notice Of Financial Information Required
North Carolina/Local County/Wake (District 10)/ -
Notice Of Hearing
North Carolina/Local County/Wake (District 10)/ -
Notice Of Entry Of Appearance
North Carolina/Local County/Wake (District 10)/ -
Motion And Order To Continue In Advance Of Scheduled Court Date
North Carolina/Local County/Wake (District 10)/ -
Shadowing Agreement
North Carolina/Local County/Wake (District 10)/ -
Equitable Distribution Inventory Affidavit
North Carolina/Local County/Wake (District 10)/ -
Initial Pretrial Order (Equitable Distribution)
North Carolina/Local County/Wake (District 10)/ -
Stipulation For Expedited Mediation
North Carolina/Local County/Wake (District 10)/ -
Parenting Coordinators Notice Of Determination That Requires A Court Hearing
North Carolina/Local County/Wake (District 10)/ -
Request For Reassignment
North Carolina/Local County/Wake (District 10)/ -
Order (Request For Reassignment)
North Carolina/Local County/Wake (District 10)/ -
Order Dismissing Order To Show Cause
North Carolina/Local County/Wake (District 10)/ -
Scheduling And Discovery Order
North Carolina/Local County/Wake (District 10)/ -
Motion For Review Of Parenting Coordinators Decision
North Carolina/Local County/Wake (District 10)/ -
Notice Of Appearance Of Counsel
North Carolina/Local County/Wake (District 10)/ -
Objection To Motion To Continue
North Carolina/Local County/Wake (District 10)/ -
Order To Continue
North Carolina/Local County/Wake (District 10)/ -
Calendar Request (District Court)
North Carolina/Local County/Wake (District 10)/ -
Motion For An Order Modifying Parenting Coordinators Appointment
North Carolina/Local County/Wake (District 10)/ -
Order Appointing Parenting Coordinator
North Carolina/Local County/Wake (District 10)/ -
Calendar Request
North Carolina/Local County/Wake (District 10)/ -
Custody Mediation Cover Sheet
North Carolina/Local County/Wake (District 10)/ -
Request For Inclusion On The Parenting Coordinator List
North Carolina/Local County/Wake (District 10)/ -
Notice Of Summary Judgment Divorce Hearing
North Carolina/Local County/Wake (District 10)/ -
Request For Inclusion On The Juvenile Delinquency And Undisciplined Court Appointed List(s)
North Carolina/Local County/Wake (District 10)/ -
Order To Attend Child Custody Mediation Orientation
North Carolina/Local County/Wake (District 10)/ -
Calendar Request (Superior Court)
North Carolina/Local County/Wake (District 10)/ -
Affidavit Of Judicial Assignment And Notice Of Hearing
North Carolina/Local County/Wake (District 10)/ -
Submission Cover Sheet
North Carolina/Local County/Wake (District 10)/
Form Preview
Contact Us
Success: Your message was sent.
Thank you!




